Numerical Study of Porous Treatments on Controlling Flow around a Circular Cylinder
Abstract
:1. Introduction
2. Numerical Details
2.1. Model Description and Setup
2.2. Governing Equations and Boundary Conditions
2.3. Numerical Validation
3. Results and Discussions
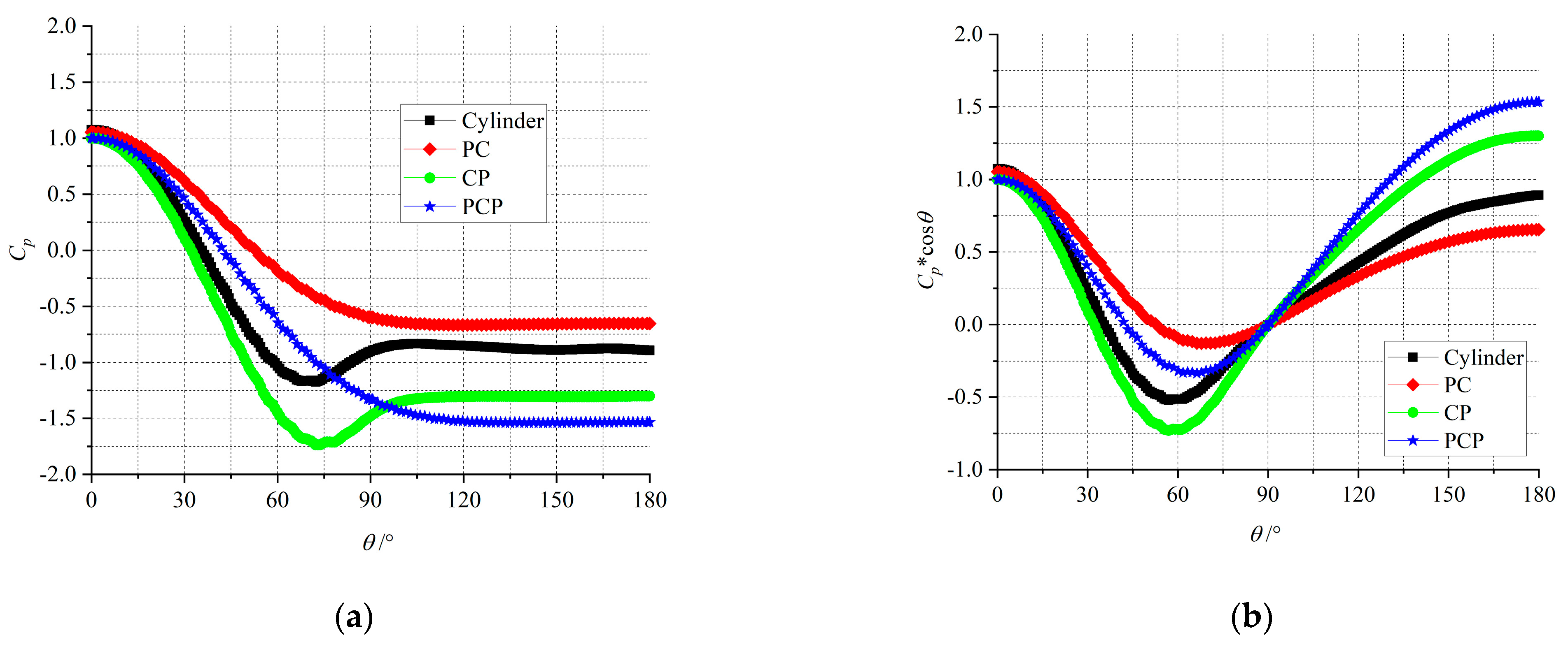
3.1. Lift and Drag Forces
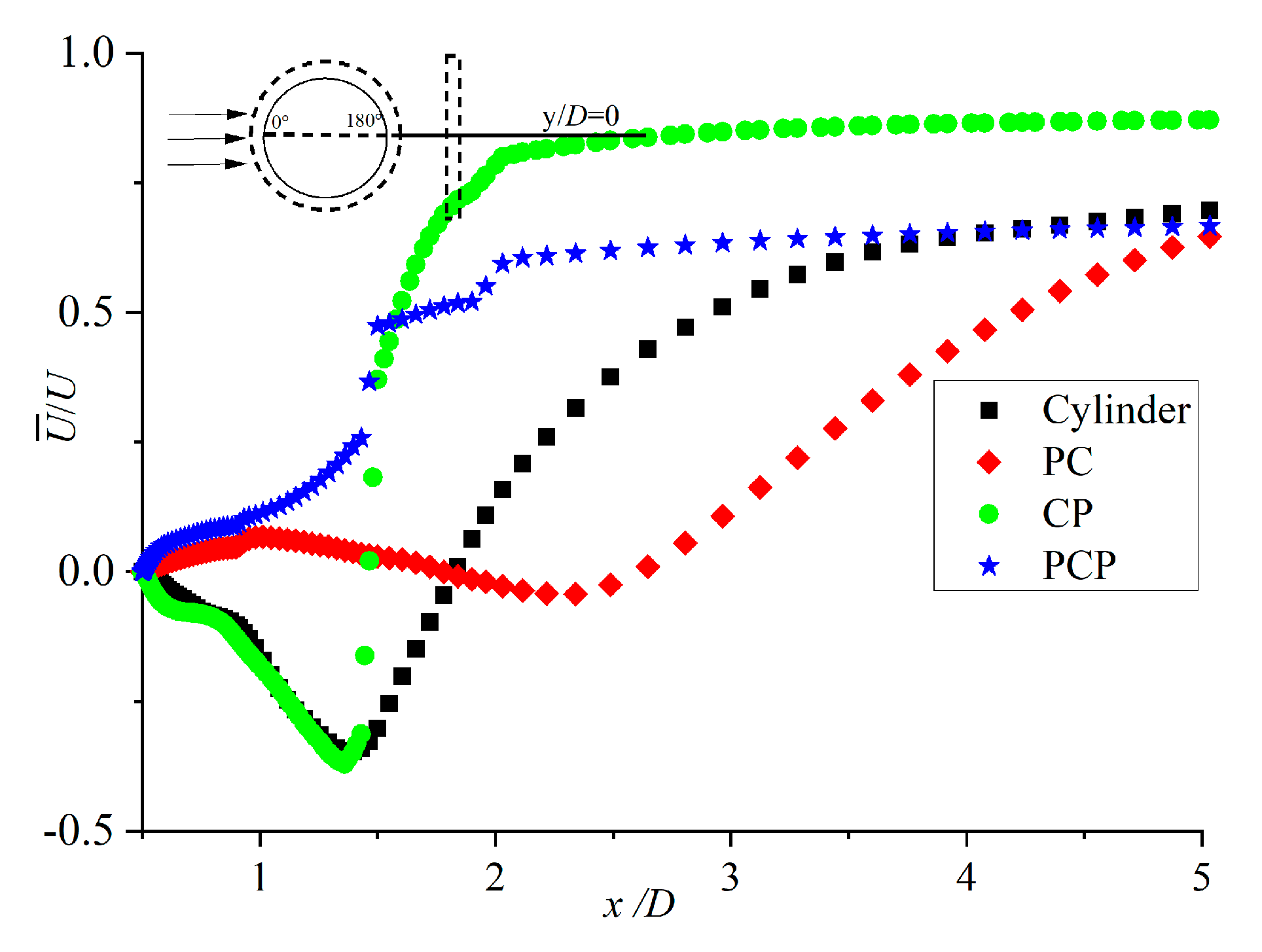
3.2. Wake Evolution Downstream Cylinder
4. Conclusions
Author Contributions
Funding
Institutional Review Board Statement
Informed Consent Statement
Data Availability Statement
Conflicts of Interest
References
- Norberg, C. Fluctuating lift on a circular cylinder: Review and new measurements. J. Fluid Struct. 2003, 17, 57–96. [Google Scholar] [CrossRef]
- Choi, H.; Jeon, W.P.; Kim, J. Control of flow over a bluff body. Annu. Rev. Fluid Mech. 2007, 40, 113–139. [Google Scholar] [CrossRef] [Green Version]
- Ruck, B.; Klausmann, K.; Wacker, T. The flow around circular cylinders partially coated with porous media. AIP Conf. Proc. 2012, 1453, 49–54. [Google Scholar]
- Klausmann, K.; Ruck, B. Drag reduction of circular cylinders by porous coating on the leeward side. J. Fluid Mech. 2017, 813, 382–411. [Google Scholar] [CrossRef]
- Sueki, T.; Takaishi, T.; Ikeda, M.; Arai, N. Application of porous material to reduce aerodynamic sound from bluff bodies. Fluid Dyn. Res. 2010, 42, 015004. [Google Scholar] [CrossRef]
- Geyer, T.F.; Sarradj, E. Circular cylinders with soft porous cover for flow noise reduction. Exp. Fluids 2016, 57, 30. [Google Scholar] [CrossRef]
- Bhattacharyya, S.; Singh, A.K. Reduction in drag and vortex shedding frequency through porous sheath around a circular cylinder. Int. J. Numer. Methods Fluids 2011, 65, 683–698. [Google Scholar] [CrossRef]
- Naito, H.; Fukagata, K. Numerical simulation of flow around a circular cylinder having porous surface. Phys. Fluids 2012, 24, 117102. [Google Scholar] [CrossRef]
- Liu, H.; Wei, J.; Qu, Z. Prediction of aerodynamic noise reduction by using open-cell metal foam. J. Sound Vib. 2012, 331, 1483–1497. [Google Scholar] [CrossRef]
- Hu, Z.; Liu, H.; Chen, N.; Hu, J.; Tong, F. Vortex shedding noise and flow mode analysis of cylinder with full/partial porous coating. Aerosp. Sci. Technol. 2020, 106, 106154. [Google Scholar] [CrossRef]
- Zhang, P.; Liu, Y.; Li, Z.; Liu, H.; Yang, Y. Numerical study on reducing aerodynamic drag and noise of circular cylinders with non-uniform porous coatings. Aerosp. Sci. Technol. 2020, 107, 106308. [Google Scholar] [CrossRef]
- Xu, C.; Mao, Y.; Hu, Z. Control of cylinder wake flow and noise through a downstream porous treatment. Aerosp. Sci. Technol. 2019, 88, 233–243. [Google Scholar] [CrossRef] [Green Version]
- Brookfield, J.M.; Waitz, I.A. Trailing-edge blowing for reduction of turbomachinery fan noise. J. Propuls Power 2000, 16, 57–64. [Google Scholar] [CrossRef]
- Leitch, T.A.; Ng, W.F.; Burdisso, C.; Dancey, C.L. Virginia Reduction of Unsteady Rotor-Stator Interaction Using Trailing Edge Blowing. Master’s Thesis, Virginia Tech, Blacksburg, VA, USA, 1997. [Google Scholar]
- Breuer, M. Large eddy simulation of the subcritical flow past a circular cylinder: Numerical and modeling aspects. Int. J. Numer. Methods Fluids 1998, 28, 1281–1302. [Google Scholar] [CrossRef]
- Norberg, C. Effects of reynolds number and low-intensity freestream turbulence on the flow around a circular cylinder. Technol. Publ. 1987, 87, 1–55. [Google Scholar]
- Franke, J.; Frank, W. Large eddy simulation of the flow past a circular cylinder at ReD = 3900. J. Wind Eng. Ind. Aerodyn. 2002, 90, 1191–1206. [Google Scholar] [CrossRef]
- Meyer, M.; Hickel, S.; Adams, N.A. Assessment of implicit Large-Eddy simulation with a conservative immersed interface method for turbulent cylinder flow. Int. J. Heat Fluid Flow 2010, 31, 368–377. [Google Scholar] [CrossRef]
- Lysenko, D.A.; Ertesvåg, I.S.; Rian, K.E. Large-Eddy simulation of the flow over a circular cylinder at reynolds number 3900 using the OpenFOAM Toolbox. Flow Turbul. Combust. 2012, 89, 491–518. [Google Scholar] [CrossRef]
- Smagorinsky, J. General circulation experiments with the primitive equations: I The basic experiment. Mon. Weather Rev. 1962, 91, 99–164. [Google Scholar] [CrossRef]
- Aguedal, L.; Semmar, D.; Berrouk, A.S.; Azzi, A.; Oualli, H. 3D vortex structure investigation using Large Eddy Simulation of flow around a rotary oscillating circular cylinder. Eur. J. Mech. B-Fluids 2018, 71, 113–125. [Google Scholar] [CrossRef]
- Rogallo, R.S.; Moin, P. Numerical simulation of turbulent flows. Annu. Rev. Fluid Mech. 1984, 16, 99–137. [Google Scholar] [CrossRef]
- Vafai, K. Convective flow and heat transfer in variable-porosity media. J. Fluid Mech. 2006, 147, 233–259. [Google Scholar] [CrossRef]
- Ergun, S. Fluid flow through packed columns. J. Mater. Sci. Chem. Eng. 1952, 48, 89–94. [Google Scholar]
- Breuer, M. A challenging test case for large eddy simulation: High reynolds number circular cylinder flow. Int. J. Heat Fluid Flow 2000, 21, 648–654. [Google Scholar] [CrossRef]
- Sarkar, S.; Sarkar, S. Large-Eddy simulation of wake and boundary layer interactions behind a circular cylinder. J. Fluids Eng. 2009, 131, 091201. [Google Scholar] [CrossRef]
- Shih, W.; Wang, C.; Coles, D.; Roshko, A. Experiments on flow past rough circular cylinders at large Reynolds numbers. J. Wind Eng. Ind. Aerodyn. 1993, 49, 351–368. [Google Scholar] [CrossRef]
- Ma, X.; Karamanos, G.S.; Karniadakis, G.E. Dynamics and low-dimensionality of a turbulent wake. J. Fluid Mech. 2000, 410, 29–65. [Google Scholar] [CrossRef] [Green Version]
- Lehmkuhl, O.; Rodríguez, I.; Borrell, R.; Oliva, A. Low-frequency unsteadiness in the vortex formation region of a circular cylinder. Phys. Fluids 2013, 25, 085109. [Google Scholar] [CrossRef] [Green Version]
- Parnaudeau, P.; Carlier, J.; Heitz, D.; Lamballais, E. Experimental and numerical studies of the flow over a circular cylinder at Reynolds number 3900. Phys. Fluids 2008, 20, 085101. [Google Scholar] [CrossRef] [Green Version]
- Roshko, A. Experiments on the flow past a circular cylinder at very high Reynolds number. J. Fluid Mech. 1961, 10, 345–356. [Google Scholar] [CrossRef] [Green Version]























| Scheme No. | Description | Abbreviation |
|---|---|---|
| 1 | Bare cylinder | - |
| 2 | Porous material fixed on cylinder | PC |
| 3 | Porous material fixed downstream cylinder | CP |
| 4 | Porous material fixed on and downstream cylinder | PCP |
| Present results | 1.09 | 0.025 | −2.7 × 10−3 | 0.274 | 0.209 |
| Experimental [16,27] | 0.98~1.07 | - | - | 0.25 | 0.21~0.22 |
| Numerical [15,17,19] | 0.99~1.63 | 0.014~0.033 | (8~80) × 10−4 | 0.051~0.316 | 0.202~0.223 |
| Schemes | ||||
|---|---|---|---|---|
| Bare cylinder | 6.3 × 10−3 | 6.0 × 10−3 | 3.09 × 10−4 | 95.24% |
| CP | 7.3 × 10−3 | 6.3 × 10−3 | 3.573 × 10−4 | 86.30% |
| PC | 6.4 × 10−3 | 6.2 × 10−3 | 1.894 × 10−4 | 96.88% |
| PCP | 10.6 × 10−3 | 10.3 × 10−3 | 2.877 × 10−4 | 97.17% |
| Schemes | |||||
|---|---|---|---|---|---|
| Cylinder | 1.09 | 0.025 | −2.7 × 10−3 | 0.274 | 0.209 |
| PC | 1.22 | 1 × 10−4 | 1.04 × 10−4 | 2.71 × 10−2 | 0.135 |
| CP | 1.26 | 1 × 10−3 | 1.01 × 10−3 | 1.1 × 10−2 | - |
| PCP | 1.853 | 1 × 10−5 | −1.24 × 10−4 | 1 × 10−5 | - |
Publisher’s Note: MDPI stays neutral with regard to jurisdictional claims in published maps and institutional affiliations. |
© 2022 by the authors. Licensee MDPI, Basel, Switzerland. This article is an open access article distributed under the terms and conditions of the Creative Commons Attribution (CC BY) license (https://creativecommons.org/licenses/by/4.0/).
Share and Cite
Xu, C.; Wang, S.; Mao, Y. Numerical Study of Porous Treatments on Controlling Flow around a Circular Cylinder. Energies 2022, 15, 1981. https://doi.org/10.3390/en15061981
Xu C, Wang S, Mao Y. Numerical Study of Porous Treatments on Controlling Flow around a Circular Cylinder. Energies. 2022; 15(6):1981. https://doi.org/10.3390/en15061981
Chicago/Turabian StyleXu, Chen, Shihao Wang, and Yijun Mao. 2022. "Numerical Study of Porous Treatments on Controlling Flow around a Circular Cylinder" Energies 15, no. 6: 1981. https://doi.org/10.3390/en15061981
APA StyleXu, C., Wang, S., & Mao, Y. (2022). Numerical Study of Porous Treatments on Controlling Flow around a Circular Cylinder. Energies, 15(6), 1981. https://doi.org/10.3390/en15061981

