A Pre-Sizing Method for Salient Pole Synchronous Reluctance Machines with Loss Minimization Control for a Small Urban Electrical Vehicle Considering the Driving Cycle
Abstract
1. Introduction
2. Analytical Model
2.1. d-q Axis Equivalent Circuit Models
2.2. Flux Densities
2.3. Resistances and Inductances Models
2.3.1. Resistances
2.3.2. d-q Axis Inductances
2.4. Constraints
2.4.1. Thermal Constraint
2.4.2. Mechanical Constraint
2.4.3. Saturation Constraint
3. Design Optimization
3.1. D-q Axis Current Expressions
3.2. First Objective Function
3.3. Second Objective Function
3.4. Design Optimization
4. Application
4.1. Car Specifications and Mechanical Model
4.2. Optimization Results
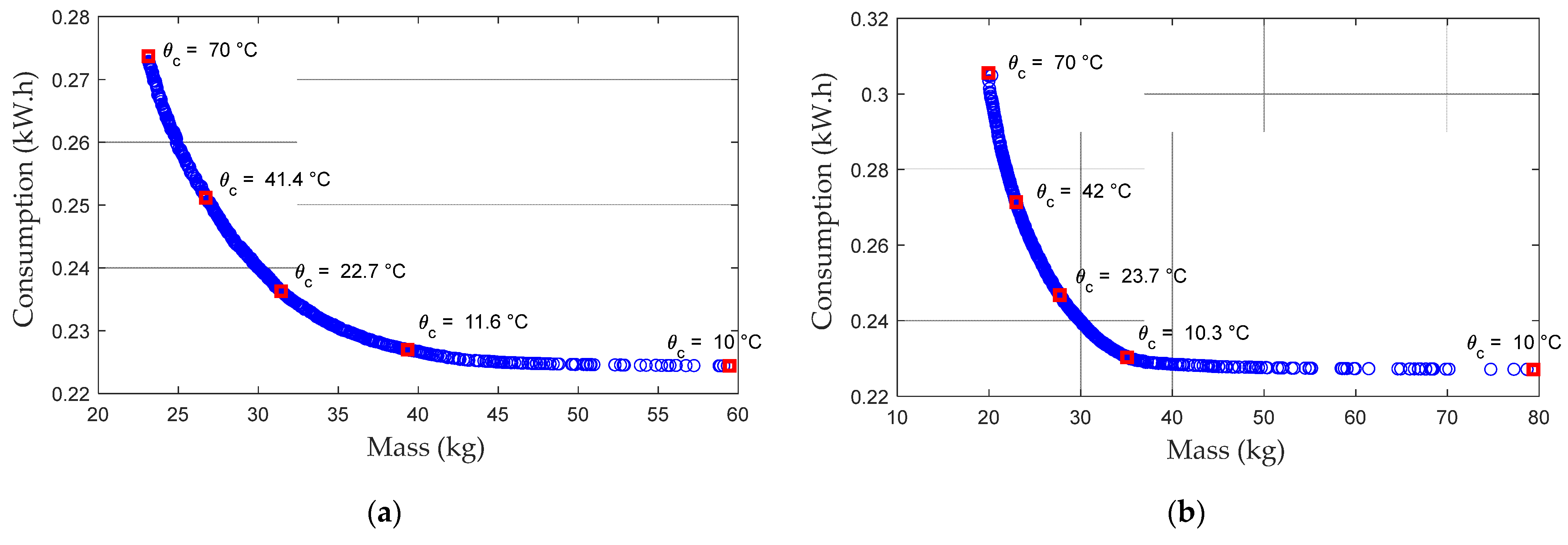
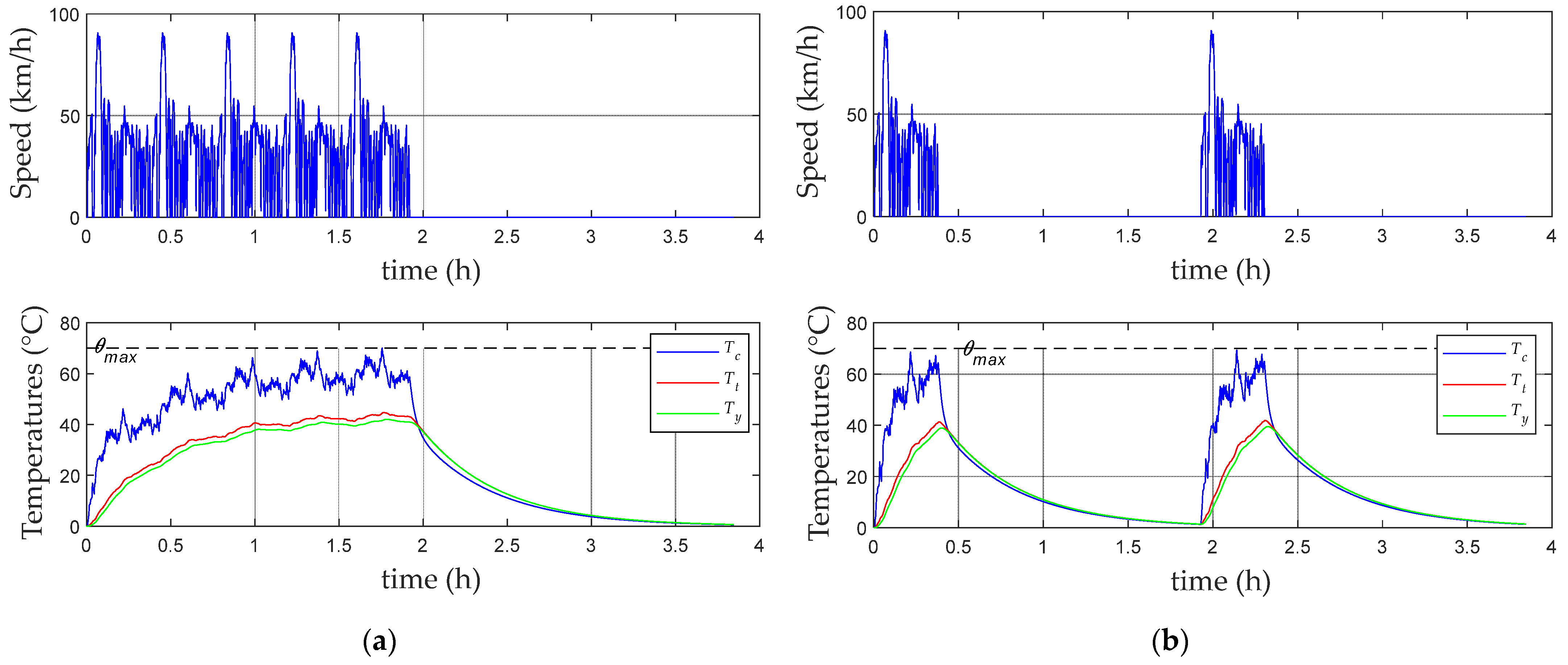
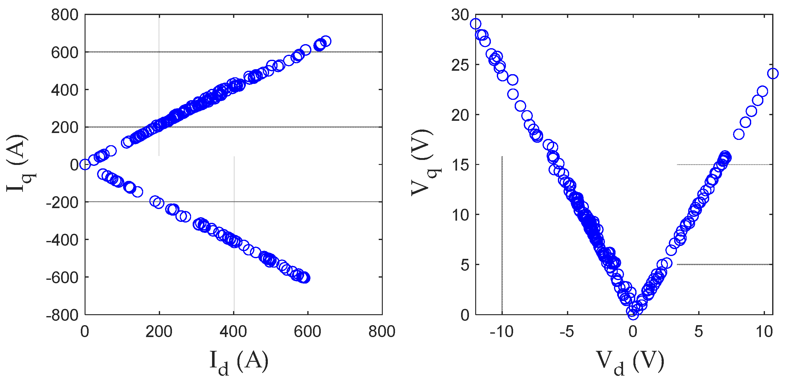
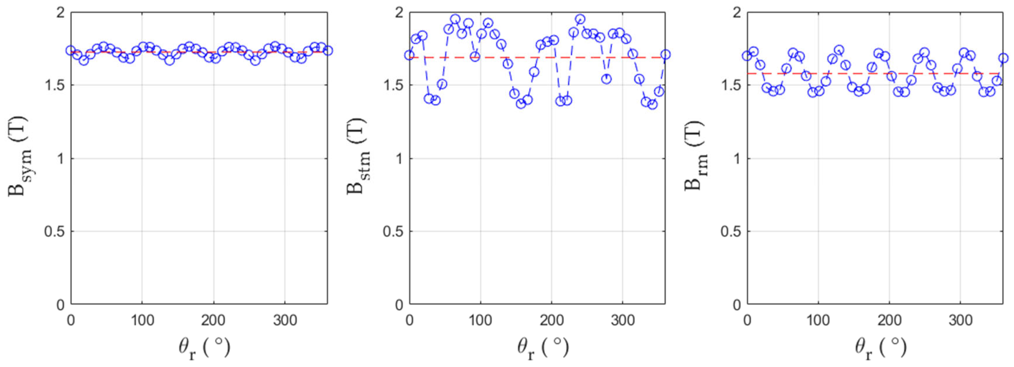
4.3. Optimal Solution Selected: Analysis and Validation
4.4. Comparison of the Proposed Method and Classical One
5. Conclusions
Author Contributions
Funding
Data Availability Statement
Conflicts of Interest
Abbreviations
| magnitude of the resulting airgap flux density [T] | |
| Flux density at saturation [T] | |
| magnitude of the airgap flux density [T] | |
| magnitude of the flux density in the stator teeth [T] | |
| magnitude of the flux density in the stator yoke [T] | |
| equivalent heat capacity of material [J/kg.°C] | |
| air drag coefficient | |
| stator magnetomotive force [A] | |
| rolling resistance coefficient | |
| gear box ratio | |
| minimum airgap thickness [m] | |
| maximum airgap thickness [m] | |
| heat transfer coefficient [W/m2.K] | |
| d- and q- axis currents [A] | |
| rms stator current [A] | |
| current density [A/m2] | |
| additional magnetic loss coefficient | |
| Carter’s coefficient | |
| eddy currents specific loss coefficient | |
| slot fill factor | |
| hysteresis specific loss coefficient | |
| coefficient for correcting active length due to end winding | |
| coefficient for correcting the inductance with saturation | |
| bearing stiffness [N/m] | |
| tooth opening to the slot pitch ratio in the stator | |
| winding factor | |
| active length [m] | |
| axis inductance [H] | |
| axis inductance [H] | |
| mass of the vehicle [kg] | |
| slot mass (copper + insulating) [kg] | |
| iron mass [kg] | |
| number of conductors/phase/pole for the stator | |
| number of pole pairs | |
| copper losses [W] | |
| Total electrical losses [W] | |
| electromagnetic power [W] | |
| iron losses [W] | |
| surfacic permeance [H/m2] | |
| maximum value of the surfacic permeance [H/m2] | |
| minimum value of the surfacic permeance [H/m2] | |
| average value of the surfacic perméance [H/m2] | |
| magnitude of the first harmonic of the surfacic perméance [H/m2] | |
| external radius [m] | |
| winding resistance [] | |
| reduced inner stator winding radius [m] | |
| reduced stator winding radius [m] | |
| reduced internal rotor radius [m] | |
| iron loss resistance [] | |
| conduction thermal resistance [W/K] | |
| convective thermal resistance [W/K] | |
| frontal area of the vehicle [m2] | |
| external surface [m2] | |
| section of conductors [m2] | |
| section of one slot [m2] | |
| time [s] | |
| electromagnetic torque [Nm] | |
| d- and q- axis terminal voltage [V] | |
| volume of the stator teeth [m3] | |
| volume of the stator yoke [m3] | |
| peripheral speed of the rotor [m/s] | |
| speed of the vehicle [m/s] | |
| stator tooth width [m] | |
| stator yoke thickness [m] | |
| energy lost per working cycle [J] | |
| number of slots | |
| electrical rotor pole arc [rad] | |
| skew mechanical angle (rad) | |
| Angle with the reference axis [rad] | |
| temperature elevation in the winding [K] | |
| position of the rotor (rad) | |
| thermal conductivity [W/m.K] | |
| current angle [rad] | |
| iron density [kg/m3] | |
| Slot material density [kg/m3] | |
| electrical conductivity [S] | |
| active length to outer stator ration () | |
| stator slot pitch | |
| mechanical angular velocity [rad/s] | |
| Angular frequency [rad/s] |
References
- Zwyssig, C.; Round, S.D.; Kolar, J.W. An Ultrahigh-Speed, Low Power Electrical Drive System. IEEE Trans. Ind. Electron. 2008, 55, 577–585. [Google Scholar] [CrossRef]
- Hannoun, H.; Hilairet, M.; Marchand, C. Design of an SRM Speed Control Strategy for a Wide Range of Operating Speeds. IEEE Trans. Ind. Electron. 2010, 57, 2911–2921. [Google Scholar] [CrossRef]
- Faria, C.T.; Mongellaz, R.; Oprea, C.; Boon, F.; Faid, S.; Thiemann, T. Design Process of Advanced Reluctance Machines for Electric Vehicle Applications: On Target Setting, Optimization of Different Reluctance Motors Technologies and Assessment of the Most Promising Propulsion Technology for Electric Vehicle Applications. In Proceedings of the 2015 IEEE Vehicle Power and Propulsion Conference (VPPC), Montreal, QC, Canada, 19–22 October 2015; pp. 1–6. [Google Scholar]
- Chen, L.; Wang, J.; Lombard, P.; Lazari, P.; Leconte, V. Design optimisation of permanent magnet assisted synchronous reluctance machines for electric vehicle applications. In Proceedings of the XXth International Conference on Electrical Machines, Marseille, France, 2–5 September 2012; pp. 2647–2653. [Google Scholar]
- Carraro, E.; Morandin, M.; Bianchi, N. Optimization of a Traction PMASR Motor According To a Given Driving Cycle. In Proceedings of the 2014 IEEE Transportation Electrification Conference and Expo (ITEC), Dearborn, MI, USA, 15–18 June 2014; Volume 2, pp. 1–6. [Google Scholar]
- Diao, K.; Sun, X.; Lei, G.; Bramerdorfer, G.; Guo, Y.; Zhu, J. System-Level Robust Design Optimization of a Switched Reluctance Motor Drive System Considering Multiple Driving Cycles. IEEE Trans. Energy Convers. 2020, 36, 348–357. [Google Scholar] [CrossRef]
- Credo, A.; Pescetto, P. Design Optimization of a Synchronous Reluctance Motor Based on Operating Cycle. 2020 International Conference on Electrical Machines (ICEM), Gothenburg, Sweden, 23–26 August 2020; 1, pp. 2486–2492. [Google Scholar] [CrossRef]
- Dianati, B.; Kahourzade, S.; Mahmoudi, A. Optimization of Axial-Flux Induction Motors for the Application of Electric Vehicles Considering Driving Cycles. IEEE Trans. Energy Convers. 2020, 35, 1522–1533. [Google Scholar] [CrossRef]
- Zhou, X.; Zhu, X.; Wu, W.; Xiang, Z.; Liu, Y.; Quan, L. Multi-objective Optimization Design of Variable-Saliency-Ratio PM Motor Considering Driving Cycles. IEEE Trans. Ind. Electron. 2020, 68, 6516–6526. [Google Scholar] [CrossRef]
- Cardoso, J.F.; Chillet, C.; Gerbaud, L.; Belhaj, L.A. Electrical Machine Design by optimization for E-motor Application: A Drive Cycle Approach. In Proceedings of the 2020 International Conference on Electrical Machines (ICEM), Gothenburg, Sweden, 23–26 August 2020; Volume 1, pp. 2514–2519. [Google Scholar]
- Gao, J.; Dai, L.; Zhang, W.; Huang, S.; Wu, X. Multi-Interval Efficiency Design Optimization for Permanent Magnet Synchronous Generators Used in Hybrid Electric Special Vehicles. IEEE Trans. Ind. Electron. 2020, 68, 4646–4656. [Google Scholar] [CrossRef]
- Ruuskanen, V.; Nerg, J.; Pyrhonen, J.; Ruotsalainen, S.; Kennel, R. Drive Cycle Analysis of a Permanent-Magnet Traction Motor Based on Magnetostatic Finite-Element Analysis. IEEE Trans. Veh. Technol. 2014, 64, 1249–1254. [Google Scholar] [CrossRef]
- Nguyen, P.H.; Member, S.; Hoang, E.; Gabsi, M. Permanent Magnet Synchronous Machines: Performances during Driving Cycles for a Hybrid Electric Vehicle Application. In Proceedings of the 2010 IEEE International Symposium on Industrial Electronics, Bari, Italy, 4–7 July 2010; pp. 1432–1438. [Google Scholar]
- Parasiliti, F.; Villani, M.; Lucidi, S.; Rinaldi, F. Finite-Element-Based Multiobjective Design Optimization Procedure of Interior Permanent Magnet Synchronous Motors for Wide Constant-Power Region Operation. IEEE Trans. Ind. Electron. 2011, 59, 2503–2514. [Google Scholar] [CrossRef]
- Huang, L.R.; Zhu, Z.Q.; Chu, W.Q. Optimization of Electrically Excited Synchronous Machine for Electrical Vehicle Applications. In Proceedings of the 8th IET International Conference on Power Electronics, Machines and Drives (PEMD 2016), Glasgow, UK, 19–21 April 2016; pp. 1–6. [Google Scholar]
- Morimoto, S.; Tong, Y.; Takeda, Y. Loss Minimization Control of Permanent. IEEE Trans. Ind. Electron. 1994, 41, 511–517. [Google Scholar] [CrossRef]
- Frias, A.; Kedous-Lebouc, A.; Chillet, C.; Albert, L.; Calegari, L.; Messal, O. Loss Minimization of an Electrical Vehicle Machine Considering Its Control and Iron Losses. IEEE Trans. Magn. 2016, 52, 1–4. [Google Scholar] [CrossRef]
- Bariša, T.; Sumina, D.; Kutija, M. Comparison of Maximum Torque per Ampere and Loss Minimization Control for the Interior Permanent Magnet Synchronous Generator. In Proceedings of the 2015 International Conference on Electrical Drives and Power Electronics (EDPE), Tatranska Lomnica, Slovakia, 21–23 September 2015; pp. 21–23. [Google Scholar]
- Dang, L.; Ousmane Samb, S.; Sadou, R.; Bernard, N. Co-Design Optimization of Direct Drive PMSGs for Offshore Wind Turbines Based on Wind Speed Profile. Energies 2021, 14, 4486. [Google Scholar] [CrossRef]
- Ousmane Samb, S.; Bernard, N.; Fouad Benkhoris, M.; Kien Bui, H. Design Optimization of a Direct-Drive Electrically Excited Synchronous Generator for Tidal Wave Energy. Energies 2022, 15, 3174. [Google Scholar] [CrossRef]
- Dang, L.; Bernard, N.; Bracikowski, N.; Berthiau, G. Design Optimization with Flux Weakening of High-Speed PMSM for Electrical Vehicle Considering the Driving Cycle. IEEE Trans. Ind. Electron. 2017, 64, 9834–9843. [Google Scholar] [CrossRef]
- Lewis, L.H.; Jiménez-Villacorta, F. Perspectives on Permanent Magnetic Materials for Energy Conversion and Power Generation. Metall. Mater. Trans. A 2013, 44, 2–20. [Google Scholar] [CrossRef]
- Rasheed, M.Z.; Song, M.-S.; Park, S.-M.; Nam, S.-W.; Hussain, J.; Kim, T.-S. Rare Earth Magnet Recycling and Materialization for a Circular Economy—A Korean Perspective. Appl. Sci. 2021, 11, 6739. [Google Scholar] [CrossRef]
- Bhatt, P.; Mehar, H.; Sahajwani, M.; Electrical Motors for Electric Vehicle—A Comparative Study. Proceedings of Recent Advances in Interdisciplinary Trends in Engineering & Applications (RAITEA) 2019. 3 April 2019. Available online: https://ssrn.com/abstract=3364887 (accessed on 30 October 2022).
- Yao, J.; Member, S. A Compensated Vector Control Scheme of a Synchronous Reluctance Motor Including Saturation and Iron Losses. IEEE Trans. Ind. Appl. 1992, 28, 1330–1338. [Google Scholar]
- Betz, R.E.; Jovanovic, M.; Lagerquist, R.; Miller, T.J.E. Aspects of the control of synchronous reluctance machines including saturation and iron losses. In Proceedings of the Conference Record of the 1992 IEEE Industry Applications Society Annual Meeting, Houston, TX, USA, 4–9 October 1992; Volume 1, pp. 456–463. [Google Scholar]
- Bernard, N.; Ahmed, H.; Multon, B. Design and Modeling of a Slotless and Homopolar Axial-Field Synchronous Machine for a Flywheel Accumulator. IEEE Trans. Ind. Appl. 2004, 40, 755–762. [Google Scholar] [CrossRef]
- Lawrenson, P.J.; Sc, M.; Member, A.; Agu, L.A.; Sc, M. Theory and performance of polyphase reluctance machines. Proc. Inst. Electr. Eng. 1964, 111, 1435–1445. [Google Scholar] [CrossRef]
- Gao, J.; Li, C.; Dai, L.; Huang, S.; Xu, W. A Practical Analytical Expression and Estimation for Average Torque of High Saturation Permanent Magnet Synchronous Motor for Special Vehicles. IEEE Trans. Veh. Technol. 2022. [Google Scholar] [CrossRef]
- Wrobel, R.; Mellor, P.H. A General Cuboidal Element for Three-Dimensional Thermal Modelling. IEEE Trans. Magn. 2010, 46, 3197–3200. [Google Scholar] [CrossRef]
- Staton, D.A.; Cavagnino, A. Convection Heat Transfer and Flow Calculations Suitable for Electric Machines Thermal Models. IEEE Trans. Ind. Electron. 2008, 55, 3509–3516. [Google Scholar] [CrossRef]
- Gieras, J.; Wang, R.; Kamper, M.J. Axial Flux Permanent Magnet Brushless Machines; Academic Publishers: Dordrecht, The Netherlands, 2008; ISBN 1-4020-2661-7. [Google Scholar]
- Ede, J.D.; Zhu, Z.Q.; Member, S.; Howe, D. Rotor Resonances of High-Speed Permanent-Magnet Brushless Machines. IEEE Trans. Ind. Appl. 2002, 38, 1542–1548. [Google Scholar] [CrossRef]
- Besharati, M.; Widmer, J.; Atkinson, G.; Pickert, V.; Washington, J. Super-High-Speed Switched Reluctance Motor for Automotive Traction. In Proceedings of the 2015 IEEE Energy Conversion Congress and Exposition (ECCE), Montreal, QC, Canada, 20–24 September 2015; pp. 5241–5248. [Google Scholar]
- Gerada, D.; Mebarki, A.; Brown, N.L.; Gerada, C.; Cavagnino, A.; Boglietti, A. High-Speed Electrical Machines: Technologies, Trends, and Developments. IEEE Trans. Ind. Electron. 2014, 61, 2946–2959. [Google Scholar] [CrossRef]
- Deb, K.; Pratap, A.; Agarwal, S.; Meyarivan, T. A Fast and Elitist Multiobjective Genetic Algorithm: NSGA II. IEEE Trans. Evol. Comput. 2002, 6, 182–197. [Google Scholar] [CrossRef]
- Lei, G.; Zhu, J.; Guo, Y.; Liu, C.; Ma, B. A Review of Design Optimization Methods for Electrical Machines. Energies 2017, 10, 1962. [Google Scholar] [CrossRef]














| Symbol | Parameter | Value |
|---|---|---|
| Iron thermal conductivity | 25 W/m°C | |
| Slot thermal conductivity | 1 W/m°C | |
| Iron specific heat capacity | 470 J/(kg·°C) | |
| Slot specific heat capacity | 400 J/(kg·°C) |
| Symbol | Parameter | Value |
|---|---|---|
| Wheel radius | 0.27 m | |
| Vehicle mass | 500 kg | |
| Air drag coefficient | 0.3 | |
| Rolling resistance coefficient | 0.01 | |
| Frontal area | 1.5 m2 | |
| Gear box ratio | 10 |
| Symbol | Value |
|---|---|
| 7800 kg/m3 | |
| 8900 kg/m3 | |
| 50 MS | |
| 70 °C | |
| 1.7 T | |
| 1.5 | |
| 6.5 × 10−3 | |
| 15 | |
| 0.6 | |
| 0.5 | |
| 1.25 | |
| 0.85 | |
| 15 mm | |
| 15 mm |
| Symbol | Parameter | Value |
|---|---|---|
| Maximal power | 10 kW | |
| Maximum torque | 21.3 Nm | |
| Effective torque | 5.1 Nm | |
| Maximal speed | 8913 rpm | |
| Effective speed | 2700 rpm | |
| Average speed | 1525 rpm |
| Symbol | Value |
|---|---|
| 1 | |
| 0 | |
| 0.469 | |
| 0.766 | |
| 83 mm | |
| 90 mm | |
| 57° | |
| 3.5 mm | |
| 20.4 mm | |
| 0.85 T | |
| 1.7 T | |
| 1.7 T | |
| 1.7 T | |
| 4 | |
| 532 A | |
| 10.5 A/mm2 | |
| 49 mm2 | |
| 160 W | |
| 10 W | |
| 2.51 |
| Analytical model | 2D FEM | Variation | ||
|---|---|---|---|---|
| 21.3 Nm | 19.7 Nm | −8.6% | ||
| 0.14 mH | 0.15 mH/m2 | +6.8% | ||
| 0.11 mH | 0.125 mH/m2 | −4% | ||
| 0.85 T | 0.86 T | +1.2% | ||
| 1.7 T | 1.72 T | +1.4% | ||
| 1.7 T | 1.71 | +0.8% | ||
| 1.7 T | 1.58 T | −7.8% | ||
| 32.7 W | 30.5 W | −7% |
Publisher’s Note: MDPI stays neutral with regard to jurisdictional claims in published maps and institutional affiliations. |
© 2022 by the authors. Licensee MDPI, Basel, Switzerland. This article is an open access article distributed under the terms and conditions of the Creative Commons Attribution (CC BY) license (https://creativecommons.org/licenses/by/4.0/).
Share and Cite
Bernard, N.; Dang, L.; Moreau, L.; Bourguet, S. A Pre-Sizing Method for Salient Pole Synchronous Reluctance Machines with Loss Minimization Control for a Small Urban Electrical Vehicle Considering the Driving Cycle. Energies 2022, 15, 9110. https://doi.org/10.3390/en15239110
Bernard N, Dang L, Moreau L, Bourguet S. A Pre-Sizing Method for Salient Pole Synchronous Reluctance Machines with Loss Minimization Control for a Small Urban Electrical Vehicle Considering the Driving Cycle. Energies. 2022; 15(23):9110. https://doi.org/10.3390/en15239110
Chicago/Turabian StyleBernard, Nicolas, Linh Dang, Luc Moreau, and Salvy Bourguet. 2022. "A Pre-Sizing Method for Salient Pole Synchronous Reluctance Machines with Loss Minimization Control for a Small Urban Electrical Vehicle Considering the Driving Cycle" Energies 15, no. 23: 9110. https://doi.org/10.3390/en15239110
APA StyleBernard, N., Dang, L., Moreau, L., & Bourguet, S. (2022). A Pre-Sizing Method for Salient Pole Synchronous Reluctance Machines with Loss Minimization Control for a Small Urban Electrical Vehicle Considering the Driving Cycle. Energies, 15(23), 9110. https://doi.org/10.3390/en15239110

