Out-of-Step Prediction Using DQN-Based Disturbance Observer and Its RTDS Verification
Abstract
:1. Introduction
- Designing a gain-scheduled DQN IMDOB, robust to measurement noise and capable of providing accurate disturbance estimation using data gathered from the actual system.
- Providing an applicable disturbance-observer-based power system OOS prediction algorithm.
- RTDS-based experimental verification of the proposed algorithm.
2. Power System Model and IMDOB Design
2.1. System Model Introduction
2.2. Fault Detection and Disturbance Modeling
2.3. Internal-Model-Based Disturbance Observer Estimation
3. Reinforcement-Learning-Based Observer Gain Scheduling
3.1. DQN Design
3.2. DQN-Based IMDOB
4. DNN-Based Synchronous OOS Prediction Algorithm Design
5. HILS-Based Verification
5.1. Power Grid RSCAD Model
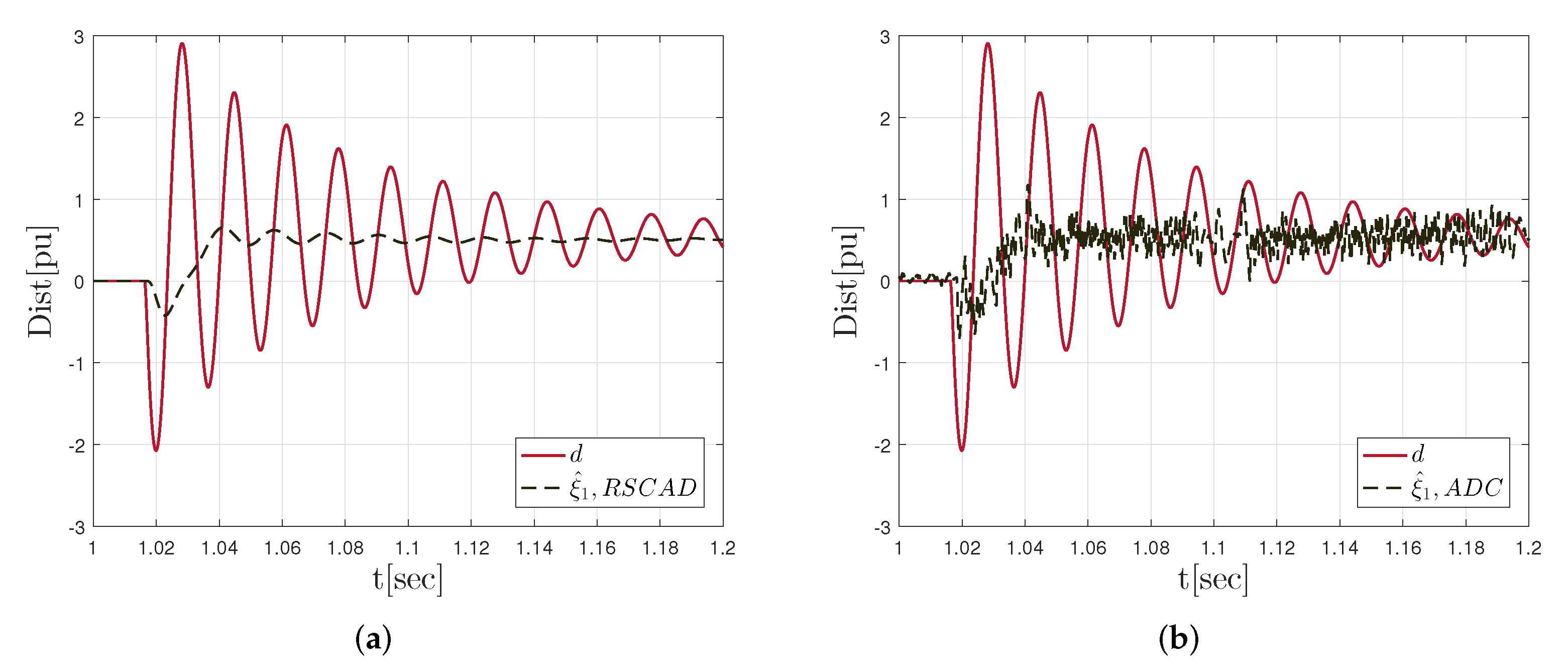
5.2. Fixed-Gain IMDOB Performance
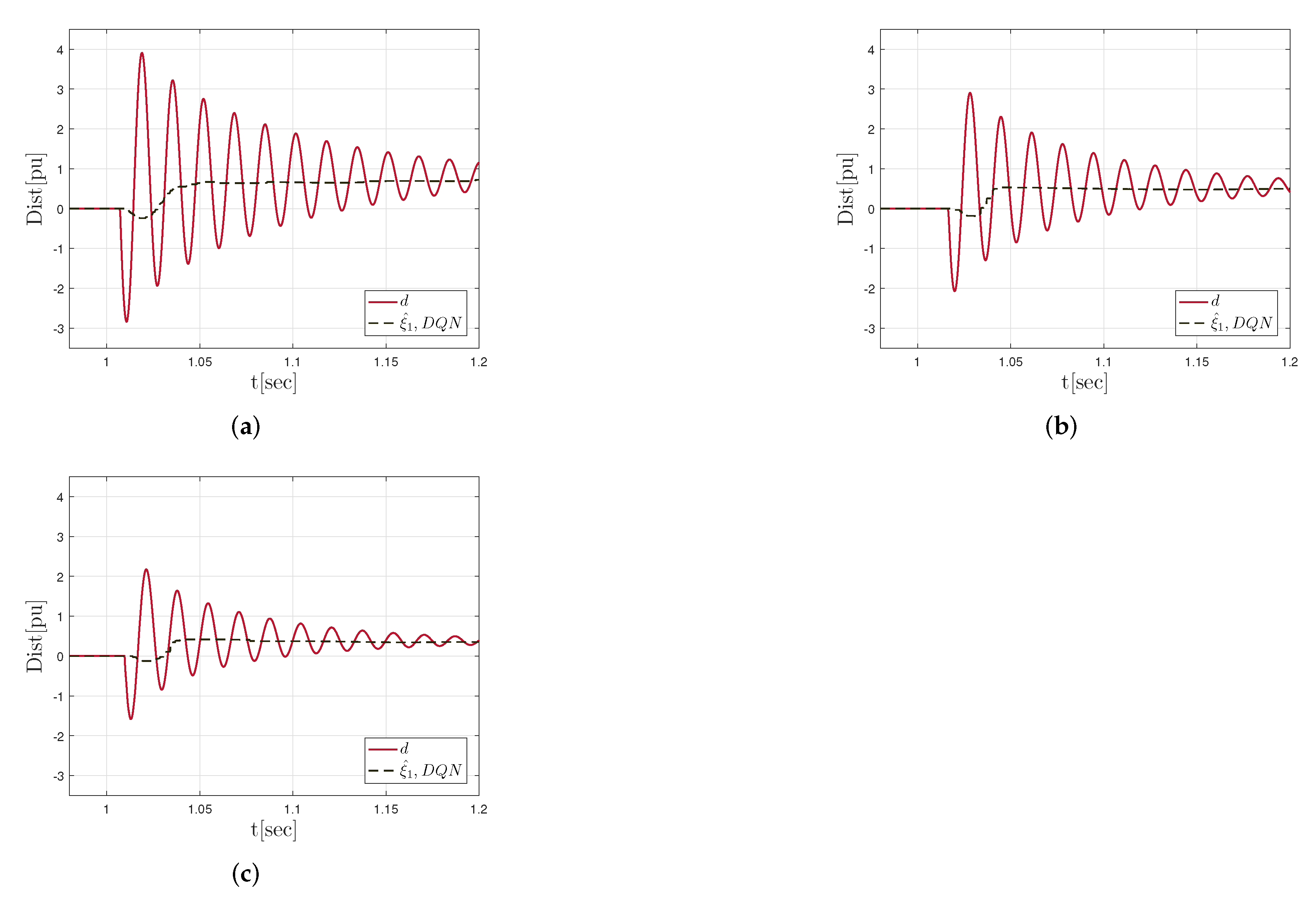
5.3. DQN Training and DQN-IMDOB Estimation Performance
5.4. DNN Training Result
5.5. CCT Verification
6. Conclusions
Author Contributions
Funding
Institutional Review Board Statement
Informed Consent Statement
Conflicts of Interest
Abbreviations
| OOS | out-of-step |
| IMDOB | internal model disturbance observer |
| DQN | deep Q-network |
| RTDS | real-time digital simulator |
| SMIB | single machine infinite bus system |
| CCT | critical clearing time |
References
- Kimbark, E.W. Power System Stability; John Wiley & Sons: Hoboken, NJ, USA, 1995; p. 1. [Google Scholar]
- Muir, A.; Lopatto, J. Final report on the August 14, 2003 Blackout in the United States and Canada: Causes and Recommendations. 2004. Available online: https://www.energy.gov/oe/downloads/blackout-2003-final-report-august-14-2003-blackout-united-states-and-canada-causes-and (accessed on 30 March 2022).
- IEEE Power System Relaying Committee Working Group D6. Power Swing and Out-of-Step Considerations on Transmission Lines; IEEE Power System Relaying Committee Working Group: San Francisco, CA, USA, 2005. [Google Scholar]
- Nasab, M.R.; Yaghobi, H. A real-time out-of-step protection strategy based on instantaneous active power deviation. IEEE Trans. Power Deliv. 2021, 36, 3590–3600. [Google Scholar] [CrossRef]
- Cui, Y.; Kavasseri, R.G.; Brahma, S.M. Dynamic state estimation assisted out-of-step detection for generators using angular difference. IEEE Trans. Power Deliv. 2017, 32, 1441–1449. [Google Scholar] [CrossRef]
- Hashemi, S.M.; Sanaye-Pasand, M. Current-based out-of-step detection method to enhance line differential protection. IEEE Trans. Power Deliv. 2019, 34, 448–456. [Google Scholar] [CrossRef]
- Abedini, M.; Davarpanah, M.; Sanaye-Pasand, M.; Hashemi, S.M.; Iravani, R. Generator out-of-step prediction based on faster-than-real-time analysis: Concepts and applications. IEEE Trans. Power Syst. 2018, 33, 4563–4573. [Google Scholar] [CrossRef]
- Alinezhad, B.; Karegar, H.K. Out-of-step protection based on equal area criterion. IEEE Trans. Power Syst. 2017, 32, 968–977. [Google Scholar] [CrossRef]
- Xue, Y.; Wehenkel, L.; Belhomme, R.; Rousseaux, P.; Pavella, M.; Euxibie, E.; Heilbronn, B.; Lesigne, J.F. Extended equal area criterion revisited. IEEE Trans. Power Syst. 1992, 7, 1012–1022. [Google Scholar] [CrossRef]
- Hashemi, S.M.; Sanaye-Pasand, M. A new predictive approach to wide-area out-of-step protection. IEEE Trans. Ind. Inform. 2019, 15, 1890–1898. [Google Scholar] [CrossRef]
- Paudyal, S.; Ramakrishna, G.; Sachdev, M.S. Application of equal area criterion conditions in the time domain for out-of-step protection. IEEE Trans. Power Deliv. 2010, 25, 600–609. [Google Scholar] [CrossRef]
- Bergen, A.R.; Vittal, V. Power Systems Analysis, 2nd ed.; Pearson: Hoboken, NJ, USA, 2000. [Google Scholar]
- Aldeen, M.; Crusca, F. Observer-based fault detection and identification scheme for power systems. IEE Proc. Gener. Transm. Distrib. 2006, 153, 71–79. [Google Scholar] [CrossRef] [Green Version]
- Farantatos, E.; Huang, R.; Cokkinides, G.J.; Meliopoulos, A.P. A predictive generator out-of-step protection and transient stability monitoring scheme enabled by a distributed dynamic state estimator. IEEE Trans. Power Deliv. 2016, 31, 1826–1835. [Google Scholar] [CrossRef]
- Kim, I.H.; Son, Y.I. Regulation of a DC/DC boost converter under parametric uncertainty and input voltage variation using nested reduced-order PI observers. IEEE Trans. Ind. Electron. 2017, 64, 552–562. [Google Scholar] [CrossRef]
- Yook, J.H.; Kim, I.H.; Han, M.S.; Son, Y.I. Robustness improvement of DC motor speed control using communication disturbance observer under uncertain time delay. Electron. Lett. 2017, 53, 389–391. [Google Scholar] [CrossRef]
- Chen, Y.Q.; Fink, O.; Sansavini, G. Combined fault location and classification for power transmission lines fault diagnosis with integrated feature extraction. IEEE Trans. Ind. Electron. 2018, 65, 561–569. [Google Scholar] [CrossRef]
- Ren, H.; Hou, Z.J.; Vyakaranam, B.; Wang, H.; Etingov, P. Power system event classification and localization using a convolutional neural network. Front. Energy Res. 2020, 8, 327–338. [Google Scholar] [CrossRef]
- Tkachenko, R.; Izonin, I.; Kryvinska, N.; Dronyuk, I.; Zub, K. An approach towards increasing prediction accuracy for the recovery of missing IoT data based on the GRNN-SGTM ensemble. Sensors 2020, 20, 2625. [Google Scholar] [CrossRef] [PubMed]
- Glover, J.D.; Overbye, T.J.; Sarma, M.S. Power System Analysis and Design, 6th ed.; Cengage Learning: Boston, MA, USA, 2017. [Google Scholar]
- Shackshaft, G. Effect of oscillatory torques on the movement of generator rotors. Proc. Inst. Electr. Eng. 1970, 117, 1969–1974. [Google Scholar] [CrossRef]
- Mnih, V.; Kavukcuoglu, K.; Silver, D.; Rusu, A.A.; Veness, J.; Bellemare, M.G.; Graves, A.; Riedmiller, M.; Fidjeland, A.K.; Ostrovski, G.; et al. Human-level control through deep reinforcement learning. Nature 2015, 518, 529–533. [Google Scholar] [CrossRef] [PubMed]
- Muteba, K.F.; Djouani, K.; Olwal, T.O. Deep reinforcement learning based resource allocation for narrowband cognitive radio-IoT systems. Procedia Comput. Sci. 2020, 175, 315–324. [Google Scholar] [CrossRef]

















| Parameters | Description | Value |
|---|---|---|
| H | Constant of inertia | [s] |
| D | Viscous damping coefficient | 0 |
| Power angle initial value | [rad] | |
| Synchronous frequency | 60 [Hz] | |
| Synchronous angular frequency | [rad/s] | |
| [pu] | ||
| Mechanical input power | [pu] | |
| Fault location | ||
| Number of samples per cycle | 640 [sample/cycle] | |
| Length of line | 30 [km] |
| Episode | 500 | Discount factor | 0.99 |
| Mini-batch size | 8 | Learning rate () | 0.00025 |
| Replay memory size | 100,000 | Hidden layer/Node | 5/20 |
| Replay start size | 5000 | Initial exploration () | 0.5 |
| Target network update frequency | 1000 | Final exploration (N) | 0.01 |
| 5 | 20 | 20 | |
| 500 | 10 | 5 | |
| 10 | 200 | 2000 | |
| 200 | 10 | 1 | |
| 1000 | 1000 | 2000 | 1 |
| Fault Point [%] | Real CCT [s] | Estimated CCT [s] | Error [%] |
|---|---|---|---|
| 25 | 0.2622 | 0.2568 | 2.03 |
| 50 | 0.4176 | 0.4068 | 2.57 |
| 75 | 0.9122 | 0.9096 | 0.28 |
Publisher’s Note: MDPI stays neutral with regard to jurisdictional claims in published maps and institutional affiliations. |
© 2022 by the authors. Licensee MDPI, Basel, Switzerland. This article is an open access article distributed under the terms and conditions of the Creative Commons Attribution (CC BY) license (https://creativecommons.org/licenses/by/4.0/).
Share and Cite
Yang, S.J.; Amare, N.D.; Kim, J.W.; Son, Y.I. Out-of-Step Prediction Using DQN-Based Disturbance Observer and Its RTDS Verification. Energies 2022, 15, 2652. https://doi.org/10.3390/en15072652
Yang SJ, Amare ND, Kim JW, Son YI. Out-of-Step Prediction Using DQN-Based Disturbance Observer and Its RTDS Verification. Energies. 2022; 15(7):2652. https://doi.org/10.3390/en15072652
Chicago/Turabian StyleYang, Sun Jick, Nebiyeleul Daniel Amare, Jun Woo Kim, and Young Ik Son. 2022. "Out-of-Step Prediction Using DQN-Based Disturbance Observer and Its RTDS Verification" Energies 15, no. 7: 2652. https://doi.org/10.3390/en15072652
APA StyleYang, S. J., Amare, N. D., Kim, J. W., & Son, Y. I. (2022). Out-of-Step Prediction Using DQN-Based Disturbance Observer and Its RTDS Verification. Energies, 15(7), 2652. https://doi.org/10.3390/en15072652

