Stable Crack Propagation Model of Rock Based on Crack Strain
Abstract
:1. Introduction
2. Constitutive Model of Rock Crack Stable Propagation Based on Axial Crack Strain
2.1. Evolution Characteristics of Prepeak Crack in the Rock
2.2. Constitutive Model of Stable Crack Propagation
2.3. Model Validation
3. Evolution Model of Crack Geometric Parameters in the Process of Stable Crack Propagation in Rock
3.1. Mechanical Model of Structures with Cracks
3.2. Evolution Equation of Crack Geometric Parameters
3.3. Evolution of Wing Crack Length in the Stage of Stable Crack Propagation
4. Conclusions
- (1)
- The prepeak differential stress–axial/volume crack strain curve of granite can be roughly divided into three stages: linear elastic stage (crack strain is approximately 0), stable crack growth stage (nonlinear change with slow crack strain growth), and unstable crack growth stage (nonlinear change with fast crack strain growth).
- (2)
- The exponential constitutive relation of rock crack stable propagation derived from the matrix–crack composite model can thoroughly describe the nonlinear evolution characteristics of crack strain in the stage of stable crack propagation.
- (3)
- Based on the principle that the axial crack strain of the rock sample and its longitudinal section are equal, the equation of the change of crack geometric parameters in the process of rock crack stable propagation can well reflect the evolution law of wing crack length.
- (4)
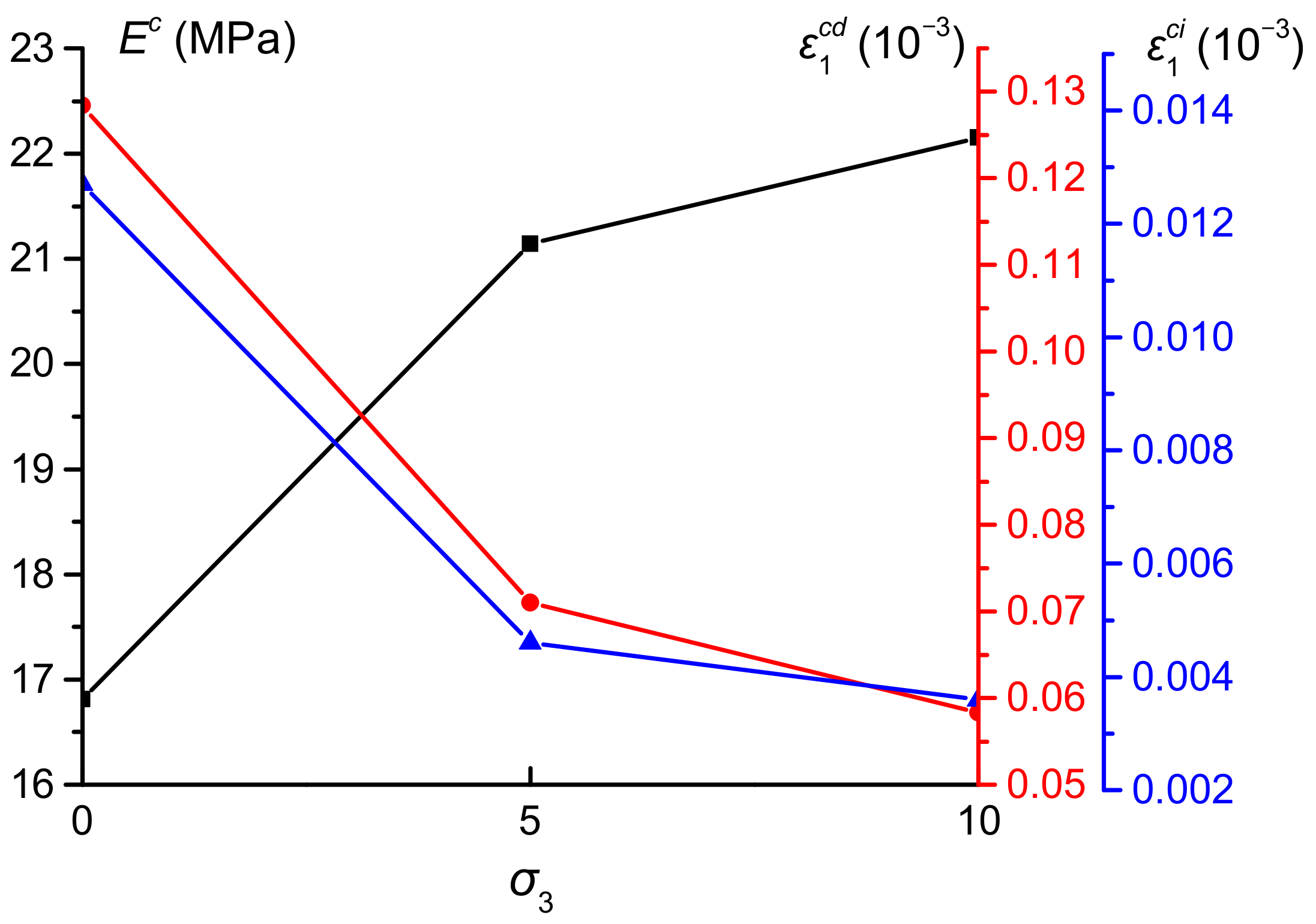
- The crack equivalent elastic modulus increases with the increase in confining pressure, whereas the damage axial crack strain and the instantaneous crack initiation axial crack strain show a decreasing trend. The initial crack inclination angle is 45°, the elastomer width is small, the initial crack length is large, and the wing crack is easy to expand.
- (5)
- The stable crack propagation model of rock based on axial crack strain supplements the neglect of the stable crack growth stage in previous studies and can semiquantitatively describe the evolution law of crack strain and wing crack length with fewer parameters. By embedding the proposed model into numerical software, more extensive studies on crack stable propagation can be carried out in the future.
Author Contributions
Funding
Institutional Review Board Statement
Informed Consent Statement
Data Availability Statement
Conflicts of Interest
References
- He, M.C.; Miao, J.L.; Feng, J.L. Rock burst process of limestone and its acoustic emission characteristics under true-triaxial unloading conditions. Int. J. Rock Mech. Min. Sci. 2010, 47, 286–298. [Google Scholar] [CrossRef]
- Jiang, Q.; Feng, X.T.; Fan, Y.L.; Fan, Q.X.; Liu, G.F.; Pei, S.F.; Duan, S.Q. In situ experimental investigation of basalt spalling in a large underground powerhouse cavern. Tunn. Undergr. Space Technol. 2017, 68, 82–94. [Google Scholar] [CrossRef]
- Shreedharan, S.; Kulatilake, P. Discontinuum-equivalent continuum analysis of the stability of tunnels in a deep coal mine using the distinct element method. Rock Mech. Rock Eng. 2016, 49, 1903–1922. [Google Scholar] [CrossRef]
- Lai, Y.; Zhang, Y.X. Study on macro-and meso-damage composite model of rock and crack propagation rule. Chin. J. Rock Mech. Eng. 2008, 27, 534–542. [Google Scholar] [CrossRef]
- Zhang, H.J.; Zhang, X.H.; Zhou, H.B. Research on acoustic emission characteristics and constitutive model of rock damage evolution with different sizes. Adv. Civ. Eng. 2020, 2020, 6660595. [Google Scholar] [CrossRef]
- Dou, L.T.; Yang, K.; Chi, X.L. Fracture behavior and acoustic emission characteristics of sandstone samples with inclined precracks. Int. J. Coal Sci. Technol. 2021, 8, 77–87. [Google Scholar] [CrossRef]
- Li, H.Q.; Wong, L. Influence of flaw inclination angle and loading condition on crack initiation and propagation. Int. J. Solids Struct. 2012, 49, 2482–2499. [Google Scholar] [CrossRef] [Green Version]
- David, E.C.; Brantut, N.; Schubnel, A.; Zimmerman, R.W. Sliding crack model for nonlinearity and hysteresis in the uniaxial stress–strain curve of rock. Int. J. Rock Mech. Min. Sci. 2012, 52, 9–17. [Google Scholar] [CrossRef]
- Lajtai, E.Z.; Carter, B.J.; Ayari, M.L. Criteria for brittle fracture in compression. Eng. Fract. Mech. 1990, 37, 59–74. [Google Scholar] [CrossRef]
- Wang, E.Z.; Shrive, N.G. On the griffith criteria for brittle fracture in compression. Eng. Fract. Mech. 1993, 46, 15–26. [Google Scholar] [CrossRef]
- Zhao, C.; Zhou, Y.M.; Zhang, Q.Z.; Zhao, C.F.; Matsuda, H. Influence of inclination angles and confining pressures on mechanical behavior of rock materials containing a preexisting crack. Int. J. Numer. Anal. Methods Geomech. 2020, 44, 353–370. [Google Scholar] [CrossRef]
- Li, Y.P.; Chen, L.Z.; Wang, Y.H. Experimental research on pre-cracked marble under compression. Int. J. Solids Struct. 2005, 42, 2505–2516. [Google Scholar] [CrossRef]
- Yang, S.Q.; Huang, Y.H.; Jing, H.W.; Liu, X.R. Discrete element modeling on fracture coalescence behavior of red sandstone containing two unparallel fissures under uniaxial compression. Eng. Geol. 2014, 178, 28–48. [Google Scholar] [CrossRef]
- Dong, Q.Q.; Ma, G.W.; Wang, Q.S. Different damage parameters on failure properties with non-straight marble under uniaxial compression. Electron. J. Geotech. Eng. 2015, 20, 6151–6167. [Google Scholar]
- Maligno, A.R.; Rajaratnam, S.; Leen, S.B.; Williams, E.J. A three-dimensional (3D) numerical study of fatigue crack growth using remeshing techniques. Eng. Fract. Mech. 2010, 77, 94–111. [Google Scholar] [CrossRef]
- Tang, C.A.; Liu, H.; Lee, P.K.K.; Tsui, Y.; Tham, L. Numerical studies of the influence of microstructure on rock failure in uniaxial compression—Part I: Effect of heterogeneity. Int. J. Rock Mech. Min. Sci. 2000, 37, 555–569. [Google Scholar] [CrossRef]
- Zuo, J.P.; Wang, X.S.; Mao, D.Q. SEM in-situ study on the effect of offset-notch on basalt cracking behavior under three-point bending load. Eng. Fract. Mech. 2014, 131, 504–513. [Google Scholar] [CrossRef]
- Lee, H.; Jeon, S. An experimental and numerical study of fracture coalescence in pre-cracked specimens under uniaxial compression. Int. J. Solids Struct. 2011, 48, 979–999. [Google Scholar] [CrossRef] [Green Version]
- Martin, C.D.; Chandler, N.A. The progressive fracture of Lac du Bonnet granite. Int. J. Rock Mech. Min. Sci. 1994, 31, 643–659. [Google Scholar] [CrossRef]
- Martin, C.D. Seventeenth Canadian Geotechnical Colloquium: The effect of cohesion loss and stress path on brittle rock strength. Can. Geotech. J. 1997, 34, 698–725. [Google Scholar] [CrossRef]
- Cai, M.; Kaiser, P.K.; Tasaka, Y.; Maejima, T.; Morioka, H.; Minami, M. Generalized crack initiation and crack damage stress thresholds of brittle rock masses near underground excavations. Int. J. Rock Mech. Min. Sci. 2004, 41, 833–847. [Google Scholar] [CrossRef]
- Liu, H.H.; Rutqvist, J.; Berryman, J.G. On the relationship between stress and elastic strain for porous and fractured rock. Int. J. Rock Mech. Min. Sci. 2009, 46, 289–296. [Google Scholar] [CrossRef] [Green Version]
- Zhao, Y.; Liu, H.H. An elastic stress–strain relationship for porous rock under anisotropic stress conditions. Rock Mech. Rock Eng. 2012, 45, 389–399. [Google Scholar] [CrossRef]
- Li, X.Z.; Qi, C.Z.; Shao, Z.S. Study on strength weakening model induced by microcrack growth in rocks. Chin. J. Undergr. Space Eng 2020, 16, 30–38. Available online: https://kns.cnki.net/kcms/detail/detail.aspx?dbcode=CJFD&dbname=CJFDLAST2020&filename=BASE202001004&uniplatform=NZKPT&v=CGfGiiZyuN3E9HVQCoLLkWurJ5Ds26eroTznKZ33nHyUjzRD2-_LEXQCjrASHf4j (accessed on 8 October 2021).
- Zhang, C.; Chen, Q.N.; Yang, Q.J.; Lei, Y. Whole process simulation method of brittle rocks deformation and failure considering initial voids closure and its influence. J. Chin. Coal Soc. 2020, 45, 1044–1052. [Google Scholar] [CrossRef]
- Zuo, J.P.; Chen, Y.; Song, H.Q.; Xu, W. Evolution of pre-peak axial crack strain and nonlinear model for coal-rock combined body. Chin. J. Geotech. Eng. 2017, 39, 1609–1615. [Google Scholar] [CrossRef]
- Cai, M. Practical estimates of tensile strength and Hoek–Brown strength parameter mi of brittle rocks. Rock Mech. Rock Eng. 2010, 43, 167–184. [Google Scholar] [CrossRef]
- Zuo, J.P.; Chen, Y.; Liu, X.L. Crack evolution behavior of rocks under confining pressures and its propagation model before peak stress. J. Cent. South Univ. 2019, 26, 3045–3056. [Google Scholar] [CrossRef]
- Liu, J.P.; Xu, S.D.; Li, Y.H. Analysis of rock mass stability according to power-law attenuation characteristics of acoustic emission and microseismic activities. Tunn. Undergr. Space Technol. 2019, 83, 303–312. [Google Scholar] [CrossRef]
- Zhao, X.G.; Cai, M.; Wang, J.; Ma, L.K. Damage stress and acoustic emission characteristics of the Beishan granite. Int. J. Rock Mech. Min. Sci. 2013, 64, 258–269. [Google Scholar] [CrossRef]
- Liang, D.X.; Zhang, N.; Rong, H.Y. An Experimental and Numerical Study on Acoustic Emission in the Process of Rock Damage at Different Stress Paths. Geofluids 2021, 2021, 1–13. [Google Scholar] [CrossRef]
- Hencky, H. The law of elasticity for isotropic and quasi-isotropic substances by finite deformations. J. Rheol. 1931, 2, 169–176. [Google Scholar] [CrossRef]
- Hoek, E.; Bieniawski, Z.T. Brittle fracture propagation in rock under compression. Int. J. Fract. 1965, 1, 137–155. [Google Scholar] [CrossRef]
- Wong, R.H.C.; Tang, C.A.; Chau, K.T.; Lin, P. Splitting failure in brittle rocks containing pre-existing flaws under uniaxial compression. Eng. Fract. Mech. 2002, 69, 1853–1871. [Google Scholar] [CrossRef]
- Horii, H.; Nemat-Nasser, S. Compression-induced microcrack growth in brittle solids: Axial splitting and shear failure. J. Geophys. Res. 1985, 90, 3105–3125. [Google Scholar] [CrossRef]
- Ashby, M.F.; Hallam, S.D. The failure of brittle solids containing small cracks under compressive stress states. Acta Mater. 1986, 34, 497–510. [Google Scholar] [CrossRef]
- Kemeny, J.M.; Cook, N.G.W. Crack models for the failure of rocks in compression. Fract. Mech. 1986, 7, 1–13. Available online: https://escholarship.org/uc/item/13r6q6vs (accessed on 13 October 2020).










| σ3/MPa | E/GPa | μ | σcd/MPa | /10−3 | Ec/MPa | |
|---|---|---|---|---|---|---|
| Test Value | Theoretical Value | |||||
| 0 | 64.05 | 0.15 | 103.70 | 0.1281 | 0.1284 | 16.81 |
| 5 | 75.69 | 0.17 | 161.27 | 0.0709 | 0.0710 | 21.14 |
| 10 | 77.98 | 0.19 | 174.47 | 0.0580 | 0.0583 | 22.15 |
Publisher’s Note: MDPI stays neutral with regard to jurisdictional claims in published maps and institutional affiliations. |
© 2022 by the authors. Licensee MDPI, Basel, Switzerland. This article is an open access article distributed under the terms and conditions of the Creative Commons Attribution (CC BY) license (https://creativecommons.org/licenses/by/4.0/).
Share and Cite
Huang, X.; Shi, C.; Ruan, H.; Zhang, Y.; Zhao, W. Stable Crack Propagation Model of Rock Based on Crack Strain. Energies 2022, 15, 1885. https://doi.org/10.3390/en15051885
Huang X, Shi C, Ruan H, Zhang Y, Zhao W. Stable Crack Propagation Model of Rock Based on Crack Strain. Energies. 2022; 15(5):1885. https://doi.org/10.3390/en15051885
Chicago/Turabian StyleHuang, Xiao, Chong Shi, Huaining Ruan, Yiping Zhang, and Wei Zhao. 2022. "Stable Crack Propagation Model of Rock Based on Crack Strain" Energies 15, no. 5: 1885. https://doi.org/10.3390/en15051885
APA StyleHuang, X., Shi, C., Ruan, H., Zhang, Y., & Zhao, W. (2022). Stable Crack Propagation Model of Rock Based on Crack Strain. Energies, 15(5), 1885. https://doi.org/10.3390/en15051885
