An Experimental and Computational Investigation of Tailor-Developed Combustion and Air-Handling System Concepts in a Heavy-Duty Gasoline Compression Ignition Engine
Abstract
:1. Introduction
2. Methodology
2.1. Combustion Strategy Overview
2.2. Analysis-Led Design Approach
2.3. Experimental Setup
2.3.1. Engine and Test Cell Instrumentation
2.3.2. Test Fuels
2.4. Computational Models
2.4.1. One-Dimensional Engine System Model
2.4.2. Closed-Cycle 3D CFD Model
3. Results and Discussion
3.1. Gen1 GCI Engine Description
3.2. Gen1 GCI Performance Overview
3.3. Validation of 1D and 3D Computational Models
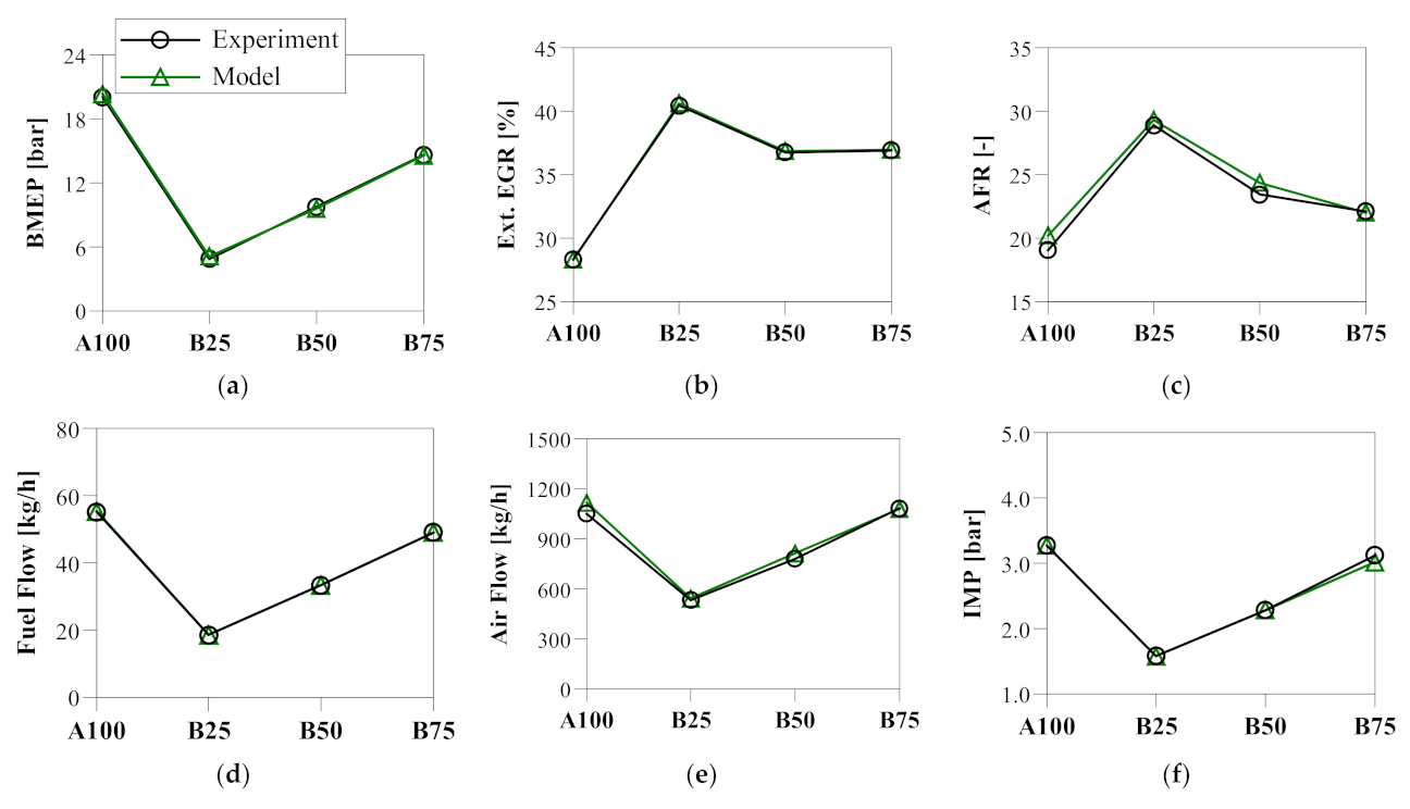
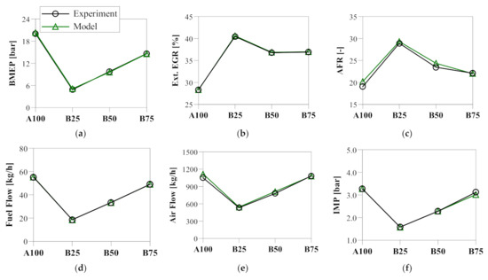
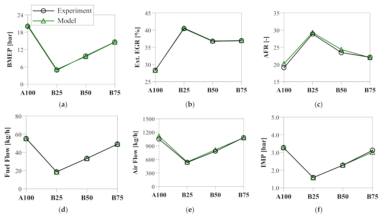
3.3.1. One-Dimensional Engine System Model Validation
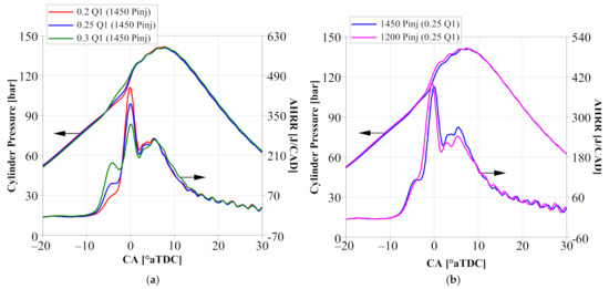
3.3.2. Three-Dimensional CFD Combustion Model Validation
3.4. Gen1 GCI Performance Evaluation at B75
3.5. Gen1 Engine Performance Evaluation at B50
3.5.1. Diesel vs. Gasoline
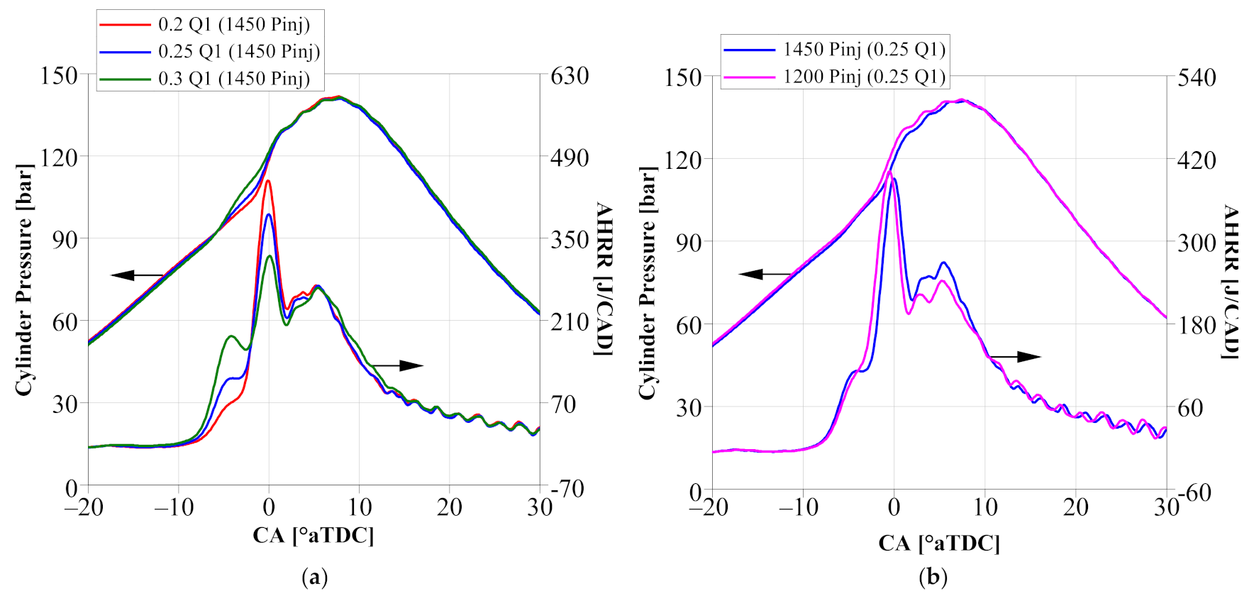
3.5.2. Impact of Fuel Injection Strategy
3.6. Gen2 Air-Handling Analysis
4. Conclusions
- Utilizing the PPCI–diffusion GCI combustion strategy paired with customized combustion and air-handling concepts, Gen1 GCI delivered 85–95% lower smoke and 2–3% better ISFCg-D compared to the baseline diesel combustion at a 1 g/kWh engine-out NOx.
- Three-dimensional CFD analysis revealed that the customized piston bowl geometry and fuel spray pattern combined with a tailored split fuel injection strategy enhanced the in-cylinder air utilization, thereby producing a faster and cleaner diffusion combustion process and leading to better fuel efficiency. Moreover, increasing the air flow and enhancing the charge cooling were shown to have a pronounced impact on furthering the air utilization benefit.
- Gen1 engine combustion and air-handling concepts can be well harnessed to improve smoke and fuel efficiency for diesel combustion. Compared to the baseline, Gen1 diesel combustion produced 69% lower smoke and 1.8% better ISFCg-D at B50. When implementing GCI on the Gen1 engine, the smoke reduction was extended to 90%, while the ISFCg-D benefit was enhanced to 2.8% through the tailor-designed PPCI–diffusion combustion process.
- By upgrading the off-the-shelf, Gen1 air-handling system with a prototype, high-efficiency, single-stage VGT along with a less-restrictive and high-cooling-capacity high-pressure EGR loop, 1D system level analysis showed that gas exchange performance was markedly improved, with PMEP reduced 43–54% across the four operating points when imposing the Gen1 engine’s in-cylinder combustion process and charge thermal boundary conditions. Combining the enhanced PMEP results with the gross indicated experimental data from Gen1 GCI, ISFCn-D and BSFC-D were predicted to be improved by 2–4%, thereby demonstrating the performance enhancement potential of refining the air-handling system.
5. Future Work
Author Contributions
Funding
Data Availability Statement
Acknowledgments
Conflicts of Interest
Nomenclature
| °aTDC | Degree after top dead center |
| BMEP | Brake specific mean pressure |
| BSFC | Brake specific fuel consumption |
| BSNOx | Brake specific NOx emissions |
| CA | Crank angle |
| CA10–90 | Degree between crank angle of 10% heat released and crank angle of 90% heat released |
| CA50 | Crank angle of 50% heat released |
| CAD | Crank angle degree |
| CO | Carbon monoxide |
| CO2 | Carbon dioxide |
| EGR | Exhaust gas recirculation |
| ISFC | Indicated specific fuel consumption |
| Lambda | Air–fuel equivalence ratio |
| NOx | Nitrogen oxides |
| Pinj | Fuel injection pressure |
| SOI1 | Start of the first fuel injection |
| SOI2 | Start of the second fuel injection |
References
- California Air Resources Board (CARB) Heavy-Duty Low NOx Program. Available online: https://ww2.arb.ca.gov/our-work/programs/heavy-duty-low-nox (accessed on 28 December 2021).
- Robertson, W. California Air Resources Board Heavy-Duty Truck and Engine Plans. In Proceedings of the SAE 2017 Commercial Vehicle Congress, Rosemont, IL, USA, 18–20 September 2017. [Google Scholar]
- Dieselnet United States Heavy-Duty Vehicles GHG Emissions & Fuel Economy Standards. Available online: https://dieselnet.com/standards/us/fe_hd.php (accessed on 28 December 2021).
- Dempsey, A.; Curran, S.; Wagner, R. A Perspective on the Range of Gasoline Compression Ignition Combustion Strategies for High Engine Efficiency and Low NOx and Soot Emissions: Effects of In-Cylinder Fuel Stratification. Int. J. Engine Res. 2016, 17, 897–917. [Google Scholar] [CrossRef]
- Dec, J.; Yang, Y.; Dronniou, N. Boosted HCCI—Controlling Pressure-Rise Rates for Performance Improvements using Partial Fuel Stratification with Conventional Gasoline. SAE Int. J. Engines 2011, 4, 1169–1189. [Google Scholar] [CrossRef]
- Yun, H. A High Specific Output Gasoline Low-Temperature Combustion Engine. In Proceedings of the US DOE Vehicle Technologies Office Annual Merit Review Meeting, Arlington, VA, USA, 21 June 2018. [Google Scholar]
- Nakai, E.; Goto, T.; Ezumi, K.; Tsumura, Y.; Endou, K.; Kanda, Y.; Urushihara, T.; Sueoka, M.; Hitomi, M. MAZDA SKYACTIV-X 2.0L Gasoline Engine. In Proceedings of the 28th Aachen Colloquium Automobile and Engine Technology, Aachen, Germany, 10–12 October 2019. [Google Scholar]
- Manofsky, L.; Vavra, J.; Assanis, D.; Babajimopoulos, A. Bridging the Gap between HCCI and SI: Spark-Assisted Compression Ignition; SAE Technical Paper 2011-01-1179; SAE International: Detroit, MI, USA, 2011. [Google Scholar] [CrossRef]
- Kalghatgi, G.; Risberg, P.; Ångström, H. Partially Pre-Mixed Auto-Ignition of Gasoline to Attain Low Smoke and Low NOx at High Load in a Compression Ignition Engine and Comparison with a Diesel Fuel; SAE Technical Paper 2007-01-0006; SAE International: Detroit, MI, USA, 2007. [Google Scholar] [CrossRef]
- Kalghatgi, G.; Hildingsson, L.; Johansson, B. Low NOx and Low Smoke Operation of a Diesel Engine Using Gasoline-Like Fuels. J. Eng. Gas Turbines Power 2010, 132, 092803. [Google Scholar] [CrossRef]
- Manente, V.; Zander, C.; Johansson, B.; Tunestal, P.; Cannella, W. An Advanced Internal Combustion Engine Concept for Low Emissions and High Efficiency from Idle to Max Load Using Gasoline Partially Premixed Combustion; SAE Technical Paper 2010-01-2198; SAE International: Detroit, MI, USA, 2010. [Google Scholar] [CrossRef]
- Dempsey, A.; Reitz, R. Computational Optimization of a Heavy-Duty Compression Ignition Engine Fueled with Conventional Gasoline. SAE Int. J. Engines 2011, 4, 338–359. [Google Scholar] [CrossRef]
- Borgqvist, P.; Tunestal, P.; Johansson, B. Comparison of Negative Valve Over-lap (NVO) and Rebreathing Valve Strategies on a Gasoline PPC Engine at Low Load and Idle Operating Conditions. SAE Int. J. Engines 2013, 6, 366–378. [Google Scholar] [CrossRef]
- Desantes, J.; Payri, R.; Garcia, A.; Monsalve Serrano, J. Evaluation of Emissions and Performances from Partially Premixed Compression Ignition Combustion Using Gasoline and Spark Assistance; SAE Technical Paper 2013-01-1664; SAE International: Detroit, MI, USA, 2013. [Google Scholar] [CrossRef]
- Zhao, L.; Zhang, Y.; Pei, Y.; Zhang, A.; Ameen, M. CFD-Guided Evaluation of Spark-Assisted Gasoline Compression Ignition for Cold Idle Operation. Sustainability 2021, 13, 13096. [Google Scholar] [CrossRef]
- Paz, J.; Staaden, D.; Kokjohn, S. Gasoline Compression Ignition Operation of a Heavy-Duty Engine at High Load; SAE Technical Paper 2018-01-0898; SAE International: Detroit, MI, USA, 2018. [Google Scholar] [CrossRef]
- Zhang, Y.; Sommers, S.; Pei, Y.; Kumar, P.; Traver, M.; Cleary, D. Mixing-Controlled Combustion of Conventional and Higher Reactivity Gasolines in a Multi-Cylinder Heavy-Duty Compression Ignition Engine; SAE Technical Paper 2017-01-0696; SAE International: Detroit, MI, USA, 2017. [Google Scholar] [CrossRef]
- Zhang, Y.; Voice, A.; Pei, Y.; Traver, M.; Cleary, D. A Computational Investigation of Fuel Chemical and Physical Properties Effects on Gasoline Compression Ignition in a Heavy-Duty Diesel Engine. J. Energy Resour. Technol. 2018, 140, 102202. [Google Scholar] [CrossRef]
- Pei, Y.; Zhang, Y.; Kumar, P.; Traver, M.; Clear, D.; Ameen, M.; Som, S.; Probst, D.; Burton, T.; Pomraning, E.; et al. CFD-Guided Heavy Duty Mixing-Controlled Combustion System Optimization with a Gasoline-Like Fuel. SAE Int. J. Commer. Veh. 2017, 10, 532–546. [Google Scholar] [CrossRef]
- Wang, B.; Pamminger, M.; Vojtech, R.; Wallner, T. Impact of injection strategies on combustion characteristics, efficiency and emissions of gasoline compression ignition operation in a heavy-duty multi-cylinder engine. Int. J. Engine Res. 2018, 21, 1426–1440. [Google Scholar] [CrossRef]
- Sellnau, M.; Foster, M.; Moore, W.; Sinnamon, J.; Hoyer, K.; Klemm, W. Pathway to 50% Brake Thermal Efficiency Using Gasoline Direct Injection Compression Ignition. SAE Int. J. Adv. Curr. Pract. Mobil. 2019, 1, 1581–1603. [Google Scholar] [CrossRef]
- Sellnau, M.; Cho, K.; Zhang, Y.; Cleary, D. Pathway to 50% Brake Thermal Efficiency Using Gasoline Direct Injection Compression Ignition (GDCI). In Proceedings of the 28th Aachen Colloquium Automobile and Engine Technology, Aachen, Germany, 7–9 October 2019. [Google Scholar]
- Zhang, Y.; Cho, K.; Sellnau, M. Investigation on Combining Partially Premixed Compression Ignition and Diffusion Combustion for Gasoline Compression Ignition—Part 2: Compression Ratio and Piston Bowl Geometry Effects. SAE J. STEEP 2021, 2, 59–78. [Google Scholar] [CrossRef]
- Zhang, Y.; Sellnau, M. A Computational Investigation of PPCI-Diffusion Combustion Strategy at Full Load in a Light-Duty GCI Engine. SAE Int. J. Adv. Curr. Prac. Mobil. 2021, 3, 1757–1775. [Google Scholar] [CrossRef]
- Cung, K.; Ciatti, S. A Study of Injection Strategy to Achieve High Load Points for Gasoline Compression Ignition (GCI) Operation. In Proceedings of the ASME Internal Combustion Engine Division Fall Technical Conference, Seattle, WA, USA, 15–18 October 2017. [Google Scholar] [CrossRef]
- Zhang, Y.; Kumar, P.; Pei, Y.; Traver, M.; Cleary, D. An Experimental and Computational Investigation of Gasoline Compression Ignition Using Conventional and Higher Reactivity Gasolines in a Multi-Cylinder Heavy-Duty Diesel Engine; SAE Technical Paper 2018-01-0226; SAE International: Detroit, MI, USA, 2018. [Google Scholar] [CrossRef]
- Inagaki, K.; Mizuta, J.; Fuyuto, T.; Hashizume, T.; Ito, H.; Kuzuyanna, H.; Kawae, T.; Kono, M. Low Emissions and High-Efficiency Diesel Combustion Using Highly Dispersed Spray with Restricted In-Cylinder Swirl and Squish Flows; SAE Paper 2011-01-1393; SAE International: Detroit, MI, USA, 2011. [Google Scholar] [CrossRef]
- Hanson, R.; Curran, S.; Wagner, R.; Kokjohn, S.; Splitter, D.; Reitz, R. Piston Bowl Optimization for RCCI Combustion in a Light-Duty Multi-Cylinder Engine; SAE Technical Paper 2012-01-0380; SAE International: Detroit, MI, USA, 2012. [Google Scholar] [CrossRef]
- Dempsey, A.; Walker, N.; Reitz, R. Effect of Piston Bowl Geometry on Dual Fuel Reactivity Controlled Compression Ignition (RCCI) in a Light-Duty Engine Operated with Gasoline/Diesel and Methanol/Diesel; SAE Technical Paper 2012-01-0380; SAE International: Detroit, MI, USA, 2012. [Google Scholar] [CrossRef]
- Styron, J.; Baldwin, B.; Fulton, B.; Ives, D.; Ramanathan, S. Ford 2011 6.7L Power Stroke ® Diesel Engine Combustion System Development; SAE Technical Paper 2011-01-0415; SAE International: Detroit, MI, USA, 2011. [Google Scholar] [CrossRef]
- Kurtz, E.M.; Styron, J. An Assessment of Two Piston Bowl Concepts in a Medium-Duty Diesel Engine. SAE Int. J. Engines 2012, 5, 344–352. [Google Scholar] [CrossRef]
- Dolak, J.G.; Shi, Y.; Reitz, R.D. A Computational Investigation of Stepped-Bowl Piston Geometry for a Light Duty Engine Operating at Low Load; SAE Technical Paper 2010-01-1263; SAE International: Detroit, MI, USA, 2010. [Google Scholar] [CrossRef]
- Zha, K.; Busch, S.; Warey, A.; Peterson, R.; Kurtz, E. A Study of Piston Geometry Effects on Late-Stage Combustion in a Light-Duty Optical Diesel Engine Using Combustion Image Velocimetry. SAE Int. J. Engines 2018, 11, 783–804. [Google Scholar] [CrossRef]
- Tuner, M.; Johansson, B.; Keller, P.; Becker, M. Loss Analysis of a HD-PPC Engine with Two-Stage Turbocharging Operating in the European Stationary Cycle; SAE Technical Paper 2013-01-2700; SAE International: Detroit, MI, USA, 2013. [Google Scholar] [CrossRef]
- Kumar, P.; Zhang, Y.; Traver, M.; Watson, J. Tailored Air-Handling System Development for Gasoline Compression Ignition in a Heavy-Duty Diesel Engine. Front. Mech. Eng. 2021, 7, 611916. [Google Scholar] [CrossRef]
- Zhang, Y.; Kumar, P.; Tang, M.; Pei, Y.; Merritt, E.; Traver, M.; Popuri, S. Impact of Geometric Compression Ratio and Variable Valve Actuation on Gasoline Compression Ignition in a Heavy-Duty Diesel Engine. In Proceedings of the ASME Internal Combustion Engine Division Fall Technical Conference, Denver, CO, USA, 1–4 November 2020. [Google Scholar] [CrossRef]
- Pei, Y.; Pal, P.; Zhang, Y.; Traver, M.; Cleary, D.; Futterer, C.; Brenner, M.; Probst, D.; Som, S. CFD-Guided Combustion System Optimization of a Gasoline Range Fuel in a Heavy-Duty Compression Ignition Engine Using Automatic Piston Geometry Generation and a Supercomputer. SAE Int. J. Adv. Curr. Prac. Mobil. 2019, 1, 166–179. [Google Scholar] [CrossRef]
- Voice, A.; Tzanetakis, T.; Traver, M. Lubricity of Light-End Fuels with Commercial Diesel Lubricity Additives; SAE Technical Paper 2017-01-0871; SAE International: Detroit, MI, USA, 2017. [Google Scholar] [CrossRef]
- Gamma Technologies. GT-Suite: Engine Performance Application Manual (Version 2019); Gamma Technologies: Westmont, IL, USA, 2019. [Google Scholar]
- Kumar, P.; Zhang, Y.; Traver, M.; Cleary, D. Simulation-Guided Air System Design for a Low Reactivity Gasoline-Like Fuel under Partially-Premixed Combustion in a Heavy-Duty Diesel Engine; SAE Technical Paper 2017-01-0751; SAE International: Detroit, MI, USA, 2017. [Google Scholar] [CrossRef]
- Richards, K.J.; Senecal, P.K.; Pomraning, E. Converge Manual (Version 2.3); Convergent Science Inc.: Madison, WI, USA, 2018. [Google Scholar]
- Som, S.; Longman, D.; Aithal, S.; Bair, R.; Garcia, M.; Quan, S.; Richards, P.; Senecal, K.; Shethaji, T.; Weber, M. A Numerical Investigation on Scalability and Grid Convergence of Internal Combustion Engine Simulations; SAE Technical Paper 2013-01-1095; SAE International: Detroit, MI, USA, 2013. [Google Scholar] [CrossRef]
- Senecal, K.; Pomraning, E.; Richards, K.J.; Som, S. An Investigation of Grid Convergence for Spray Simulations Using an LES Turbulence Model; SAE Technical Paper 2013-01-1083; SAE International: Detroit, MI, USA, 2013. [Google Scholar] [CrossRef]
- Han, Z.; Reitz, R.D. Turbulence Modeling of Internal Combustion Engines Using RNG k-ε Models. Combust. Sci. Tech. 1995, 106, 267–295. [Google Scholar] [CrossRef]
- Reitz, R.; Diwakar, R. Structure of High-Pressure Fuel Sprays; SAE Technical Paper 870598; SAE International: Detroit, MI, USA, 1987. [Google Scholar] [CrossRef]
- Reitz, R.D. Modeling Atomization Processes in High Pressure Vaporizing Sprays. At. Spray Tech. 1987, 3, 309–337. [Google Scholar]
- Patterson, M.; Reitz, R. Modeling the Effects of Fuel Spray Characteristics on Diesel Engine Combustion and Emission; SAE Technical Paper 980131; SAE International: Detroit, MI, USA, 1998. [Google Scholar] [CrossRef]
- Schmidt, D.P.; Rutland, C.J. A New Droplet Collision Algorithm. J. Comp. Phys. 2000, 164, 62–80. [Google Scholar] [CrossRef]
- Frossling, N. Evaporation, heat transfer, and velocity distribution in two-dimensional and rotationally symmetrical laminar boundary-layer flow. NACA Tech. Memo. 1956, 168, 1–37. [Google Scholar]
- Liu, Y.; Jia, M.; Xie, M.; Pang, B. Enhancement on a Skeletal Kinetic Model for Primary Reference Fuel Oxidation by Using a Semidecoupling Methodology. Energy Fuels 2012, 26, 7069–7083. [Google Scholar] [CrossRef]
- Zhang, Y.; Pei, Y.; Meng, T.; Traver, M. A Computational Investigation of Piston Bowl Geometry and Injector Spray Pattern Effects on Gasoline Compression Ignition in a Heavy-Duty Diesel Engine. In Proceedings of the ASME Internal Combustion Engine Division Fall Technical Conference, Chicago, IL, USA, 20–23 October 2019. [Google Scholar] [CrossRef]
- Yang, J.; Golovitchev, V.; Redon, P.; Javier Lopez Sanchez, J. Numerical Analysis of NOx Formation Trends in Biodiesel Combustion Using Dynamic ϕ-T Parametric Maps; SAE Technical Paper 2011-01-1929; SAE International: Detroit, MI, USA, 2011. [Google Scholar] [CrossRef]
- Meng, T.; Pei, Y.; Zhang, Y.; Tzanetakis, T.; Traver, M.; Cleary, D.; Quan, S.; Naber, J.; Lee, S. Development of a Transient Spray Cone Angle Correlation for CFD Simulations at Diesel Engine Conditions; SAE Technical Paper 2018-01-0304; SAE International: Detroit, MI, USA, 2018. [Google Scholar] [CrossRef]
























| ULSD | 93 RON Gasoline | |
|---|---|---|
| IBP (°C) | 167 | 35 |
| T10 (°C) | 212 | 52 |
| T50 (°C) | 257 | 81 |
| T90 (°C) | 309 | 149 |
| FBP (°C) | 344 | 199 |
| Density at 15.56 °C (g/mL) | 0.845 | 0.733 |
| Kinematic viscosity (cSt) | 2.49 | 0.55 |
| Aromatics (vol%) | 27.7 | 25.7 |
| Olefins (vol%) | 1.8 | 10.1 |
| Saturates (vol%) | 70.5 | 64.2 |
| Sulfur (ppm) | 3.9 | 3.4 |
| H/C ratio (–) | 1.79 | 1.97 |
| Cetane number (CN) (–) | 46.6 | 21.0 |
| Research octane number (RON) (–) | - | 92.5 |
| Motoring octane number (MON) (–) | - | 83.8 |
| Lower heating value (MJ/kg) | 42.87 | 43.4 |
| Models | |
|---|---|
| Injection | Blob |
| Evaporation | Frossling |
| Breakup | KH-RT |
| Collision | NTC |
| Chemistry solver | SAGE |
| Gas-phase fuel surrogate | Primary reference fuel (PRF) blend |
| Chemical kinetic mechanism | Liu et al. reduced PRF mechanism |
| NOx | 4 species and 13 reactions |
| Soot | Hiroyasu–NSC |
| Turbulence | RNG k-ε |
| Wall heat transfer | O’Rourke and Amsden |
| Baseline | Gen1 GCI | |
|---|---|---|
| Engine-out NOx target (g/kWh) | 1.0 | |
| GCR (–) | 17.3 | 16.5 |
| Piston bowl | Production | Customized step-lipped |
| Number of nozzle holes (–) | 8 | 9 |
| Spray inclusion angle (°) | 148 | 152 |
| Injector hydraulic flow rate (–) | constant | |
| Swirl ratio (–) | 1.0 | |
| Turbocharging system | Single-stage VGT | Two-stage FGT with inter-stage cooling |
| EGR layout | High-pressure loop EGR with single-stage cooling | High-pressure loop EGR with two-stage cooling |
| 93 RON Gasoline | 1147 rpm/ 20 bar BMEP (A100) | 1375 rpm/ 5 bar BMEP (B25) | 1375 rpm/ 10 bar BMEP (B50) | 1375 rpm/ 15 bar BMEP (B75) |
|---|---|---|---|---|
| Pinj (bar) | 1600 | 550 | 1450 | 1900 |
| SOI1 (°aTDC) | −30 | |||
| SOI2 (°aTDC) | −3 | −7 | −6 | −6 |
| Q1 (-) | 0.1 | 0.5 | 0.3 | 0.1 |
| CA50 (°aTDC) | 13 | 8 | 5 | 9 |
| EGR (%) | 28.3 | 40.4 | 37.5 | 36.9 |
| AFR-D (-) | 18.8 | 28.5 | 22.8 | 21.8 |
| Lambda (-) | 1.3 | 1.97 | 1.57 | 1.51 |
| Int. man. pressure (bar, abs) | 3.25 | 1.56 | 2.23 | 3.1 |
Publisher’s Note: MDPI stays neutral with regard to jurisdictional claims in published maps and institutional affiliations. |
© 2022 by the authors. Licensee MDPI, Basel, Switzerland. This article is an open access article distributed under the terms and conditions of the Creative Commons Attribution (CC BY) license (https://creativecommons.org/licenses/by/4.0/).
Share and Cite
Zhang, Y.; Kumar, P.; Pei, Y.; Traver, M.; Popuri, S. An Experimental and Computational Investigation of Tailor-Developed Combustion and Air-Handling System Concepts in a Heavy-Duty Gasoline Compression Ignition Engine. Energies 2022, 15, 1087. https://doi.org/10.3390/en15031087
Zhang Y, Kumar P, Pei Y, Traver M, Popuri S. An Experimental and Computational Investigation of Tailor-Developed Combustion and Air-Handling System Concepts in a Heavy-Duty Gasoline Compression Ignition Engine. Energies. 2022; 15(3):1087. https://doi.org/10.3390/en15031087
Chicago/Turabian StyleZhang, Yu, Praveen Kumar, Yuanjiang Pei, Michael Traver, and Sriram Popuri. 2022. "An Experimental and Computational Investigation of Tailor-Developed Combustion and Air-Handling System Concepts in a Heavy-Duty Gasoline Compression Ignition Engine" Energies 15, no. 3: 1087. https://doi.org/10.3390/en15031087
APA StyleZhang, Y., Kumar, P., Pei, Y., Traver, M., & Popuri, S. (2022). An Experimental and Computational Investigation of Tailor-Developed Combustion and Air-Handling System Concepts in a Heavy-Duty Gasoline Compression Ignition Engine. Energies, 15(3), 1087. https://doi.org/10.3390/en15031087
