Large Eddy Simulation of Film Cooling: A Review
Abstract
1. Introduction
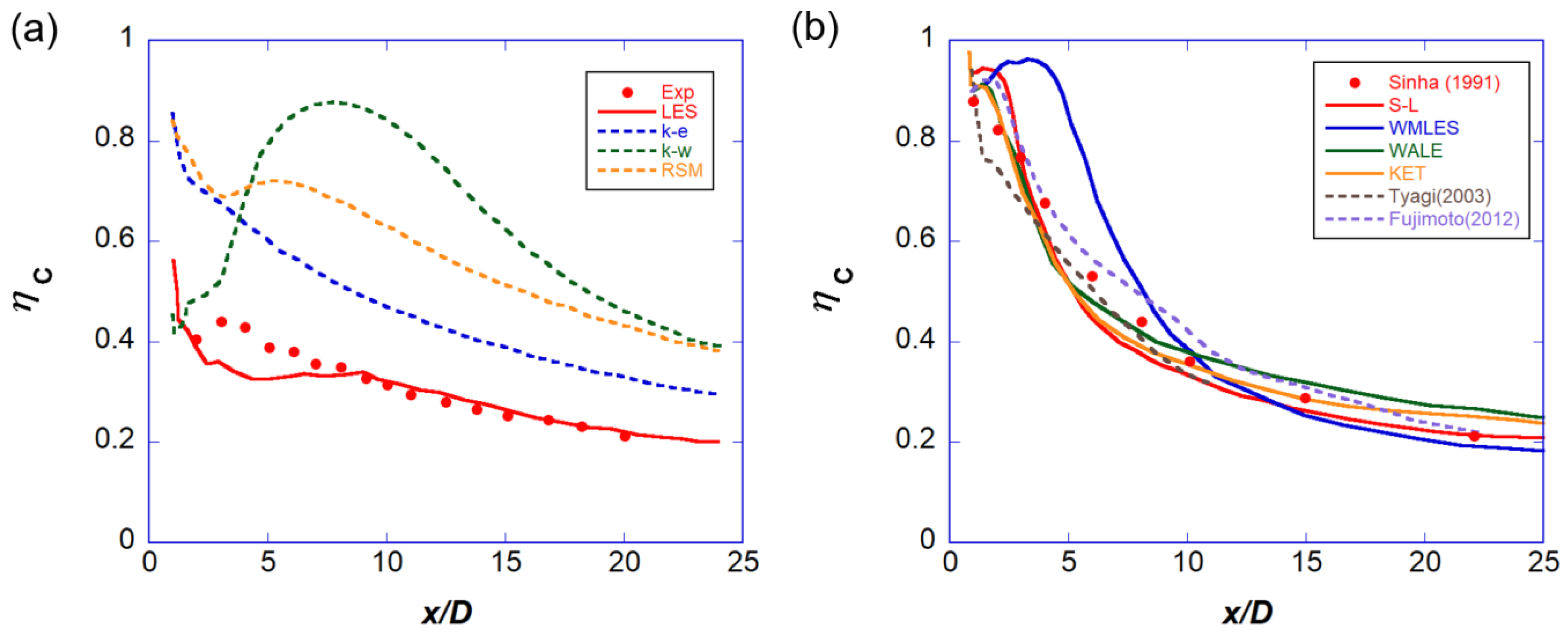
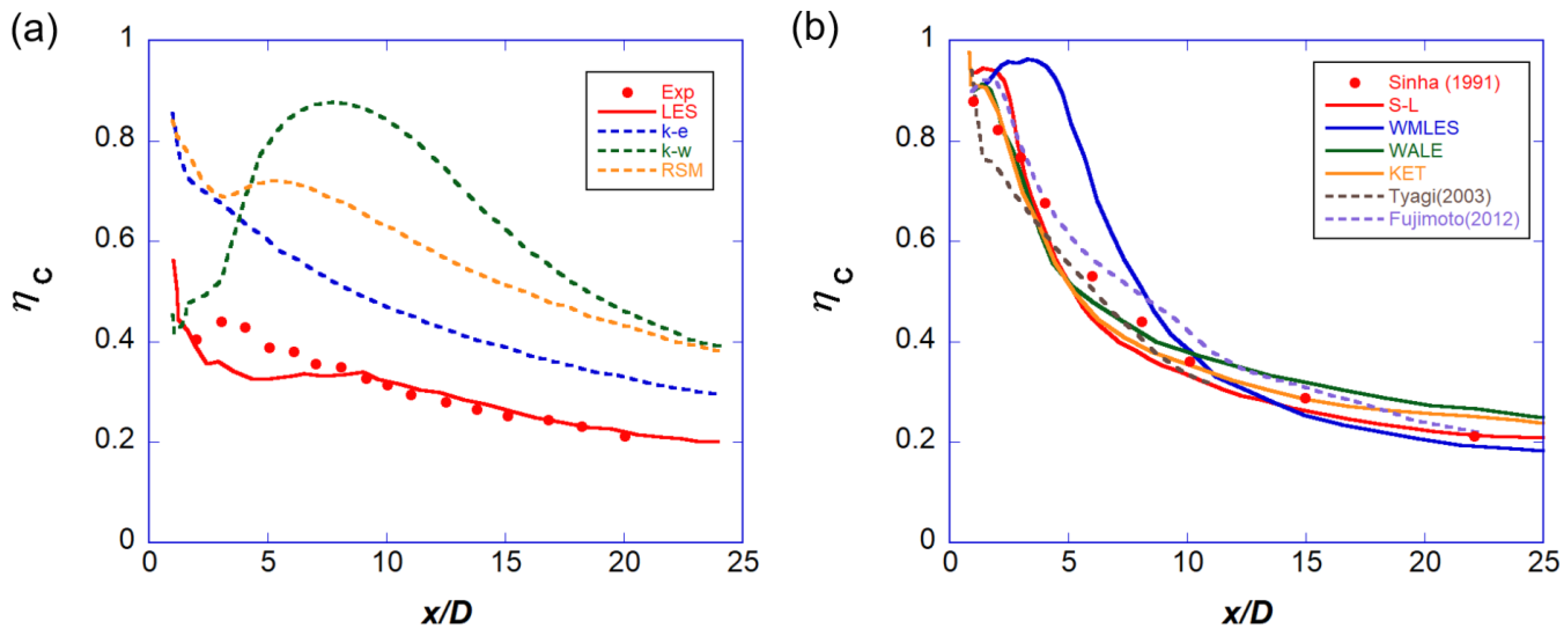
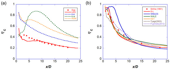
2. Numerical Challenges and Comparative Studies
3. Hole and Injection Geometry Studies
4. Free-Stream and Coolant Flow Studies
5. Turbulence Studies
6. Summary and Future Prospects
- The increase in computing power over the past two decades has made it possible to solve increasingly complex problems. In the future, LES of film cooling will apply more realistic geometry and flow conditions close to gas turbine operating conditions, and studies will expand to conjugate heat transfer including conduction.
- Recently, with the help of additive manufacturing, more complex shapes can be realized in film cooling [21], and LES can be used to discover and optimize new shapes.
- Film-cooling research has been focused on effectiveness, and research on the heat transfer coefficient has been lacking. The insulation effect of film cooling is inversely proportional to the heat transfer coefficient, and when the blowing ratio or unsteadiness is large, film-cooling performance is substantially affected [146]. Thus, LES can make a good contribution to heat transfer predictions in the future.
- As LES can provide turbulence statistics and considerable instantaneous flow field and temperature field data, attempts to link it with data-driven engineering, including machine learning, have recently been made. It is expected that such studies will be conducted in the future.
Funding
Data Availability Statement
Conflicts of Interest
Nomenclature
| Cs | Smagorinsky eddy viscosity constant |
| D | hole diameter |
| L | hole length |
| M | blowing ratio = |
| Prt | turbulent Prandtl number |
| U | flow velocity [m/s] |
| u | streamwise velocity component [m/s] |
| v | wall-normal velocity component [m/s] |
| w | spanwise velocity component [m/s] |
| x | streamwise coordinate |
| y | wall-normal coordinate |
| z | spanwise coordinate |
| Greek symbols | |
| β | orientation angle |
| angle between the streamwise direction and projected injection vector on the x–z plane | |
| adiabatic film-cooling effectiveness | |
| spanwise-averaged film-cooling effectiveness | |
| density [kg/m3] | |
| Θ | dimensionless temperature |
| Subscripts | |
| C | coolant |
| G | mainstream gas |
| m | spanwise-averaged |
| rms | root mean squared |
| Abbreviations | |
| DR | density ratio |
| LDV | laser doppler velocimetry |
| LES | large eddy simulation |
| PSP | pressure sensitive paint |
| RANS | Reynolds-averaged Navier–Stokes simulation |
| TLC | thermochromic liquid crystal |
| PIV | particle image velocimetry |
References
- Lakshminarayana, B. Fluid Dynamics and Heat Transfer of Turbomachinery; Wiley: Hoboken, NJ, USA, 1996; pp. 315–322. [Google Scholar]
- Goldstein, R.J. Film cooling. In Advances in Heat Transfer; Elsevier: Amsterdam, The Netherlands, 1971; Volume 7, pp. 321–379. [Google Scholar]
- Han, J.C. Advanced cooling in gas turbines 2016 Max Jakob Memorial Award Paper. ASME J. Heat Transf. 2018, 140, 113001. [Google Scholar] [CrossRef]
- Bunker, R.S. A review of shaped hole turbine film-cooling technology. ASME J. Heat Transf. 2005, 127, 441–453. [Google Scholar] [CrossRef]
- Baek, S.I.; Ahn, J. Large eddy simulation of film cooling involving compound angle holes: Comparative study of LES and RANS. Processes 2021, 9, 198. [Google Scholar] [CrossRef]
- Baek, S.I.; Ahn, J. Large eddy simulation of film cooling with bulk flow pulsation: Comparative study of LES and RANS. Appl. Sci. 2020, 10, 8553. [Google Scholar] [CrossRef]
- Bogard, D.; Thole, K. Gas turbine film cooling. J. Propul. Power 2006, 22, 249–270. [Google Scholar] [CrossRef]
- Han, J.C. Fundamental gas turbine heat transfer. ASME J. Thermal Sci. Eng. Appl. 2013, 5, 021007. [Google Scholar] [CrossRef]
- Han, J.C. Recent development in turbine blade film cooling. Int. J. Rotating Mach. 2001, 7, 21–40. [Google Scholar] [CrossRef]
- Kercher, D.M. A film-cooling CFD bibliography: 1971–1996. Int. J. Rotating Mach. 1998, 4, 61–72. [Google Scholar] [CrossRef]
- Walters, D.K.; Leylek, J.H. Impact of film-cooling jets on turbine aerodynamic losses. ASME J. Turbomach. 2000, 122, 537–545. [Google Scholar] [CrossRef]
- McGovern, K.T.; Leylek, J.H. A detailed analysis of film cooling physics: Part II—Compound-angle injection with cylindrical holes. ASME J. Turbomach. 2000, 122, 113–121. [Google Scholar] [CrossRef]
- Ferguson, J.D.; Walters, D.K.; Leylek, J.H. Performance of turbulence models and near-wall treatments in discrete jet film cooling simulations. In Proceedings of the ASME Turbo Expo 1998, Stockholm, Sweden, 2–5 June 1998; p. V004T09A077. [Google Scholar]
- Harrison, K.L.; Bogard, D.G. Comparison of RANS turbulence models for prediction of film cooling performance. In Proceedings of the ASME Turbo Expo 2008, Berlin, Germany, 9–13 June 2008; pp. 1187–1196. [Google Scholar]
- Na, S.; Shih, T. Increasing adiabatic film cooling effectiveness by using an upstream ramp. J. Heat Transf. 2007, 129, 464–471. [Google Scholar] [CrossRef]
- Karagozian, A.R. The jet in crossflow. Phys. Fluids 2014, 26, 101303. [Google Scholar] [CrossRef]
- Kumar, S.; Amano, R.S. An investigation in the numerical approach to solve the heat transfer phenomenon in gas turbine. ASME J. Energy Resour. Technol. 2021, 143, 080805. [Google Scholar] [CrossRef]
- Tyagi, M.; Acharya, S. Large eddy simulation of film cooling flow from an inclined cylindrical jet. ASME J. Turbomach. 2003, 125, 734–742. [Google Scholar] [CrossRef]
- Zhang, J.; Zhang, S.; Wang, C.; Tan, X. Recent advances in film cooling enhancement: A review. Chin. J. Aeronaut. 2020, 33, 1119–1136. [Google Scholar] [CrossRef]
- Zhu, R.; Zhang, G.; Li, S.; Xie, G. Combined-hole film cooling designs based on the construction of antikidney vortex structure: A review. J. Heat Transf. 2021, 143, 030810. [Google Scholar] [CrossRef]
- Dutta, S.; Kaur, I.; Singh, P. Review of film cooling in gas turbines with an emphasis on additive manufacturing-based design evolutions. Energies 2022, 15, 6968. [Google Scholar] [CrossRef]
- Ahn, J.; Choi, H.; Lee, J.S. Large eddy simulation of flow and heat transfer in a channel roughened by square or semicircle ribs. ASME J. Turbomach. 2005, 127, 263–269. [Google Scholar] [CrossRef]
- Tafti, D.K. Large-eddy simulation for turbulent heat transfer. ASME J. Thermal Sci. Eng. Appl. 2013, 5, 021001. [Google Scholar] [CrossRef]
- Lund, T.S.; Wu, X.; Squires, K.D. Generation of turbulent inflow data for spatially-developing boundary layer simulations. J. Comp. Phys. 1998, 140, 233–258. [Google Scholar] [CrossRef]
- Muldoon, F.; Acharya, S. DNS study of pulsed film cooling for enhanced cooling effectiveness. Int. J. Heat Mass Transf. 2009, 52, 3118–3127. [Google Scholar] [CrossRef]
- Acharya, S.; Leedom, H.D. Large eddy simulations of discrete hole film cooling with plenum inflow orientation effects. ASME J. Heat Transf. 2013, 135, 011010. [Google Scholar] [CrossRef]
- Kalghatgi, P.; Acharya, S. Modal analysis of inclined film cooling jet flow. ASME J. Turbomach. 2014, 136, 081007. [Google Scholar] [CrossRef]
- Kalghatgi, P.; Acharya, S. Improved film cooling effectiveness with a round film cooling hole embedded in a contoured crater. ASME J. Turbomach. 2015, 137, 101006. [Google Scholar] [CrossRef]
- Guo, X.; Schröder, W.; Meinke, M. Large-eddy simulations of film cooling flows. Comput. Fluids 2006, 35, 587–606. [Google Scholar] [CrossRef]
- Renze, P.; Schröder, W.; Meinke, M. Large-eddy simulation of film cooling flows with variable density jets. Flow Turbul. Combust. 2008, 80, 119–132. [Google Scholar] [CrossRef]
- Renze, P.; Schröder, W.; Meinke, M. Large-eddy simulation of film cooling flows at density gradients. Int. J. Heat Fluid Flow 2008, 29, 18–34. [Google Scholar] [CrossRef]
- Konopka, M.; Jessen, W.; Meinke, M.; Schröder, W. Large-eddy simulation of film cooling in an adverse pressure gradient flow. ASME J. Turbomach. 2013, 135, 031031. [Google Scholar] [CrossRef]
- Konopka, M.; Meinke, M.; Schröder, W. Large-eddy simulation of high mach number film cooling with shock-wave interaction. Prog. Flight Phys. 2013, 5, 309–326. [Google Scholar]
- Martini, P.; Schulz, A.; Bauer, H.-J.; Whitney, C.F. Detached eddy simulation of film cooling performance on the trailing edge cutback of gas turbine airfoils. ASME J. Turbomach. 2006, 128, 292–299. [Google Scholar] [CrossRef]
- Schneider, H.; von Terzi, D.; Bauer, H.-J. Large-Eddy Simulations of trailing-edge cutback film cooling at low blowing ratio. Int. J. Heat Fluid Flow 2010, 31, 767–775. [Google Scholar] [CrossRef]
- Schneider, H.; von Terzi, D.; Bauer, H.-J. Turbulent heat transfer and large coherent structures in trailing-edge cutback film cooling. Flow Turbul. Combust. 2012, 88, 101–120. [Google Scholar] [CrossRef]
- Schneider, H.; von Terzi, D.; Bauer, H.-J.; Rodi, W. Coherent structures in trailing-edge cooling and the challenge for turbulent heat transfer modelling. Int. J. Heat Fluid Flow 2015, 51, 110–119. [Google Scholar] [CrossRef]
- Rozati, A.; Tafti, D.K. Large-eddy simulations of leading edge film cooling: Analysis of flow structures, effectiveness, and heat transfer coefficient. Int. J. Heat Fluid Flow 2008, 29, 1–17. [Google Scholar] [CrossRef]
- Rozati, A.; Tafti, D.K. Effect of coolant–mainstream blowing ratio on leading edge film cooling flow and heat transfer—LES investigation. Int. J. Heat Fluid Flow 2008, 29, 857–873. [Google Scholar] [CrossRef]
- Rozati, A.; Tafti, D.K. Large eddy simulation of leading edge film cooling—Part II: Heat transfer and effect of blowing ratio. ASME J. Turbomach. 2008, 130, 041015. [Google Scholar] [CrossRef]
- Rozati, A.; Tafti, D.K.; Sreedharan, S.S. Effects of syngas ash particle size on deposition and erosion of a film cooled leading edge. ASME J. Turbomach. 2011, 133, 011010. [Google Scholar] [CrossRef]
- Ziefle, J.; Kleiser, L. Assessment of a film-cooling flow structure by large-eddy simulation. J. Turbul. 2008, 9, 1–25. [Google Scholar] [CrossRef]
- Gräf, L.; Kleiser, L. Large-eddy simulation of double-row compound-angle film cooling: Setup and validation. Comput. Fluids 2011, 43, 58–67. [Google Scholar] [CrossRef]
- Ziefle, J.; Kleiser, L. Numerical investigation of a film-cooling flow structure: Effect of crossflow turbulence. ASME J. Turbomach. 2013, 135, 041001. [Google Scholar] [CrossRef]
- Gräf, L.; Kleiser, L. Film cooling using antikidney vortex pairs: Effect of blowing conditions and yaw angle on cooling and losses. ASME J. Turbomach. 2014, 136, 011008. [Google Scholar] [CrossRef]
- Sakai, E.; Takahashi, T.; Watanabe, H. Large-eddy simulation of an inclined round jet issuing into a crossflow. Int. J. Heat Mass Transf. 2014, 69, 300–311. [Google Scholar] [CrossRef]
- Foroutan, H.; Yavuzkurt, S. Numerical simulations of the near-field region of film cooling jets under high free stream turbulence: Application of RANS and hybrid URANS/large eddy simulation models. ASME J. Heat Transf. 2015, 137, 011701. [Google Scholar] [CrossRef]
- Baek, S.I.; Yavuzkurt, S. Effects of flow oscillations in the mainstream on film cooling. Inventions 2018, 3, 73. [Google Scholar] [CrossRef]
- Yu, F.; Yavuzkurt, S. Near-field simulations of film cooling with a modified DES model. Inventions 2020, 5, 13. [Google Scholar] [CrossRef]
- Al-Zurfi, N.; Turan, A. LES of rotational effects on film cooling effectiveness and heat transfer coefficient in a gas turbine blade with one row of air film injection. Int. J. Therm. Sci. 2016, 99, 96–112. [Google Scholar] [CrossRef]
- Al-Zurfi, N.; Turan, A.; Nasser, A. Numerical investigation of rotation effects on anti-vortex film-cooling holes. Flow Turbul. Combust. 2016, 96, 133–162. [Google Scholar] [CrossRef]
- Al-Zurfi, N.; Nasser, A. LES of rotating film-cooling performance in a 1–1/2 turbine stage. Propuls. Power Res. 2019, 8, 85–107. [Google Scholar] [CrossRef]
- Al-Zurfi, N.; Turan, A.; Nasser, A.; Alhusseny, A. A numerical study of anti-vortex film-cooling holes designs in a 1-1/2 turbine stage using LES. Propuls. Power Res. 2019, 8, 275–299. [Google Scholar] [CrossRef]
- Li, W.; Li, X.; Ren, J.; Jiang, H. Large eddy simulation of compound angle hole film cooling with hole length-to-diameter ratio and internal crossflow orientation effects. Int. J. Therm. Sci. 2017, 121, 410–423. [Google Scholar] [CrossRef]
- Wang, Q.; Su, X.; Yuan, X. Large-eddy simulation of shaped hole film cooling with the influence of cross flow. Int. J.Turbo Jet Engines 2020, 10151520200012. [Google Scholar]
- Wang, L.; Li, X.; Ren, J.; Jiang, H. The interaction between upstream and downstream film cooling rows in flow field and heat transfer. Int. J. Therm. Sci. 2020, 149, 106176. [Google Scholar] [CrossRef]
- Wang, C.; Fan, F.; Zhang, J.; Huang, Y.; Feng, H. Large eddy simulation of film cooling flow from converging slot-holes. Int. J. Therm. Sci. 2018, 126, 238–251. [Google Scholar] [CrossRef]
- Wang, C.; Zhang, J.; Feng, H.; Huang, Y. Large eddy simulation of film cooling flow from a fanshaped hole. Appl. Therm. Eng. 2018, 129, 855–870. [Google Scholar] [CrossRef]
- Fan, F.; Wang, C.; Zhang, J. Large eddy simulation of film cooling on turbine vane. J. Therm. Sci. Tech. 2019, 14, JTST0014. [Google Scholar] [CrossRef]
- Wang, C.; Sun, X.; Fan, F.; Zhang, J. Study on trench film cooling on turbine vane by large-eddy simulation. Num. Heat Transf. Part A Appl. 2020, 78, 338–358. [Google Scholar] [CrossRef]
- Huang, K.; Zhang, J.; Wang, C.; Liu, S. Large-eddy simulation of single-row serrated trenched-hole film cooling on turbine guide vane. Num. Heat Transf. Part A Appl. 2022, 81, 119–141. [Google Scholar] [CrossRef]
- Jin, Y.; Lu, L.; Huang, Z.; Han, X. Numerical investigation of flat-plate film cooling using very-large eddy simulation method. Int. J. Therm. Sci. 2022, 171, 107263. [Google Scholar] [CrossRef]
- Stratton, Z.T.; Shih, T.I. Effects of density and blowing ratios on the turbulent structure and effectiveness of film cooling. ASME J. Turbomach. 2018, 140, 101007. [Google Scholar] [CrossRef]
- Milani, P.M.; Gunady, I.E.; Ching, D.S.; Banko, A.J.; Elkins, C.J.; Eaton, J.K. Enriching MRI mean flow data of inclined jets in crossflow with Large Eddy Simulations. Int. J. Heat Fluid Flow 2019, 80, 108472. [Google Scholar] [CrossRef]
- Gunady, I.E.; Milani, P.M.; Banko, A.J.; Elkins, C.J.; Eaton, J.K. Velocity and concentration field measurements and large eddy simulation of a shaped film cooling hole. Int. J. Heat Fluid Flow 2021, 90, 10883. [Google Scholar] [CrossRef]
- Oliver, T.A.; Bogard, D.G.; Moser, R.D. Large eddy simulation of compressible, shaped-hole film cooling. Int. J. Heat Mass Transf. 2019, 140, 498–517. [Google Scholar] [CrossRef]
- Hou, R.; Wen, F.; Luo, Y.; Tang, X.; Wang, S. Large eddy simulation of film cooling flow from round and trenched holes. Int. J. Heat Mass Transf. 2019, 144, 118631. [Google Scholar] [CrossRef]
- Hou, R.; Wen, F.; Wang, S.; Luo, Y.; Tang, X. Large eddy simulation of the trenched film cooling hole with different compound angles and coolant inflow orientation effects. Appl. Therm. Eng. 2019, 163, 114397. [Google Scholar] [CrossRef]
- Zhao, Z.; Wen, F.; Tang, X.; Luo, Y.; Hou, R.; Wang, Z. Large eddy simulation of an inclined jet in crossflow with vortex generators. Int. J. Heat Mass Transf. 2021, 170, 121032. [Google Scholar] [CrossRef]
- Zhao, Z.; Wen, F.; Tang, X.; Song, J.; Wang, Z. Large eddy simulation of pulsed film cooling with vortex generators. Int. J. Heat Mass Transf. 2021, 180, 12180. [Google Scholar] [CrossRef]
- Zhao, Z.; Wen, F.; Tang, X.; Song, J.; Luo, Y.; Wang, Z. Large eddy simulation of film cooling with vortex generators between two consecutive cooling rows. Int. J. Heat Mass Transf. 2022, 182, 121955. [Google Scholar] [CrossRef]
- Zhao, Z.; Wang, S.; Wen, F.; Tang, X.; Song, J.; Wang, Z. Large eddy simulation of compound angle film cooling with vortex generators. Int. J. Therm. Sci. 2022, 178, 107611. [Google Scholar] [CrossRef]
- Baek, S.I.; Ahn, J. Large eddy simulation of film cooling with triple holes: Injectant behavior and adiabatic film-cooling effectiveness. Processes 2020, 8, 1443. [Google Scholar] [CrossRef]
- Baek, S.I.; Ahn, J. Effects of bulk flow pulsations on film cooling with two sister holes. Appl. Sci. 2021, 11, 1537. [Google Scholar] [CrossRef]
- Baek, S.I.; Ryu, J.; Ahn, J. Large eddy simulation of film cooling with forward expansion hole: Comparative study with LES and RANS simulations. Energies 2021, 14, 2063. [Google Scholar] [CrossRef]
- Baek, S.-I.; Ahn, J. Large eddy simulation of film cooling involving compound angle hole with bulk flow pulsation. Energies 2021, 14, 7659. [Google Scholar] [CrossRef]
- Baek, S.-I.; Ahn, J. Effects of bulk flow pulsation on film cooling involving compound angle. Energies 2022, 15, 2643. [Google Scholar] [CrossRef]
- Zamiri, A.; You, S.J.; Chung, J.T. Large eddy simulation of unsteady turbulent flow structures and film-cooling effectiveness in a laidback fan-shaped hole. Aerosp. Sci. Tech. 2020, 100, 105793. [Google Scholar] [CrossRef]
- Zamiri, A.; You, S.J.; Chung, J.T. Large eddy simulation in the optimization of laidback fan-shaped hole geometry to enhance film-cooling performance. Int. J. Heat Mass Transf. 2020, 158, 120014. [Google Scholar] [CrossRef]
- Zamiri, A.; You, S.J.; Chung, J.T. Surface roughness effects on film-cooling effectiveness in a fan-shaped cooling hole. Aerosp. Sci. Tech. 2021, 119, 107082. [Google Scholar] [CrossRef]
- Zamiri, A.; Chung, J.T. Large eddy simulation of compound angle effects on cooling effectiveness and flow structure of fan-shaped holes. Int. J. Heat Mass Transf. 2021, 178, 121599. [Google Scholar] [CrossRef]
- Zamiri, A.; Chung, J.T. Large eddy simulation of internal coolant crossflow orientation effects on film-cooling effectiveness of fan-shaped holes. Int. J. Heat Mass Transf. 2022, 190, 122778. [Google Scholar] [CrossRef]
- Zamiri, A.; Barigozzi, G.; Chung, J.T. Large eddy simulation of film cooling flow from shaped holes with different geometrical parameters. Int. J. Heat Mass Transf. 2022, 196, 123261. [Google Scholar] [CrossRef]
- Chen, X.; Wang, Y.; Long, Y.; Weng, S. Effect of particle deposition on film cooling from fan-shaped holes. Int. J. Heat Mass Transf. 2021, 181, 122028. [Google Scholar] [CrossRef]
- Chen, X.; Wang, Y.; Long, Y.; Weng, S. Effect of partial blockage on flow and heat transfer of film cooling with cylindrical and fan-shaped holes. Int. J. Therm. Sci. 2021, 164, 106866. [Google Scholar] [CrossRef]
- Chen, X.; Long, Y.; Wang, Y.; Weng, S.; Luan, Y. Large eddy simulation of film cooling from cylindrical holes partially blocked by CaO-MgO-Al2O3-SiO2. Int. Comm. Heat Mass Transf. 2021, 129, 105754. [Google Scholar] [CrossRef]
- Kang, Y.S.; Rhee, D.-H.; Song, Y.J.; Kwak, J.S. Large Eddy Simulations on film cooling flow behaviors with upstream turbulent boundary layer generated by circular cylinder. Energies 2021, 14, 7227. [Google Scholar] [CrossRef]
- Kang, Y.S.; Jun, S.; Rhee, D. Large eddy simulations on fan shaped film cooling hole with upstream boundary layer turbulence effect generated by trip strip. ASME J. Thermal Sci. Eng. Appl. 2022, 14, 031006. [Google Scholar] [CrossRef]
- Dupuy, D.; Perrot, A.; Odier, N.; Gicquel, L.Y.; Duchaine, F. Boundary-condition models of film-cooling holes for large-eddy simulation of turbine vanes. Int. J. Heat Mass Transf. 2021, 166, 120763. [Google Scholar] [CrossRef]
- Liess, C. Experimental investigation of film cooling with ejection from a row of holes for the application to gas turbine blades. ASME J. Eng. Power 1975, 97, 21–27. [Google Scholar] [CrossRef]
- Tabor, G.R.; Baba-Ahmadi, M.H. Inlet conditions for large eddy simulation: A review. Comput. Fluids 2010, 39, 553–567. [Google Scholar] [CrossRef]
- Xie, B.; Gao, F.; Boudet, J.; Shao, L.; Lu, L. Improved vortex method for large-eddy simulation inflow generation. Comput. Fluids 2018, 168, 87–100. [Google Scholar] [CrossRef]
- Kong, H.; Choi, H.; Lee, J.S. Direct numerical simulation of turbulent thermal boundary layers. Phys. Fluids 2000, 12, 2555. [Google Scholar] [CrossRef]
- Ekkad, S.V.; Han, J.C.; Du, H. Detailed film cooling measurements on a cylindrical leading edge model: Effect of free-stream turbulence and coolant density. ASME J. Turbomach. 1998, 120, 799–807. [Google Scholar] [CrossRef]
- Kong, H.; Choi, H.; Lee, J.S. Dissimilarity between the velocity and temperature fields in a perturbed turbulent thermal boundary layer. Phys. Fluids 2001, 13, 1466–1479. [Google Scholar] [CrossRef]
- Yee, H.C.; Warming, R.F.; Harten, A. Implicit total variation diminishing (TVD) schemes for steady-state calculations. J. Comput. Phys. 1985, 57, 327–360. [Google Scholar] [CrossRef]
- Jiang, G.S.; Shu, C.W. Efficient implementation of weighted ENO schemes. J. Comput. Phys. 1996, 126, 202–228. [Google Scholar] [CrossRef]
- Germano, M.; Piomelli, P.; Moin, P.; Cabot, W.H. A dynamic sub-grid scale eddy viscosity model. Phys. Fluids 1991, 3, 1760–1765. [Google Scholar] [CrossRef]
- Lilly, D.K. A proposed modification of the germano sub-grid scale closure model. Phys. Fluids 1992, 4, 633–635. [Google Scholar] [CrossRef]
- Anderson, R.; Meneveau, C. Effects of the similarity model in finite-difference LES of isotropic turbulence using a Lagrangian dynamic mixed model. Flow Turbul. Combust. 1999, 62, 201–225. [Google Scholar] [CrossRef]
- Stoll, R.; Porté-Agel, F. Large-eddy simulation of the stable atmospheric boundary layer using dynamic models with different averaging schemes. Bound. Layer Meteorol. 2008, 126, 1–28. [Google Scholar] [CrossRef]
- Ducros, F.; Nicoud, F.; Poinsot, T. Wall-adapting local eddy-viscosity models for simulations in complex geometries. In Proceedings of the 6th ICFD Conference on Numerical Methods for Fluid Dynamic, Tblisi, Georgia, 21–24 June 1998; pp. 293–299. [Google Scholar]
- Seo, H.J.; Lee, J.S.; Ligrani, P.M. The effect of injection hole length on film cooling with bulk flow pulsations. Int. J. Heat Mass Transf. 1998, 41, 3515–3528. [Google Scholar] [CrossRef]
- Sinha, A.K.; Bogard, D.G.; Crawford, M.E. Film-cooling effectiveness downstream of a single row of holes with variable density ratio. ASME J. Turbomach. 1991, 113, 442–449. [Google Scholar] [CrossRef]
- Fujimoto, S. Large eddy simulation of film cooling flows using octree hexahedral meshes. In Proceedings of the ASME Turbo Expo 2012, Copenhagen, Denmark, 11–15 June 2012; p. GT2012-70090. [Google Scholar]
- Bose, S.T.; Park, G.I. Wall-modeled large-eddy simulation for complex turbulent flows. Annu. Rev. Fluid Mech. 2018, 50, 535. [Google Scholar] [CrossRef]
- Burd, S.W.; Kaszeta, R.W.; Simon, T.W. Measurements in film cooling flows: Hole L/D and turbulence intensity effects. ASME J. Turbomach. 1998, 120, 791–798. [Google Scholar] [CrossRef]
- Jung, I.S.; Ligrani, P.M.; Lee, J.S. Effects of bulk flow pulsations on phase-averaged and time-averaged film-cooled boundary layer flow structure. ASME J. Fluids Eng. 2001, 123, 559–566. [Google Scholar] [CrossRef]
- Schwarz, S.G.; Goldstein, R.J.; Eckert, E.R.G. The influence of curvature on film cooling performance. ASME J. Turbomach. 1991, 113, 472–478. [Google Scholar] [CrossRef]
- Goldstein, R.J.; Eckert, E.R.G.; Burggraf, F. Effects of hole geometry and density on three-dimensional film cooling. Int. J. Heat Mass Transf. 1974, 17, 595–607. [Google Scholar] [CrossRef]
- Sen, B.; Schmidt, D.L.; Bogard, D.G. Film cooling with compound angle holes: Heat transfer. ASME J. Turbomach. 1996, 118, 800–806. [Google Scholar] [CrossRef]
- Gritsch, M.; Schulz, A.; Wittig, S. Effect of internal coolant crossflow on the effectiveness of shaped film-cooling holes. ASME J. Turbomach. 2003, 125, 547–554. [Google Scholar] [CrossRef]
- Cho, H.H.; Rhee, D.H.; Kim, B.G. Enhancement of film cooling performance using a shaped film cooling hole with compound angle injection. JSME Int. J. Ser. B Fluids Therm. Eng. 2001, 44, 99–110. [Google Scholar] [CrossRef]
- Bell, C.M.; Hamakawa, H.; Ligrani, P.M. Film cooling from shaped holes. ASME J. Heat Transf. 2000, 122, 224–232. [Google Scholar] [CrossRef]
- Lee, H.W.; Park, J.J.; Lee, J.S. Flow visualization and film cooling effectiveness measurements around shaped holes with compound angle orientations. Int. J. Heat Mass Transf. 2002, 45, 145–156. [Google Scholar] [CrossRef]
- Lee, K.D.; Kim, K.Y. Shape optimization of a fan-shaped hole to enhance film-cooling effectiveness. Int. J. Heat Mass Transf. 2010, 53, 2996–3005. [Google Scholar] [CrossRef]
- Lee, K.D.; Kim, K.Y. Surrogate based optimization of a laidback fan-shaped hole for film-cooling. Int. J. Heat Fluid Flow 2011, 32, 226–238. [Google Scholar] [CrossRef]
- Seo, H.J.; Kang, Y.J.; Lee, H.C.; Kwak, J.S.; Park, J.S.; Lee, K.D. Optimization of the configuration of the laidback fan-shaped film cooling hole with a lateral expansion angle of 10 degrees. Appl. Therm. Eng. 2019, 153, 379–389. [Google Scholar] [CrossRef]
- Park, S.H.; Kang, Y.J.; Seo, H.J.; Kwak, J.S.; Kang, Y.S. Experimental optimization of a fan-shaped film cooling hole with 30 degrees-injection angle and 6-hole length-to-diameter ratio. Int. J. Heat Mass Transf. 2019, 144, 118652. [Google Scholar] [CrossRef]
- Wu, H.; Cheng, H.; Li, Y.; Rong, C.; Ding, S. Effects of side hole position and blowing ratio on sister hole film cooling performance in a flat plate. Appl. Therm. Eng. 2016, 93, 718–730. [Google Scholar] [CrossRef]
- Ahn, J.; Jung, I.S.; Lee, J.S. Film cooling from two rows of holes with opposite orientation angles: Injectant behavior and adiabatic film cooling effectiveness. Int. J. Heat Fluid Flow 2003, 24, 91–99. [Google Scholar] [CrossRef]
- Yao, J.; Zhang, K.; Wu, J.; Lei, J.; Fang, Y.; Wright, L.M. An experimental investigation on streamwise distance and density ratio effects on double-jet film-cooling. Appl. Therm. Eng. 2019, 156, 410–421. [Google Scholar] [CrossRef]
- Lu, Y.; Dhungel, A.; Ekkad, S.V.; Bunker, R.S. Effect of trench width and depth on film cooling from cylindrical holes embedded in trenches. ASME J. Turbomach. 2009, 131, 011003. [Google Scholar] [CrossRef]
- Abhari, R.S. Impact of rotor–stator interaction on turbine blade film cooling. ASME J. Turbomach. 1996, 118, 123–133. [Google Scholar] [CrossRef]
- Womack, K.M.; Volino, R.J.; Schultz, M.P. Measurements in film cooling flows with periodic wakes. ASME J. Turbomach. 2008, 130, 041008. [Google Scholar] [CrossRef]
- Mazzoni, M.C.; Klostermeier, C.; Rosic, B. Influence of large wake disturbances shed from the combustor wall on the leading edge film cooling. ASME J. Eng. Gas Turbines Power 2014, 136, 081503. [Google Scholar] [CrossRef]
- Sarkar, S.; Babu, H. Large eddy simulation on the interactions of wake and film-cooling near a leading edge. ASME J. Turbomach. 2015, 137, 011005. [Google Scholar] [CrossRef]
- Saumweber, C.; Schulz, A.; Wittig, S. Free-stream turbulence effects on film cooling with shaped holes. ASME J. Turbomach. 2003, 125, 65–73. [Google Scholar] [CrossRef]
- Ligrani, P.M.; Saumweber, C.; Schulz, A.; Wittig, S. Shock wave–film cooling interactions in transonic flows. ASME J. Turbomach. 2001, 123, 788–797. [Google Scholar] [CrossRef]
- Ligrani, P.M.; Gong, R.; Cuthrell, J.M.; Lee, J.S. Bulk flow pulsations and film cooling—I. Injectant behavior. Int. J. Heat Mass Transf. 1996, 39, 2271–2282. [Google Scholar] [CrossRef]
- Lee, J.S.; Jung, I.S. Effect of bulk flow pulsations on film cooling with compound angle holes. Int. J. Heat Mass Transf. 2002, 45, 113–123. [Google Scholar] [CrossRef]
- Ligrani, P.M.; Williams, W. Effects of an embedded vortex on injectant from a single film-cooling hole in a turbulent boundary layer. ASME J. Turbomach. 1990, 112, 428–436. [Google Scholar] [CrossRef]
- Teekaram, A.J.H.; Forth, C.J.P.; Jones, T.V. The use of foreign gas to simulate the effects of density ratios in film cooling. ASME J. Turbomach. 1989, 111, 57–62. [Google Scholar] [CrossRef]
- Wright, L.M.; McClain, S.T.; Clemenson, M.D. Effect of density ratio on flat plate film cooling with shaped holes using PSP. ASME J. Turbomach. 2011, 133, 041011. [Google Scholar] [CrossRef]
- Hale, C.A.; Plesniak, M.W.; Ramadhyani, S. Film cooling effectiveness for short film cooling holes fed by a narrow plenum. ASME J. Turbomach. 2000, 122, 553–557. [Google Scholar] [CrossRef]
- Oda, Y.; Takeishi, K.; Shimizu, D. Large eddy simulation of film cooling with swirling coolant flow. In Proceedings of the ASME/JSME 2011 8th Thermal Engineering Joint Conference, Honolulu, HI, USA, 13–17 March 2011; p. T10102. [Google Scholar]
- Kohli, A.; Bogard, D.G. Turbulent transport in film cooling flows. ASME J. Heat Transf. 2005, 127, 513–520. [Google Scholar] [CrossRef]
- Coletti, F.; Benson, M.J.; Ling, J.; Elkins, C.J.; Eaton, J.K. Turbulent transport in an inclined jet in crossflow. Int. J. Heat Fluid Flow 2013, 43, 149–160. [Google Scholar] [CrossRef]
- Schroeder, R.P.; Thole, K.A. Effect of high freestream turbulence on flowfields of shaped film cooling holes. ASME J. Turbomach. 2016, 138, 091001. [Google Scholar] [CrossRef]
- Schroeder, R.P.; Thole, K.A. Thermal field measurements for a shaped hole at low and high freestream turbulence intensity. ASME J. Turbomach. 2017, 139, 021012. [Google Scholar] [CrossRef]
- Kaszeta, R.; Simon, T. Measurement of eddy diffusivity of momentum in film cooling flows with streamwise injection. ASME J. Turbomach. 2000, 122, 178–183. [Google Scholar] [CrossRef]
- Ling, J.; Ryan, K.J.; Bodart, J.; Eaton, J.K. Analysis of turbulent scalar flux models for a discrete hole film cooling flow. ASME J. Turbomach. 2016, 138, 011006. [Google Scholar] [CrossRef]
- Liu, C.; Zhu, H.; Bai, J. New development of the turbulent Prandtl number models for the computation of film cooling effectiveness. Int. J. Heat Mass Transf. 2011, 54, 874–886. [Google Scholar] [CrossRef]
- Milani, P.M.; Ling, J.; Saez-Mischlich, G.; Bodart, J.; Eaton, J.K. A machine learning approach for determining the turbulent diffusivity in film cooling flows. ASME J. Turbomach. 2018, 140, 021006. [Google Scholar] [CrossRef]
- Milani, P.M.; Ling, J.; Eaton, J.K. Generalization of machine-learned turbulent heat flux models applied to film cooling flows. ASME J. Turbomach. 2020, 142, 011007. [Google Scholar] [CrossRef]
- Jung, I.S.; Lee, J.S.; Ligrani, P.M. Effects of bulk flow pulsations on film cooling with compound angle holes: Heat transfer coefficient ratio and heat flux ratio. ASME J. Turbomach. 2002, 124, 142–151. [Google Scholar] [CrossRef]















| Institution (Country) | Software | Convection Term | SGS Model | Inflow Generation |
|---|---|---|---|---|
| Louisiana State Univ. [18,25,26,27,28] (USA) | In house | 3rd upwind, WENO | Dynamic, local averaging | Velocity profile |
| RWTH Aachen [29,30,31,32,33] (Germany) | In house | AUSM | MILES | Rescaling |
| KIT [34,35,36,37] (Germany) | Fluent/ In house | - | Smagorinsky, Cs = 0.1 | Rescaling |
| Virginia Tech. [38,39,40,41] (USA) | In house | - | Dynamic | Uniform |
| ETH [42,43,44,45] (Switzerland) | In house | - | ADM | SEM (synthetic eddy) |
| Denken [46] (Japan) | In house | Bounded central difference | Dynamic | Laminar profile |
| Penn State Univ. [47,48,49] (USA) | Fluent | - | Smagorinsky–Lilly | Velocity |
| Manchester Univ. [50,51,52,53] (UK) | Star-CCM+ | Bounded central difference | Wall-adapting local eddy viscosity | Uniform |
| Tsinghua Univ. [54,55,56] (China) | Fluent | Bounded central difference | Wall-adapting local eddy viscosity | Velocity, Tu = 5% |
| Nanjing Aviation Univ. [57,58,59,60,61,62] (China) | Fluent | Bounded central difference | Smagorinsky, Cs = 0.1 | Spectral Synthesizer Method |
| Purdue Univ. [63] (USA) | In house | Beam and Warming | - | Velocity |
| Stanford Univ. [64,65] (USA) | Vida (Cascade) | - | Vremen | Rescaling |
| Univ. Texas Austin [66] (USA) | PlasComCM | Pade 6 | Wall-adapting local eddy viscosity | Velocity |
| Harbin Inst. Tech. [67,68,69,70,71,72] (China) | Fluent | Bounded central difference | Wall-adapting local eddy viscosity | Velocity |
| Kookmin Univ. [5,6,73,74,75,76,77] (Korea) | Fluent | Bounded central difference | Smagorinsky–Lilly | Velocity |
| Korea Univ. [78,79,80,81,82,83] (Korea) | CFX/Fluent | Bounded central difference | Wall-adapting local eddy viscosity | Uniform, Tu = 1% |
| Shanghai Xiaotong [84,85,86] (China) | Fluent | Bounded central difference | Wall-adapting local eddy viscosity | Spectral Synthesizer Method |
| KARI [87,88] (Korea) | CFX | Bounded central difference | Wall-adapting local eddy viscosity | Trip wire/ Cylinder |
| CEDEX [89] (France) | In house | - | Wall-adapting local eddy viscosity | Velocity |
Publisher’s Note: MDPI stays neutral with regard to jurisdictional claims in published maps and institutional affiliations. |
© 2022 by the author. Licensee MDPI, Basel, Switzerland. This article is an open access article distributed under the terms and conditions of the Creative Commons Attribution (CC BY) license (https://creativecommons.org/licenses/by/4.0/).
Share and Cite
Ahn, J. Large Eddy Simulation of Film Cooling: A Review. Energies 2022, 15, 8876. https://doi.org/10.3390/en15238876
Ahn J. Large Eddy Simulation of Film Cooling: A Review. Energies. 2022; 15(23):8876. https://doi.org/10.3390/en15238876
Chicago/Turabian StyleAhn, Joon. 2022. "Large Eddy Simulation of Film Cooling: A Review" Energies 15, no. 23: 8876. https://doi.org/10.3390/en15238876
APA StyleAhn, J. (2022). Large Eddy Simulation of Film Cooling: A Review. Energies, 15(23), 8876. https://doi.org/10.3390/en15238876

