Numerical Study of Multiphase Water–Glycerol Emulsification Process in a Y-Junction Horizontal Pipeline
Abstract
:1. Introduction
2. Experimental Setup
3. Numerical Setup
3.1. Case Study
3.2. Numerical Domain Details
3.3. Numerical Discretization
3.4. Governing Equations
3.5. Interfacial and Surface Tension Treatment
3.6. Turbulence Model
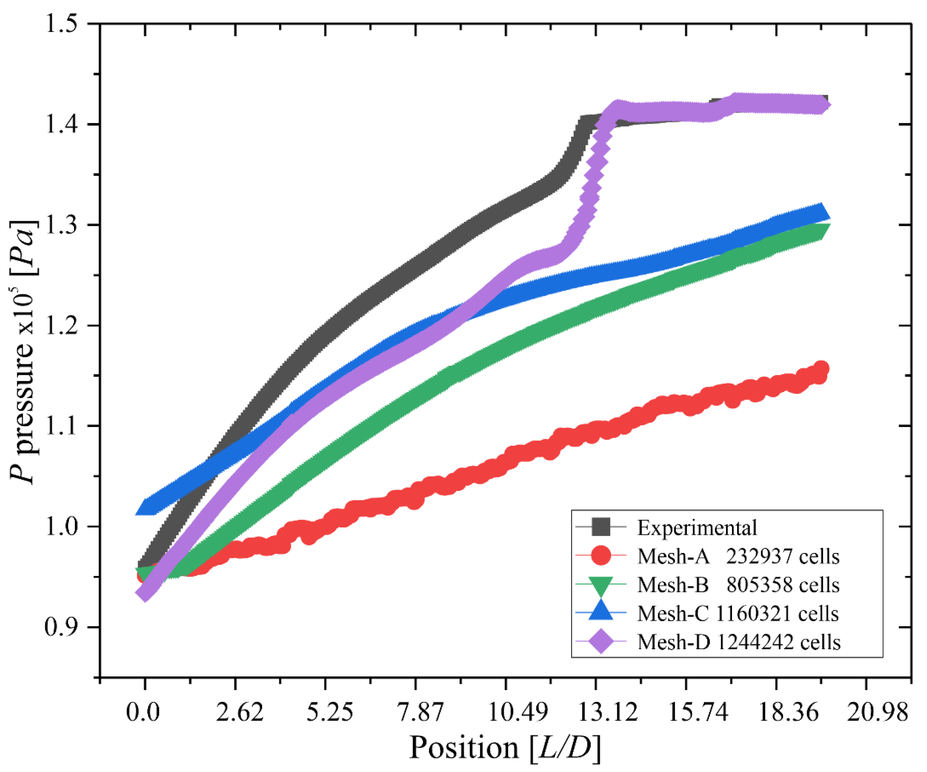
3.7. Sensitivity Analysis and Validation
4. Results and Analysis
4.1. Strain Rate Analysis
4.2. Shear Velocity Analysis
5. Conclusions
Author Contributions
Funding
Institutional Review Board Statement
Informed Consent Statement
Data Availability Statement
Acknowledgments
Conflicts of Interest
References
- Cabas, J.J.; Ariza, J.D.R. Modeling and simulation of a pipeline transportation process. J. Eng. Appl. Sci. 2018, 13, 2614–2621. [Google Scholar] [CrossRef]
- Wang, B.; Zhang, H.; Yuan, M.; Wang, Y.; Menezes, B.C.; Li, Z.; Liang, Y. Sustainable crude oil transportation: Design optimization for pipelines considering thermal and hydraulic energy consumption. Chem. Eng. Res. Des. 2019, 151, 23–39. [Google Scholar] [CrossRef]
- Khlebnikova, E.; Sundar, K.; Zlotnik, A.; Bent, R.; Ewers, M.; Tasseff, B. Optimal economic operation of liquid petroleum products pipeline systems. AIChE J. 2021, 67, 1–29. [Google Scholar] [CrossRef]
- Yang, K.; Liu, Y. Optimization of production operation scheme in the transportation process of different proportions of commingled crude oil. J. Eng. Sci. Technol. Rev. 2017, 10, 171–178. [Google Scholar] [CrossRef]
- Van Duin, E.; Henkes, R.; Ooms, G. Influence of oil viscosity on oil-water core-annular flow through a horizontal pipe. Petroleum 2019, 5, 199–205. [Google Scholar] [CrossRef]
- Vuong, D.H.; Zhang, H.Q.; Sarica, C.; Li, M. Experimental study on high viscosity oil/water flow in horizontal and vertical pipes. Proc.—SPE Annu. Tech. Conf. Exhib. 2009, 4, 2454–2463. [Google Scholar] [CrossRef]
- Dianita, C.; Piemjaiswang, R.; Chalermsinsuwan, B. CFD simulation and statistical experimental design analysis of core annular flow in T-junction and Y-junction for oil-water system. Chem. Eng. Res. Des. 2021, 176, 279–295. [Google Scholar] [CrossRef]
- Wang, W.; Gong, J.; Angeli, P. Investigation on heavy crude-water two phase flow and related flow characteristics. Int. J. Multiph. Flow 2011, 37, 1156–1164. [Google Scholar] [CrossRef]
- Bannwart, A.C.; Rodriguez, O.M.H.; De Carvalho, C.H.M.; Wang, I.S.; Vara, R.M.O. Flow patterns in heavy crude oil-water flow. J. Energy Resour. Technol. Trans. ASME 2004, 126, 184–189. [Google Scholar] [CrossRef]
- Sigalotti, L.D.G.; Alvarado-Rodríguez, C.E.; Klapp, J.; Cela, J.M. Smoothed particle hydrodynamics simulations of water flow in a 90° pipe bend. Water 2021, 13, 1081. [Google Scholar] [CrossRef]
- Moises Torres, J.K. Supercomputing- 10th International Conference on Supercomputing in Mexico, ISUM 2019, Monterrey, Mexico, 25–29 March 2019; Klapp, J., Ed.; Springer: Monterrey, Mexico, 2019. ISBN 9783030380427.
- Mirzaee, F.; Sayevand, K.; Rezaei, S.; Samadyar, N. Finite Difference and Spline Approximation for Solving Fractional Stochastic Advection-Diffusion Equation. Iran. J. Sci. Technol. Trans. A Sci. 2020, 45, 607–617. [Google Scholar] [CrossRef]
- Cant, S. High-performance Computing in Computational Fluid Dynamics: Progress and challenges. Philos. Trans. R. Soc. A Math. Phys. Eng. Sci. 2002, 360, 1211–1225. [Google Scholar] [CrossRef] [PubMed]
- Gitler, I.; Gomes, A.T.A.; Nesmachnow, S. The Latin American supercomputing ecosystem for science. Commun. ACM 2020, 63, 66–71. [Google Scholar] [CrossRef]
- Rodriguez, O.M.H.; Baldani, L.S. Prediction of pressure gradient and holdup in wavy stratified liquid-liquid inclined pipe flow. J. Pet. Sci. Eng. 2012, 96–97, 140–151. [Google Scholar] [CrossRef]
- Noguera, J.F.; Torres, L.; Verde, C.; Guzman, E.; Sanjuan, M. Model for the flow of a water-glycerol mixture in horizontal pipelines. In Proceedings of the 2019 4th Conference on Control and Fault Tolerant Systems (SysTol), Casablanca, Morocco, 18–20 September 2019; pp. 117–122. [Google Scholar] [CrossRef]
- Noguera-Polania, J.F.; Hernández-García, J.; Galaviz-López, D.F.; Torres, L.; Guzmán, J.E.V.; Sanjuán-Mejía, M.E.; Jiménez-Cabas, J. Dataset on water–glycerol flow in a horizontal pipeline with and without leaks. Data Br. 2020, 31, 105950. [Google Scholar] [CrossRef]
- Seveno, E. Projet Gamma; INRIA: Le Chesnay, France, 1997; p. 105. [Google Scholar]
- Ingram, D.M.; Causon, D.M.; Mingham, C.G. Developments in Cartesian cut cell methods. Math. Comput. Simul. 2003, 61, 561–572. [Google Scholar] [CrossRef]
- Patankar, S.V. Numerical Heat Transfer and Fluid Flow; Minkowycz, W.J., Sparrow, E.M., Eds.; Hemisphere Publishing Corporation: New York, NY, USA, 1980; ISBN 0070487405. [Google Scholar]
- Van Leer, B. Towards the ultimate conservative difference scheme. V. A second-order sequel to Godunov’s method. J. Comput. Phys. 1979, 32, 101–136. [Google Scholar] [CrossRef]
- Muzaferija, S.; Peric, M.; Sames, P.; Schellin, T. A two-fluid Navier-Stokes solver to simulate water entry. Proc. 22nd Symp. Nav. Hydrodyn. 1999, 638–651. [Google Scholar]
- Waclawczyk, T.; Koronowicz, T. Comparison of cicsam and hric high-resolution schemes for interface capturing. J. Theor. Appl. Mech. 2008, 46, 325–345. [Google Scholar]
- Brackbill, J.U.; Kothe, D.B.; Zemach, C. A continuum method for modeling surface tension. J. Comput. Phys. 1992, 100, 335–354. [Google Scholar] [CrossRef]
- Menter, F.R. Two-equation eddy-viscosity turbulence models for engineering applications. AIAA J. 1994, 32, 1598–1605. [Google Scholar] [CrossRef] [Green Version]
- Alagbe, S.O. Experimental and Numerical Investigation of High Viscosity Oil-Based Multiphase Flows. Cranf. Univ. 2013, 323. [Google Scholar]
- Soleimani, A.; Lawrence, C.J.; Hewitt, G.F. The decay of swirl in horizontal dispersed oil-water flow. Chem. Eng. Res. Des. 2002, 80, 145–154. [Google Scholar] [CrossRef]
- Meher Surendra Ravuri, V.K. Investigation of Swirl Flows Applied to the Oil and Gas Industry; Texas A&M University: College Station, TX, USA, 2009; Volume 26. [Google Scholar]
- Wei, T.; Schmidt, R.; McMurtry, P. Comment on the Clauser chart method for determining the friction velocity. Exp. Fluids 2005, 38, 695–699. [Google Scholar] [CrossRef]
- De la Cruz-Ávila, M.; Martínez-Espinosa, E.; Polupan, G.; Vicente, W. Numerical study of the effect of jet velocity on methane-oxygen confined inverse diffusion flame in a 4 Lug-Bolt array. Energy 2017, 141, 1629–1649. [Google Scholar] [CrossRef]







| Case Studies | 1 | 2 | 3 | ||||||
|---|---|---|---|---|---|---|---|---|---|
| Nozzle | 1 | 2 | 3 | 1 | 2 | 3 | 1 | 2 | 3 |
| Water | X | O | O | O | X | O | O | O | X |
| Glycerol | O | X | X | X | O | X | X | X | O |
| Case Studies | 4 | 5 | 6 | ||||||
| Nozzle | 1 | 2 | 3 | 1 | 2 | 3 | 1 | 2 | 3 |
| Water | O | X | X | X | O | X | X | X | O |
| Glycerol | X | O | O | O | X | O | O | O | X |
Publisher’s Note: MDPI stays neutral with regard to jurisdictional claims in published maps and institutional affiliations. |
© 2022 by the authors. Licensee MDPI, Basel, Switzerland. This article is an open access article distributed under the terms and conditions of the Creative Commons Attribution (CC BY) license (https://creativecommons.org/licenses/by/4.0/).
Share and Cite
De la Cruz-Ávila, M.; Carvajal-Mariscal, I.; Klapp, J.; Guzmán, J.E.V. Numerical Study of Multiphase Water–Glycerol Emulsification Process in a Y-Junction Horizontal Pipeline. Energies 2022, 15, 2723. https://doi.org/10.3390/en15082723
De la Cruz-Ávila M, Carvajal-Mariscal I, Klapp J, Guzmán JEV. Numerical Study of Multiphase Water–Glycerol Emulsification Process in a Y-Junction Horizontal Pipeline. Energies. 2022; 15(8):2723. https://doi.org/10.3390/en15082723
Chicago/Turabian StyleDe la Cruz-Ávila, M., I. Carvajal-Mariscal, J. Klapp, and J. E. V. Guzmán. 2022. "Numerical Study of Multiphase Water–Glycerol Emulsification Process in a Y-Junction Horizontal Pipeline" Energies 15, no. 8: 2723. https://doi.org/10.3390/en15082723
APA StyleDe la Cruz-Ávila, M., Carvajal-Mariscal, I., Klapp, J., & Guzmán, J. E. V. (2022). Numerical Study of Multiphase Water–Glycerol Emulsification Process in a Y-Junction Horizontal Pipeline. Energies, 15(8), 2723. https://doi.org/10.3390/en15082723

