Reservoir Densification, Pressure Evolution, and Natural Gas Accumulation in the Upper Paleozoic Tight Sandstones in the North Ordos Basin, China
Abstract
:1. Introduction
2. Geological Settings
3. Data and Methods
3.1. Reservoir Characterization
3.2. Porosity Evolution Analyses
- (1)
- Primary porosity, Φ0 = 20.91 + 22.90/So [33], So = (D25/D75)1/2, where So is the Trask sorting coefficient, D25 and D75 are the corresponding particle diameter at cumulative content of 25 and 75%, respectively;
- (2)
- Porosity after compaction, Φ1 = C + φpm × φp/φt, where C is the total cement content, φpm represents the thin section porosity of the residual intergranular pores, φp is the core measured porosity, φt is total thin section porosity;
- (3)
- Porosity reduction by compaction, Φ2 = Φ0 − Φ1;
- (4)
- Porosity reduction by cementation, Φ3 = C;
- (5)
- Porosity increase by authigenic inter-crystalline pores, Φ4 = φi × φp/φt, where φi is the thin section porosity of authigenic inter-crystalline pores;
- (6)
- Porosity after cementation, Φ5 = Φ1 − Φ3 + Φ4;
- (7)
- Porosity increase by dissolution, Φ6 = φd × φp/φt, where φd represents the thin section porosity of dissolution pores.
3.3. Fluid Inclusions Analysis
3.4. 1D Basin Modeling
4. Results
4.1. Characteristics of the Tight Reservoirs
4.2. Quantitative Characteristics of Porosity Evolution
4.3. Fluid Inclusions
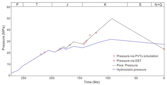
4.4. Pressure Evolution History
5. Discussion
5.1. The Densification of Sandstone Reservoir
5.2. Origin of the Abnormal Pressure
5.3. Coupling among the Reservoir Densification, Pressure Evolution, and Natural Gas Accumulation
6. Conclusions
- (1)
- The sandstone reservoirs of the Lower Shihezi Fm. are generally tight with average porosity and permeability of 9.56% and 0.95 mD, respectively. The pore spaces are mainly composed of dissolution and intercrystalline pores within authigenic kaolinite, rare primary pores, and a small amount of microfractures. The compaction and cementation, respectively, resulted in the porosity loss at 21.8 and 12.41%, while the dissolution increased the porosity by 8.56%. The reservoir was significantly tightened by strong mechanical compaction and early cementation during the Late Triassic (ca. 230 Ma), which was prior to the large-scale gas charging since the Early Jurassic (ca. 192 Ma).
- (2)
- The sandstone reservoir of the Lower Shihezi Fm. began to develop overpressure during the Middle Jurassic, which originated from the fluid expansion caused by gas generating. The gas expansion force was the main driving force for gas charging during the Early Jurassic to the Early Cretaceous (ca. 192–132 Ma). The continuous tectonic uplifting since the Late Cretaceous resulted in the underpressure and normal pressure of the Lower Shihezi Fm. The temperature decrease, gas expulsion, and pore rebound during the uplifting stage were the main causes for the depressurization. The gas expulsion during this period played a significant role in the gas charging and re-accumulation in the northern Ordos Basin.
- (3)
- The reservoir densification occurred before the hydrocarbon charging, implying that the gas accumulation in the study area is continuous or quasi-continuous. The densification of the reservoir was conducive to the formation of the paleo-pressure caused by gas generation during the main gas charging stage. The gas predominantly migrated vertically driven by gas expansion force rather than buoyance and displaced the pore water in the reservoirs near source rocks. Therefore, the hydrocarbon generation intensity and effective assemblages of source rock and reservoir are crucial for the gas accumulation and exploration of this type of tight reservoirs.
Author Contributions
Funding
Institutional Review Board Statement
Informed Consent Statement
Data Availability Statement
Acknowledgments
Conflicts of Interest
References
- Law, B.E.; Curtis, J.B. Introduction to unconventional petroleum systems. AAPG Bull. 2002, 86, 851–1852. [Google Scholar]
- Schmoker, J.W. Resource assessment perspectives for unconventional gas systems. AAPG Bull. 2002, 86, 1993–2000. [Google Scholar]
- Zou, C.N.; Zhu, R.K.; Liu, K.Y.; Su, L.; Bai, B.; Zhang, X.X.; Yuan, X.J.; Wang, J.H. Tight gas sandstone reservoirs in China: Characteristics and recognition criteria. J. Pet. Sci. Eng. 2012, 88, 82–91. [Google Scholar] [CrossRef]
- Mcglade, C.; Speirs, J.; Sorrell, S. Unconventional gas—A review of regional and global resource estimates. Energy 2013, 55, 571–584. [Google Scholar] [CrossRef]
- Li, G.Z.; Qin, Y.; Shen, J.; Wu, M.; Li, C.; Wei, K.H.; Zhu, Z. Geochemical characteristics of tight sandstone gas and hydrocarbon charging history of Linxing area in Ordos Basin, China. J. Pet. Sci. Eng. 2019, 177, 198–207. [Google Scholar] [CrossRef]
- Yang, H.; Fu, J.H.; Wei, X.S.; Liu, X.S. Sulige field in the Ordos Basin: Geological setting, field discovery and tight gas reservoirs. Mar. Pet. Geol. 2008, 25, 387–400. [Google Scholar] [CrossRef]
- Hu, G.Y.; Li, J.; Shan, X.Q.; Han, Z.X. The origin of natural gas and the hydrocarbon charging history of the Yulin gas field in the Ordos Basin, China. Int. J. Coal Geol. 2010, 81, 381–391. [Google Scholar]
- Dai, J.X.; Ni, Y.Y.; Wu, X.Q. Tight gas in China and its significance in exploration and exploitation. Petrol. Explor. Dev. 2012, 39, 277–284. [Google Scholar] [CrossRef]
- Huang, S.P.; Fang XLiu, D.; Fang, C.C.; Huang, T.F. Natural gas genesis and sources in the Zizhou gas field, Ordos Basin, China. Int. J. Coal Geol. 2015, 152, 132–143. [Google Scholar] [CrossRef] [Green Version]
- Wu, X.Q.; Ni, C.H.; Liu, Q.Y.; Liu, G.X.; Zhu, J.H.; Chen, Y.B. Genetic types and source of the Upper Paleozoic tight gas in the Hangjinqi area, northern Ordos Basin, China. Geofluids 2017, 2017, 4596273. [Google Scholar] [CrossRef] [Green Version]
- Zou, C.N.; Yang, Z.; Tao, S.Z.; Yuan, X.J.; Zhu, R.K.; Hou, L.H.; Wu, S.T.; Sun, L.; Zhang, G.S.; Bai, B.; et al. Continuous hydrocarbon accumulation over a large area as a distinguishing characteristic of unconventional petroleum: The Ordos Basin, North-Central China. Earth Sci. Rev. 2013, 126, 358–369. [Google Scholar] [CrossRef] [Green Version]
- Yang, Z.; He, S.; Guo, X.W.; Li, Q.; Chen, Z.Y.; Zhao, Y.C. Formation of low permeability reservoirs and gas accumulation process in the Daniudi gas field, northeast Ordos basin, China. Mar. Pet. Geol. 2016, 70, 222–236. [Google Scholar] [CrossRef]
- Xu, N.N.; Qiu, L.W.; Eriksson, K.A.; Klyukin, Y.L.; Wang, Y.; Yang, Y.Q. Influence of detrital composition on the diagenetic history of tight sandstones with implications for reservoir quality: Examples from the Permian Xiashihezi Formation and Carboniferous Taiyuan Formation, Daniudi gas field, Ordos Basin, China. Mar. Pet. Geol. 2017, 88, 756–784. [Google Scholar] [CrossRef]
- Lai, F.P.; Li, Z.P.; Zhang, T.T.; Zhou, A.Q.; Gong, B. Characteristics of microscopic pore structure and its influence on spontaneous imbibition of tight gas reservoir in the Ordos Basin, China. J. Pet. Sci. Eng. 2019, 172, 23–31. [Google Scholar] [CrossRef]
- Huyan, Y.Y.; Pang, X.Q.; Jiang, F.J.; Li, L.L.; Zheng, D.Y.; Shao, X.H. Coupling relationship between tight sandstone reservoir and gas charging: An example from lower Permian Taiyuan Formation in Kangning field, northeastern Ordos Basin, China. Mar. Pet. Geol. 2019, 105, 238–250. [Google Scholar] [CrossRef]
- Zhao, J.; Li, J.; Cao, Q.; Bai, Y.; Wu, W.; Ma, Y. Quasi-continuous hydrocarbon accumulation: An alternative model for the formation of large tight oil and gas accumulations. J. Pet. Sci. Eng. 2019, 174, 25–39. [Google Scholar] [CrossRef]
- Zheng, D.Y.; Pang, X.Q.; Jiang, F.J.; Liu, T.S.; Shao, X.H.; Huyan, Y.Y. Characteristics and controlling factors of tight sandstone gas reservoirs in the Upper Paleozoic strata of Linxing area in the Ordos Basin, China. J. Nat. Gas Sci. Eng. 2020, 75, 103135. [Google Scholar] [CrossRef]
- Wang, R.; Shi, W.Z.; Xie, X.Y.; Zhang, W.; Qin, S.; Liu, K.; Busbey Arthur, B. Clay mineral content, type, and their effects on pore throat structure and reservoir properties: Insight from the Permian tight sandstones in the Hangjinqi area, north Ordos Basin, China. Mar. Pet. Geol. 2020, 115, 104281. [Google Scholar] [CrossRef]
- Qin, S.; Wang, R.; Shi, W.Z.; Liu, K.; Zhang, W.; Xu, X.F.; Qi, R.; Yi, Z.X. Diverse effects of intragranular fractures on reservoir properties, diagenesis, and gas migration: Insight from Permian tight sandstone in the Hangjinqi area, north Ordos Basin. Mar. Pet. Geol. 2022, 137, 105526. [Google Scholar] [CrossRef]
- Bai, D.L.; Yang, M.H.; Lei, Z.B.; Zhang, Y. Effect of tectonic evolution on hydrocarbon charging time: A case study from Lower Shihezi Formation (Guadalupian), the Hangjinqi area, northern Ordos, China. J. Pet. Sci. Eng. 2020, 184, 106465. [Google Scholar] [CrossRef]
- Liu, K.; Wang, R.; Shi, W.Z.; Zhang, W.; Qi, R.; Qin, S.; Xu, L.T. Tectonic controls on Permian tight gas accumulation: Constrains from fluid inclusion and paleo-structure reconstruction in the Hangjinqi area, northern Ordos Basin, China. J. Nat. Gas Sci. Eng. 2020, 86, 103616. [Google Scholar] [CrossRef]
- Xiao, X.M.; Zhao, B.Q.; Thu, Z.L.; Song, Z.G.; Wilkins, R.W.T. Upper Paleozoic petroleum system, Ordos Basin, China. Mar. Pet. Geol. 2005, 22, 945–963. [Google Scholar] [CrossRef]
- Xie, X.Y.; Heller, P.L. U-Pb detrital zircon geochronology and its implications: The early Late Triassic Yanchang Formation, south Ordos Basin, China. J. Asian Earth Sci. 2013, 64, 86–98. [Google Scholar] [CrossRef]
- Yang, M.H.; Li, L.; Zhou, J.; Jia, H.C.; Sun, X.; Qu, X.Y.; Zhou, D.; Gong, T.; Ding, C. Mesozoic structural evolution of the Hangjinqi area in the northern Ordos Basin, North China. Mar. Pet. Geol. 2015, 66, 695–710. [Google Scholar] [CrossRef]
- Hanson, A.D.; Ritts, B.D.; Moldowan, J.M. Organic Geochemistry of oil and source rock strata of the Ordos Basin, north-central China. AAPG Bull. 2007, 91, 1273–1293. [Google Scholar] [CrossRef]
- Xu, Q.H.; Shi, W.Z.; Xie, X.Y.; Busbey, A.B.; Xu, L.T.; Wu, R.; Liu, K. Inversion and propagation of the late paleozoic porjianghaizi fault (north Ordos basin, China): Controls on sedimentation and gas accumulations. Mar. Pet. Geol. 2018, 91, 706–722. [Google Scholar] [CrossRef]
- Schaefer, R.G.; GalushkinRitts, B.D.; Hansonb, A.D.; Darbyc, B.J.; Nansona, L.; Berry, A. Sedimentary record of triassic intraplate extension in north China: Evidence from the nonmarine NW Ordos Basin, helan Shan and zhuozi Shan. Tectonophysics 2004, 386, 177–202. [Google Scholar]
- Zhang, Z.; Sun, K.; Yin, J. Sedimentology and sequence stratigraphy of the P1s (Lower Permian) in the northwestern Ordos Basin, China: An alternative sequence model for fluvial strata. Sediment. Geol. 1997, 112, 123–136. [Google Scholar] [CrossRef]
- Zhu, H.; Chen, K.; Liu, K.; Hel, S. A sequence stratigraphic model for reservoir sand-body distribution in the Lower Permian Shanxi Formation in the Ordos Basin, northern China. Mar. Pet. Geol. 2008, 25, 731–743. [Google Scholar] [CrossRef]
- Li, Y.; Gao, X.; Meng, S.; Wu, P.; Niu, X.; Qiao, P.; Derek, E. Diagenetic sequences of continuously deposited tight sandstones in various environments: A case study from upper Paleozoic sandstones in the Linxing area, eastern Ordos basin, China. AAPG Bull. 2019, 103, 2757–2783. [Google Scholar] [CrossRef]
- Anees, A.; Shi, W.Z.; Ashraf, U.; Xu, Q.H. Channel identification using 3D seismic attributes and well logging in lower Shihezi Formation of Hangjinqi area, northern Ordos Basin, China. J. Appl. Geophys. 2019, 163, 139–150. [Google Scholar] [CrossRef]
- Zhao, J.Z.; Zhang, W.Z.; Li, J.; Cao, Q.; Fan, Y.F. Genesis of tight sand gas in the Ordos Basin, China. Org. Geochem. 2014, 74, 76–84. [Google Scholar] [CrossRef]
- Beard, D.C.; Weyl, P.K. Influence of texture on porosity and permeability of unconsolidated sand. AAPG Bull. 1973, 57, 349–369. [Google Scholar]
- Ping, H.; Chen, H.; Thiéry, R. Thermodynamic modeling of petroleum inclusions: Composition modeling and prediction of the trapping pressure of crude oils. Fluid Phase Equilib. 2013, 346, 33–44. [Google Scholar] [CrossRef]
- Ping, H.; Chen, H.; Jia, G. Petroleum accumulation in the deeply buried reservoirs in the northern Dongying Depression, Bohai Bay Basin, China: New insights from fluid inclusions, natural gas geochemistry, and 1-d basin modeling. Mar. Pet. Geol. 2017, 80, 70–93. [Google Scholar] [CrossRef]
- Chen, R.; Luo, X.; Chen, Z.; Yu, J.; Yang, Y. Restoration of burial history of four periods in Ordos Basin. Acta Pet. Sin. 2006, 27, 43–47, (In Chinese with English Abstract). [Google Scholar]
- Ren, Z.L.; Yu, Q.; Cui, J.P.; Qi, K.; Chen, Z.J.; Cao, Z.P.; Yang, P. Thermal history and its controls on oil and gas of the Ordos Basin. Earth Sci. Front. 2017, 24, 137–148, (In Chinese with English Abstract). [Google Scholar]
- Wygrala, B.P. Integrated Study of an Oil Field in the Southern Po Basin, Northern Italy. Ph.D. Thesis, Berichte des Forschungszentrums Juelich, Jülich, Germany, 1989; p. 217. [Google Scholar]
- Sweeney, J.J.; Burnham, A.K. Evaluation of a Simple Model of Vitrinite Reflectance Based on Chemical Kinetics. AAPG Bull. 1990, 74, 1559–1570. [Google Scholar]
- Xue, H.; Zhang, J.C.; Xu, B.; Wang, Y.; Mao, X.P. Evaluation of Upper Paleozoic source rocks of the Hangjinqi block in the northern Ordos basin, China. J. Chengdu Univ. Technol. 2010, 37, 21–28, (In Chinese with English Abstract). [Google Scholar]
- Liu, J.L.; Liu, K.Y.; Huang, X. Effect of sedimentary heterogeneities on hydrocarbon accumulations in the Permian Shanxi Formation, Ordos Basin, China: Insight from an integrated stratigraphic forward and petroleum system modelling. Mar. Pet. Geol. 2016, 76, 412–431. [Google Scholar] [CrossRef]
- Bjørlykke, K.; Aagaard, P. Clay Minerals in North Sea Sandstones. In Origin, Diagenesis and Petrophysics of Clay Minerals in Sandstones 47; Houseknecht, D.W., Pittman, E.D., Eds.; SEPM Special Publication: Tulsa, OK, USA, 1992; pp. 65–80. [Google Scholar]
- Hagemann, H.W.; Hollerbach, A. The fluorescence behaviour of crude oils with respect to their thermal maturation and degradation. Org. Geochem. 1986, 10, 473–480. [Google Scholar] [CrossRef]
- Du, X.; Zheng, H.Y.; Jiao, X.Q. Abnormal pressure and hydrocarbon accumulation. Earth Sci. Front. 1995, 4, 137–148, (In Chinese with English Abstract). [Google Scholar]
- SY/T 5477; Petroleum and Gas Industry Standard, People’s Republic of China. State of Economic and Trade Commission: Beijing, China, 2003. (In Chinese)
- Wang, Y.; Liu, L.F.; Li, S.T.; Ji, H.T.; Xu, Z.J.; Luo, Z.H.; Xu, T.; Li, L.Z. The forming mechanism and process of tight oil sand reservoirs: A case study of Chang 8 oil layers of the Upper Triassic Yanchang Formation in the western Jiyuan area of the Ordos Basin, China. J. Pet. Sci. Eng. 2017, 158, 29–46. [Google Scholar] [CrossRef]
- Henares, S.; Caracciolo, L.; Viseras, C.; Fernandez, J.; Yeste, L.M. Diagenetic constraints on heterogeneous reservoir quality assessment: A Triassic outcrop analog of meandering fluvial reservoirs. AAPG Bull. 2016, 100, 1377–1398. [Google Scholar] [CrossRef]
- Lai, J.; Wang, G.W.; Wang, S.; Cao, J.T.; Li, M.; Pang, X.J.; Zhou, Z.L.; Fan, X.Q.; Dai, Q.Q.; Yang, L.; et al. Review of diagenetic facies in tight sandstones: Diagenesis, diagenetic minerals, and prediction via well logs. Earth Sci. Rev. 2018, 185, 234–258. [Google Scholar] [CrossRef]
- Bjørlykke, K.; Jahren, J. Open or closed geochemical systems during diagenesis in sedimentary basins: Constraints on mass transfer during diagenesis and the prediction of porosity in sandstone and carbonate reservoirs. AAPG Bull. 2012, 96, 2193–2214. [Google Scholar] [CrossRef]
- Cao, B.; Luo, X.; Zhang, L.; Sui, F.; Lin, H.; Lei, Y. Diagenetic evolution of deep sandstones and multiple-stage oil entrapment: A case study from the Lower Jurassic Sangonghe Formation in the Fukang Sag, Central Junggar basin (NW China). J. Pet. Sci. Eng. 2017, 152, 136–155. [Google Scholar] [CrossRef]
- Qiu, L.W.; Mu, X.J.; Li, H.; Zhang, J.; Ge, J.; Xu, S.; Zhou, S.B. Characteristics of detritus development in the Permian lower Shihezi Formation in Hangjinqi area and its influence on reservoir physical properties. Oil Gas Geol. 2019, 40, 24–33, (In Chinese with English Abstract). [Google Scholar]
- Mansurbeg, H.; Morad, S.; Salem, A.; Marfil, R.; El-Ghali, M.A.K.; Nystuen, J.P.; Caja, M.A.; Amorosi, A.; Garcia, G.; Iglesia, A.L. Diagenesis and reservoir quality evolution of palaeocene deep-water, marine sandstones, the Shetland-Faroes Basin, British continental shelf. Mar. Pet. Geol. 2008, 25, 514–543. [Google Scholar] [CrossRef]
- Swarbrick, R.E.; Osborne, M.J.; Yardley, G.S. Comparison of overpressure magnitude resulting from the main generating mechanisms. In Pressure Regimes in Sedimentary Basins and Their Prediction; Huffman, A.R., Bowers, G.L., Eds.; AAPG Memoir: Tulsa, OK, USA, 2002; Volume 76, pp. 1–12. [Google Scholar]
- Zhao, J.Z.; Li, J.; Xu, Z.Y. Advances in the origin of overpressures in sedimentary basins. Acta Pet. Sin. 2017, 38, 973–998, (In Chinese with English Abstract). [Google Scholar] [CrossRef]
- Li, J.; Zhao, J.Z.; Wei, X.S.; Chen, M.N.; Song, P.; Han, Z.H.; Wu, W.T. Origin of abnormal pressure in the Upper Paleozoic shale of the Ordos Basin, China. Mar. Pet. Geol. 2019, 110, 162–177. [Google Scholar] [CrossRef]
- Osborne, M.J.; Swarbrick, R.E. Mechanisms for generating overpressure in sedimentary basins: A reevaluation. AAPG Bull. 1997, 81, 1023–1041. [Google Scholar]
- Wang, X.; He, S.; Wei, A.J.; Liu, Q.; Liu, C.H. Typical disequilibrium compaction caused overpressure of Paleocene Dongying Formation in northwest Liaodongwan Depression, Bohai Bay Basin, China. J. Pet. Sci. Eng. 2016, 147, 726–734. [Google Scholar] [CrossRef]
- Su, A.; Chen, H.H.; Lei, M.Z.; Li, Q.; Wang, C.W. Paleo-pressure evolution and its origin in the Pinghu slope belt of the Xihu Depression, East China Sea Basin. Mar. Pet. Geol. 2019, 107, 98–213. [Google Scholar] [CrossRef]
- Horsfield, B.; Schenk, H.J.; Mills, N.; Welte, D.H. An investigation of the in-reservoir conversion of oil to gas: Compositional and kinetic findings from closed-system programmed-temperature pyrolysis. Org. Geochem. 1992, 19, 191–204. [Google Scholar] [CrossRef]
- Luo, X.; Vasseur, G. Contributions of compaction and aquathermal pressuring to geopressure and the influence of environmental conditions. AAPG Bull. 1992, 76, 1550–1559. [Google Scholar]
- Wang, W.L.; Zhang, Y.M.; Zhao, J. Evolution of formation pressure and accumulation of natural gas in the Upper Palaeozoic, eastern-central Ordos Basin, Central China. Geol. J. 2018, 53 (Suppl. S2), 395–404. [Google Scholar] [CrossRef]
- Xia, L.; Liu, Z.; Cao, Y.C.; Zhang, W.; Liu, J.B.; Yu, C.L.; Hou, Y.J. Postaccumulation sandstone porosity evolution by mechanical compaction and the effect on gas saturation: Case study of the Lower Shihezi Formation in the Bayan’aobao area, Ordos Basin, China. Mar. Pet. Geol. 2020, 115, 104253. [Google Scholar] [CrossRef]
- Duan, Y.; Wu, Y.Z. Distribution and formation of Mesozoic low permeability underpressured oil reservoirs in the Ordos Basin, China. J. Pet. Sci. Eng. 2020, 187, 106755. [Google Scholar] [CrossRef]
- Corbet, T.F.; Bethke, C.M. Disequilibrium fluid pressures and groundwater flow in the Eastern Canada Sedimentary Basin. J. Geophys. Res. 1992, 97, 7203–7217. [Google Scholar] [CrossRef]
- Xia, X.; Song, Y. Temperature effects on geopressure during deposition and erosion. Petrol. Explor. Dev. 2001, 28, 8–11. [Google Scholar]
- Chen, G.; Ding, C.; Xu, L.M.; Zhang, H.R.; Li, N.; Li, Y.; Hu, Y.X.; Huang, D.S. Indirect dating of multi-stage hydrocarbon accumulations by fluid inclusion data: A case study of the Permian hydrocarbon accumulation in the northeast Ordos Basin. Acta Petrol. Sin. 2012, 33, 1003–1011, (In Chinese with English Abstract). [Google Scholar]
- Guo, Y.C.; Pang, X.Q.; Li, Z.X.; Guo, F.T.; Song, L.C. The critical buoyancy threshold for tight sandstone gas entrapment: Physical simulation, interpretation, and implications to the Upper Paleozoic Ordos Basin. J. Pet. Sci. Eng. 2017, 149, 88–97. [Google Scholar] [CrossRef]
- Parnell, J.; Carey, P.F.; Monson, B. Fluid inclusion constraints on temperatures of petroleum migration from authigenic quartz in bitumen veins. Chem. Geol. 1996, 129, 217–226. [Google Scholar] [CrossRef]
- Shu, Y.; Lin, Y.X.; Liu, Y.; Yu, Z.Y. Control of magmatism on gas accumulation in Linxing area, Ordos Basin, NW China: Evidence from fluid inclusions. J. Pet. Sci. Eng. 2019, 180, 1077–1087. [Google Scholar] [CrossRef]












| Formation | Deposition Age | Erosion Age | Lithology | PSE | SWIT (°C) | PHF (Mw/m2) | TOC (%) | Kinetics | HI (mg/gTOC) | ||
|---|---|---|---|---|---|---|---|---|---|---|---|
| From (Ma) | To (Ma) | From (Ma) | To (Ma) | ||||||||
| N-Q | 7.4 | 0 | Shale (organic lean, sandy) | Overburden | 15.33 | 53 | |||||
| K | 145 | 96 | 96 | 7.4 | Sandstone & Shale | Overburden | 25 | 70 | |||
| J2 | 175 | 161 | 161 | 145 | Sandstone & Shale | Overburden | 20 | 62 | |||
| J1 | 195 | 179 | 179 | 175 | Sandstone & Shale | Overburden | 19.02 | 59 | |||
| T | 251 | 206 | 206 | 195 | Sandstone & Shale | Overburden | 21.37 | 57 | |||
| P3s | 260 | 251 | Shale & Sandstone | Cap rock | 20 | 56 | |||||
| P2s | 272 | 260 | Shale & Sandstone | Cap rock | 17.16 | 55 | |||||
| P2x | 280 | 272 | Sandstone & Shale | Reservoir | 17.48 | 54 | |||||
| P1s | 288 | 280 | Sandstone (clay rich) | Reservoir | 18.24 | 53 | |||||
| C3-P1_Coal | 291 | 288 | Coal (pure) | Source rock | 19 | 53 | 64.4 | Ordos Coal (2015) | 184.3 | ||
| C3-P1_Mud | 304 | 291 | Shale (organic rich, 3% TOC) | Source rock | 21.26 | 52 | 3.2 | Pepper & Corvi (1995) _TIIIH (DE) | 86.8 | ||
| Well | Depth (m) | Type of HI | Location | Size (μm) | Fluorescence Color | HT of AI (°C) |
|---|---|---|---|---|---|---|
| J62 | 3468.78 | GI | Crack across quartz | 5 | – | 113.8 |
| J62 | 3468.78 | GI | Crack across quartz | 6 | – | 112.9 |
| J62 | 3468.78 | GI | Crack within quartz | 10 | – | 106.9 |
| J62 | 3468.78 | OI | Crack within quartz | 7 | blue | 105.3 |
| J62 | 3468.78 | OI | Crack within quartz | 12 | blue | 103.9 |
| J62 | 3468.29 | GI | Crack within quartz | 8 | – | 133.5 |
| J62 | 3468.29 | GI | Crack within quartz | 10 | – | 116.5 |
| J107 | 3196.31 | OI | Crack within quartz | 9 | blue | 96 |
| J107 | 3196.31 | OI | Crack within quartz | 7 | blue | 100.8 |
| J107 | 3200.69 | GI | Crack within quartz | 16 | – | 99.3 |
| J107 | 3200.69 | GI | Crack within quartz | 13 | – | 117.5 |
| J107 | 3200.69 | GI | Crack within quartz | 12 | – | 109.3 |
| J91 | 2978.06 | GI | Crack within quartz | 16 | – | 111.5 |
| J91 | 2978.06 | GI | Crack within quartz | 5 | – | 118.1 |
| J91 | 2978.06 | GI | Crack within quartz | 8 | – | 115.9 |
| J91 | 2989.95 | OI | Crack within quartz | 7 | blue | 101.8 |
| J91 | 2989.95 | OI | Crack within quartz | 6 | blue | 90.1 |
| J77 | 2706.62 | OI | Crack within quartz | 7 | blue | 101.9 |
| J77 | 2706.62 | OI | Crack within quartz | 13 | blue | 132.9 |
| J77 | 2713.3 | OI | Crack within quartz | 11 | blue-green | 83.3 |
| J77 | 2713.3 | OI | Crack within quartz | 7 | blue-green | 81.9 |
| J77 | 2713.3 | GI | Crack within quartz | 8 | – | 105.1 |
| J77 | 2713.3 | GI | Crack across quartz | 12 | – | 90.3 |
| Fluorescence Color | Position | Thoil (°C) | Fv (%) | Thaqu (°C) | C7+ Molar Percent (%) | C1 Molar Percent (%) | Pt (MPa) | Time (Ma) | Paleo-Depth (m) | PC |
|---|---|---|---|---|---|---|---|---|---|---|
| bule | crack within quartz | 83.1 | 6 | 102.7 | 40.7 | 33.1 | 26.67 | 168 | 2358 | 1.1 |
| bule | crack within quartz | 91.9 | 6 | 134.3 | 44.9 | 29.1 | 37.29 | 121 | 2769 | 1.32 |
| bule | crack within quartz | 84.5 | 6.2 | 110.3 | 40.4 | 33.4 | 30.33 | 138 | 2495 | 1.19 |
| bule | crack across quartz | 78.4 | 4.8 | 103.1 | 45.2 | 28.9 | 27.53 | 142 | 2414 | 1.11 |
| blue-green | crack within quartz | 74.4 | 5 | 81.9 | 41.9 | 32 | 18.78 | 219 | 1774 | 1.03 |
| bule | crack within quartz | 72.6 | 4 | 87.3 | 47.8 | 26.4 | 20.3 | 213 | 1944 | 1.01 |
| bule | crack within quartz | 85.3 | 6.8 | 106.7 | 38.2 | 35.3 | 28.94 | 140 | 2455 | 1.15 |
| bule | crack within quartz | 88.6 | 7.3 | 99.6 | 37.6 | 35.8 | 23.46 | 185 | 2210 | 1.03 |
| bule | crack within quartz | 92.4 | 10 | 118.7 | 30.7 | 41.7 | 35.33 | 132 | 2590 | 1.33 |
Publisher’s Note: MDPI stays neutral with regard to jurisdictional claims in published maps and institutional affiliations. |
© 2022 by the authors. Licensee MDPI, Basel, Switzerland. This article is an open access article distributed under the terms and conditions of the Creative Commons Attribution (CC BY) license (https://creativecommons.org/licenses/by/4.0/).
Share and Cite
Wang, R.; Liu, K.; Shi, W.; Qin, S.; Zhang, W.; Qi, R.; Xu, L. Reservoir Densification, Pressure Evolution, and Natural Gas Accumulation in the Upper Paleozoic Tight Sandstones in the North Ordos Basin, China. Energies 2022, 15, 1990. https://doi.org/10.3390/en15061990
Wang R, Liu K, Shi W, Qin S, Zhang W, Qi R, Xu L. Reservoir Densification, Pressure Evolution, and Natural Gas Accumulation in the Upper Paleozoic Tight Sandstones in the North Ordos Basin, China. Energies. 2022; 15(6):1990. https://doi.org/10.3390/en15061990
Chicago/Turabian StyleWang, Ren, Kai Liu, Wanzhong Shi, Shuo Qin, Wei Zhang, Rong Qi, and Litao Xu. 2022. "Reservoir Densification, Pressure Evolution, and Natural Gas Accumulation in the Upper Paleozoic Tight Sandstones in the North Ordos Basin, China" Energies 15, no. 6: 1990. https://doi.org/10.3390/en15061990
APA StyleWang, R., Liu, K., Shi, W., Qin, S., Zhang, W., Qi, R., & Xu, L. (2022). Reservoir Densification, Pressure Evolution, and Natural Gas Accumulation in the Upper Paleozoic Tight Sandstones in the North Ordos Basin, China. Energies, 15(6), 1990. https://doi.org/10.3390/en15061990
