Effect of the Hot Streak on the Overall Cooling Performance of a Coated Rotor Blade
Abstract
:1. Introduction
2. Materials and Methods
2.1. Mesh Generation and Calculation Techniques
2.2. Thermal Parameter Definition
- (1)
- Overall cooling effectiveness :
- (2)
- Overall cooling effectiveness
- (3)
- The local heat flux reduction δq due to the TBCs:
- (4)
- Overall cooling effectiveness increment due to the TBCs :
3. Discussion
3.1. Influence of HS on the Overall Cooling Performance of the Metal Blade
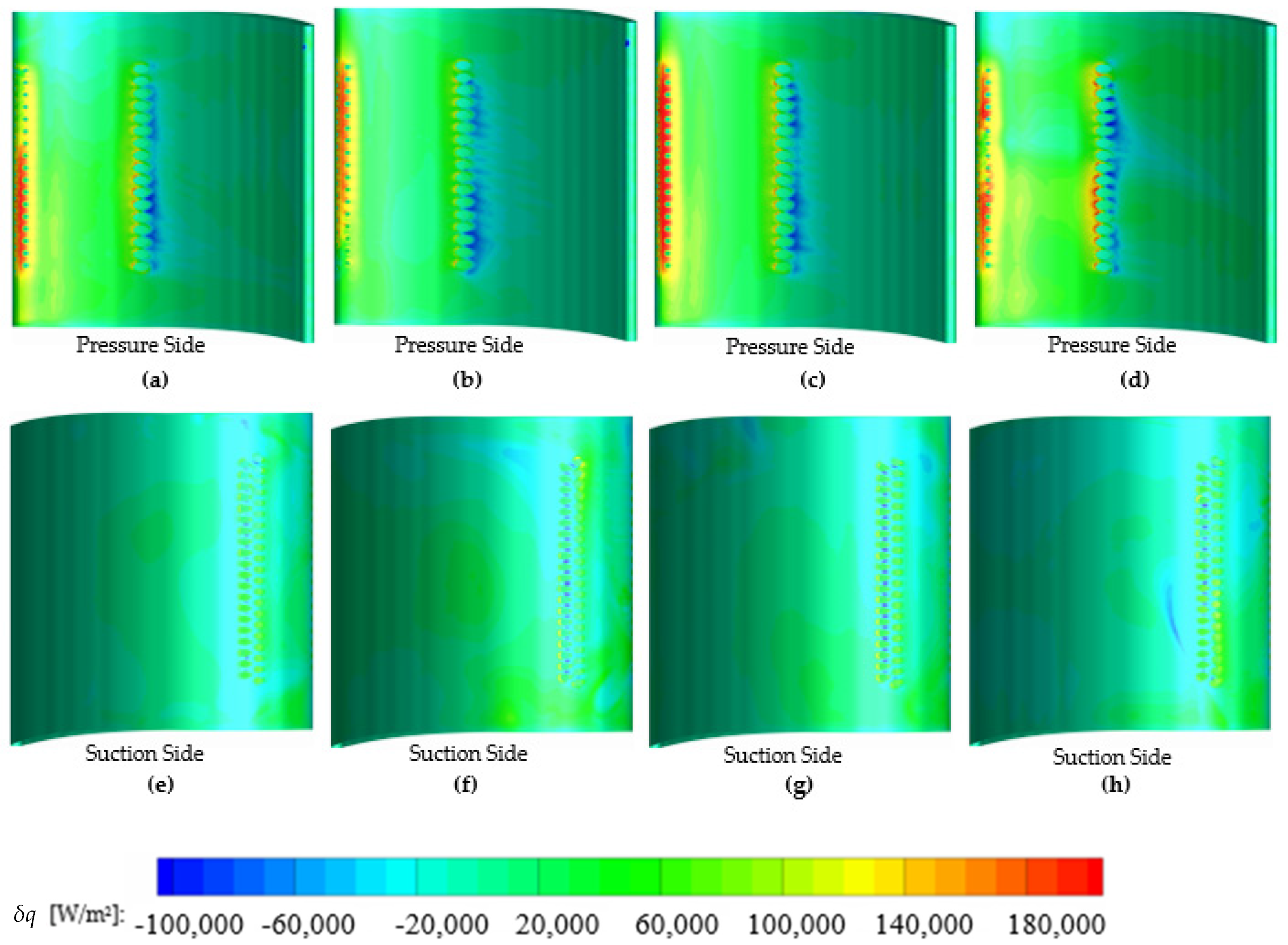
3.2. Influence of HS on the Insulation Performance of Coating
3.3. Influence of HS on the Overall Cooling Performance of the Coated Blade
4. Conclusions
- (1)
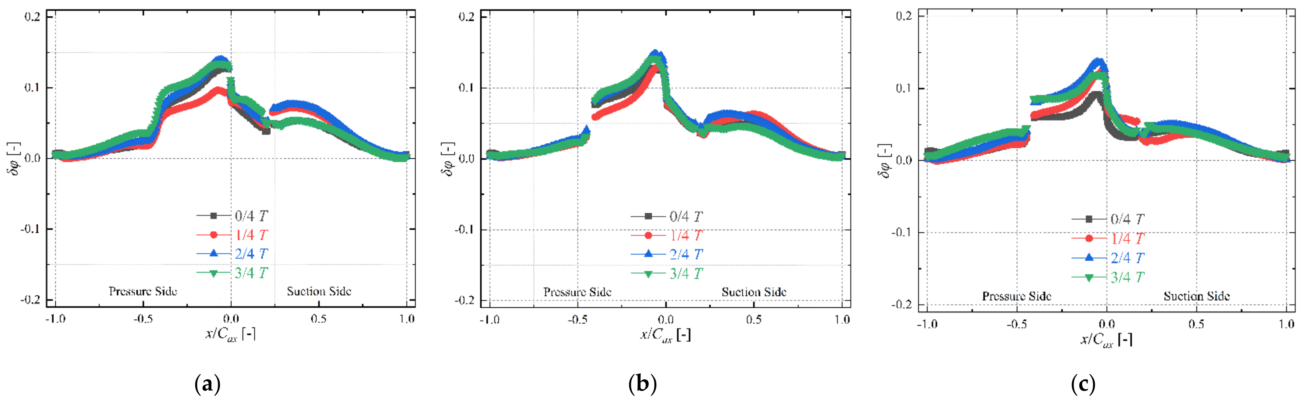
- The highest cooling performance could be observed at the initial time points, when the LE of the blade turned towards the trailing edge of the vane. The lowest cooling performance could be observed at the time point 0.5 T, when the LE of the blade turned towards the center of the vane passage. Compared with that of the time point 0.25 T, it is clear that the values decreased from 0.382 to 0.314 at −0.40 Cax of the mid-span, while from 0.585 to 0.556 at the 0.20 Cax of the mid-span at the time point 0.5 T.
- (2)
- At the area where the local heat flux was negative, the surface temperature of the blade was higher than that of the coolant. Therefore, the coolant directly cooled the blade surface. For the uncoated blade, this phenomenon is beneficial for reducing the surface temperature of the blade. For the coated blade, the additional TBCs may be harmful to heat dissipation from the metal to the mainstream, and thus harmful for the increment of overall cooling performance in the coated blade.
- (3)
- Relatively higher overall cooling effectiveness increment due to the coating could be observed compared to locations with lower cooling performance. Compared with that of the initial time points, it is clear that the values increased from 0.126 to 0.212 close to the origin point of the mid-span at the time point 0.50 T. Consequently, the additional TBCs decreased the surface temperature difference, which is beneficial for controlling thermal stress under the hot streak inlet condition.
Author Contributions
Funding
Institutional Review Board Statement
Informed Consent Statement
Data Availability Statement
Conflicts of Interest
Nomenclature
| Cax | axial chord [mm] |
| x/Cax | relative chord length |
| p | pressure [Pa] |
| inlet temperature [K] | |
| Tc | temperature of the cooling gas in the cooling channel [K] |
| TTBC | metal surface temperature with TBC [K] |
| Tw | vane local wall temperature [K] |
| T∞ | inlet temperature of mainstream [K] |
| T′ | surface temperature outside the coating [K] |
| T | the stator period [s] |
| uniform turbulence intensity | |
| Greek Symbols | |
| φ | overall cooling effectiveness |
| φTBC | overall cooling effectiveness of the coated blade |
| Δφ | overall cooling effectiveness increment due to coating |
| TBC effectiveness | |
| Abbreviations | |
| NGV | nozzle stator vane |
| TBC | thermal barrier coating |
| HS | hot streak |
| CHT | conjugate heat transfer |
| LE | leading edge |
| PS | pressure side |
| SS | suction side |
References
- Huh, M.; Han, J.C. Recent studies in turbine blade internal cooling. Heat Transf. Res. 2010, 41, 803–828. [Google Scholar] [CrossRef]
- Zhang, J.; Zhu, X.D.; Huang, Y.; Wang, C.H. Investigation on film cooling performance from a row of round-to-slot holes on flat plate. Int. J. Therm. Sci. 2017, 118, 207–225. [Google Scholar] [CrossRef]
- Arnome, A.; Bonaiuti, D.; Forcacci, A. Parametric optimization of a high-lift turbine vane. Turbo Expo Power Land Sea Air 2004, 41707, 1469–1479. [Google Scholar]
- Qureshi, I.; Smith, A.D.; Povey, T. HP vane aerodynamics and heat transfer in the presence of aggressive inlet swirl. J. Turbomach. 2013, 135, 021040. [Google Scholar] [CrossRef]
- Padture, N.P.; Gell, M.; Jordan, E.H. Thermal barrier coatings for gas-turbine engine applications. Science 2002, 296, 280–284. [Google Scholar] [CrossRef]
- Bohn, D.E.; Tümmers, C. Numerical 3-D Conjugate flow and heat transfer investigation of a transonic convection-cooled thermal barrier coated turbine guide vane with reduced cooling fluid mass flow. Turbo Expo Power Land Sea Air 2003, 36886, 279–286. [Google Scholar]
- Shi, L.; Sun, Z.Y.; Lu, Y.F. The Combined influences of film cooling and thermal barrier coatings on the cooling performances of a film and internal cooled vane. Coatings 2020, 10, 861. [Google Scholar] [CrossRef]
- Wang, Z.; Liu, Z.; Feng, Z. Influence of mainstream turbulence intensity on heat transfer characteristics of a HP turbine stage with inlet hot streak. Turbo Expo Power Land Sea Air 2015, 56727, V05BT13A010. [Google Scholar]
- Wang, Z.; Wang, D.; Wang, Z.; Feng, Z. Heat transfer analyses of film-cooled HP turbine vane considering effects of swirl and hot streak. Appl. Therm. Eng. 2018, 142, 815–829. [Google Scholar] [CrossRef]
- Griffini, D.; Insinna, M.; Salvadori, S.; Martelli, F. Clocking effects of inlet nonuniformities in a fully cooled high-pressure vane: A conjugate heat transfer analysis. J. Turbomach. 2015, 138, 021006. [Google Scholar] [CrossRef]
- Shang, T.; Epstein, A.H. Analysis of hot streak effects on turbine rotor heat load. J. Turbomach. 1997, 119, 544–553. [Google Scholar] [CrossRef]
- Shi, L.; Huang, H.; Lu, Y.F. The combined influences of hot streak and swirl on the cooling performances of C3X stator vane with or without TBCs. Coatings 2021, 11, 688. [Google Scholar] [CrossRef]
- Jenny, P.; Lenherr, C.; Abhari, R.S.; Kalfas, A. Effect of hot streak migration on unsteady blade row interaction in an axial turbine. J. Turbomach. 2012, 134, 051020. [Google Scholar] [CrossRef]
- Zhou, K.; Zhou, C. Transport mechanism of hot streaks and wakes in a turbine cascade. J. Propul. Power 2016, 32, 1045–1054. [Google Scholar] [CrossRef]
- Zhao, Q.J.; Wang, H.S.; Tang, F.; Zhao, X.; Xu, J. Investigation of influencing factors of hot streaks migration in high pressure stage of a vaneless counter-rotating turbine. Sci. China Ser. E 2008, 51, 127–144. [Google Scholar] [CrossRef]
- Qureshi, I.; Smith, A.D.; Chana, K.S.; Povey, T. Effect of temperature nonuniformity on heat transfer in an unshrouded transonic hp turbine: An experimental and computational investigation. Turbo Expo Power Land Sea Air 2010, 43994, 255–270. [Google Scholar]
- Ong, J.; Miller, R.J. Hot streak and vane coolant migration in a downstream rotor. Turbo Expo Power Land Sea Air 2008, 43161, 1749–1760. [Google Scholar]
- Basol, A.M.; Jenny, P.; Ibrahim, M.; Kalfas, A.I.; Abhari, R.S. Hot streak migration in a turbine stage: Integrated design to improve aerothermal performance. J. Eng. Gas Turb. Power 2011, 133, 061901. [Google Scholar] [CrossRef]
- Hylton, L.D.; Mihelc, M.S.; Turner, E.R.; Nealy, D.A.; York, R.E. Analytical and Experimental Evaluation of the Heat Transfer Distribution over the Surfaces of Turbine Vanes; NASA Technical Report, NASA-CR-168015; NASA Lewis Research Center: Cleveland, OH, USA, 1982.
- Li, Y.; Su, X.; Yuan, X. The effect of mismatching between combustor and HP vanes on the aerodynamics and heat load in a 1-1/2 stages turbine. Aerosp. Sci. Technol. 2019, 86, 78–92. [Google Scholar] [CrossRef]
- Hylton, L.D.; Nirmalan, V.; Sultanian, B.K.; Kauffman, R.M. The Effects of Leading Edge and Downstream Film Cooling on Turbine Vane Heat Transfer; NASA Technical Report, NASA-CR-182133; NASA: Washington, DC, USA, 1988.
- Camci, C. Experimental and Theoretical Study of Film Cooling on a Gas Turbine Blade. Ph.D. Thesis, Von Karman Institute for Fluid Mechanics, Katholieke Universiteit Leuven, Leuven, Belgium, 1985. [Google Scholar]
- Prasert, P.; Soemsak, Y.; Suwin, S. Investigation of cooling performances of a non-film-cooled turbine vane coated with a thermal barrier coating using conjugate heat transfer. Energies 2018, 11, 1000. [Google Scholar]
- Liu, J.H.; Liu, Y.B.; He, X.; Liu, L. Study on TBCs insulation characteristics of a turbine blade under serving conditions. Case Stud. Therm. Eng. 2016, 8, 250–259. [Google Scholar] [CrossRef] [Green Version]
- Ke, Z.; Wang, J.H. Conjugate heat transfer simulations of pulsed film cooling on an entire turbine vane. Appl. Therm. Eng. 2016, 109, 600–609. [Google Scholar] [CrossRef]
- Camci, C.; Arts, T. An Experimetal convective heat transfer investigation around a film cooled gas turbine Blade. J. Turbomach. 1990, 112, 497–503. [Google Scholar] [CrossRef]

















| Parameters | C3X Vane | VKI Blade |
|---|---|---|
| Axial chord length (mm) | 78.16 | 80 |
| Blade height (mm) | 77.22 | 100 |
| Stagger angle (degree) | 59.89 | 38.5 |
| Inlet flow anger (degree) | 46.35 | 30 |
| Vane | Cooling Channels | Diameter (mm) |
|---|---|---|
| 1–7 | 6.30 | |
| C3X | 8–9 | 3.10 |
| 10 | 1.98 | |
| VKI | Leading-edge | 4.5 |
| Suction-side | 6 | |
| Pressure-side | 6 |
| Material | Parameters | Value |
|---|---|---|
| Gas | Density (kg∙m−3) | Ideal gas assumption |
| Specific heat capacity (J∙kg−1∙K−1) | 938 + 0.196 T | |
| Thermal conductivity (W∙m−1∙K−1) | 0.0102 + 5.8 × 10−5 T | |
| SUB | Density (kg∙m−3) | 8055 |
| Specific heat capacity (J∙kg−1∙K−1) | 438.5 + 0.177 T | |
| Thermal conductivity(W∙m−1∙K−1) | 11.2 + 0.0144 T | |
| TBCs | Density (kg∙m−3) | 5500 |
| Specific heat capacity (J∙kg−1∙K−1) | 418 | |
| Thermal conductivity (W∙m−1∙K−1) | 1.04 |
Publisher’s Note: MDPI stays neutral with regard to jurisdictional claims in published maps and institutional affiliations. |
© 2022 by the authors. Licensee MDPI, Basel, Switzerland. This article is an open access article distributed under the terms and conditions of the Creative Commons Attribution (CC BY) license (https://creativecommons.org/licenses/by/4.0/).
Share and Cite
Shi, L.; Lu, Y.; Huang, H. Effect of the Hot Streak on the Overall Cooling Performance of a Coated Rotor Blade. Energies 2022, 15, 1887. https://doi.org/10.3390/en15051887
Shi L, Lu Y, Huang H. Effect of the Hot Streak on the Overall Cooling Performance of a Coated Rotor Blade. Energies. 2022; 15(5):1887. https://doi.org/10.3390/en15051887
Chicago/Turabian StyleShi, Li, Yuanfeng Lu, and Hanze Huang. 2022. "Effect of the Hot Streak on the Overall Cooling Performance of a Coated Rotor Blade" Energies 15, no. 5: 1887. https://doi.org/10.3390/en15051887
APA StyleShi, L., Lu, Y., & Huang, H. (2022). Effect of the Hot Streak on the Overall Cooling Performance of a Coated Rotor Blade. Energies, 15(5), 1887. https://doi.org/10.3390/en15051887
