Next Article in Journal
Potential of CO2 Emission Reduction via Application of Geothermal Heat Exchanger and Passive Cooling in Residential Sector under Polish Climatic Conditions
Previous Article in Journal
A Review of Electricity Tariffs and Enabling Solutions for Optimal Energy Management
 
 
Font Type:
Arial Georgia Verdana
Font Size:
Aa Aa Aa
Line Spacing:
Column Width:
Background:
Article

Levelized Cost of Heat of the CSPth Hybrid Central Tower Technology

by
Irving Cruz-Robles
,
Jorge M. Islas-Samperio
and
Claudio A. Estrada
*
Institute of Renewable Energy, National Autonomous University of Mexico (IER-UNAM), Priv. Xochicalco S/N, Temixco 62580, Morelos, Mexico
*
Author to whom correspondence should be addressed.
Energies 2022, 15(22), 8528; https://doi.org/10.3390/en15228528
Submission received: 13 October 2022 / Revised: 5 November 2022 / Accepted: 8 November 2022 / Published: 15 November 2022
(This article belongs to the Section A2: Solar Energy and Photovoltaic Systems)

Abstract

Process heating represents about two-thirds of the energy that the industry sector consumes worldwide; this energy comes primarily from burning fossil fuels. There is a wide variety of processes for which solar technologies can supply energy. Within these technologies, the CSPth Central Tower produces heat at temperatures about 600 °C, making it suitable for high-temperature processes. A CSPth Central Tower can be combined with a fuel-based system to form a CSPth Hybrid Central Tower system, which results in a high-reliable energy source with low rates of CO2 emissions. In this work, the levelized cost of heat (LCOH) of the CSPth Hybrid Central Tower technology was calculated. SolarPILOT was used to design and evaluate the CSPth Central Tower; fuel consumption was calculated using a steady-state energy balance. The LCOH was evaluated considering the CO2 prices recommended by the High-Level Commission on Carbon Pricing. The analysis shows that this technology can be highly competitive and, in certain cases, shows lower LCOH than fuel-based systems. However, these cases depend on reasonable CO2 prices, low costs of capital (≈5%), and efforts to reduce the capital expenditure, which can nowadays be possible for CSPth Hybrid Central Tower systems designed with large solar multiples.

1. Introduction

Energy is an important input for all kinds of activities; however, energy consumption is highly correlated with greenhouse gas emissions: in 2018, the annual energy-related CO2 emissions reached 33.1 Gt of CO2 [1]. In the same year, the industry sector participated with 29% of the world’s energy consumption [2]. Process heating represents about two-thirds of the energy that the industry uses [3], this energy comes primarily from burning fossil fuels, meanwhile renewable energy covers just 10% of this heat demand [4]. Burning fossil fuels also leads to price instabilities, shortages, and political conflicts. As industrial production will increase by a factor of four by 2050 [5], there is a great interest to deploy renewable technologies for industrial process heating.
Industrial processes can be classified into three temperature levels: low (<100 °C), medium (100–400 °C), and high (>400 °C) temperature processes [6]. There are several studies about using non-concentrating and concentrating solar thermal technologies for process heat supply. Examples of such applications are found in sectors like the dairy industry [7,8], district heating [9], textile industry [10,11], food industry [12,13], and pharmaceutical industry [14]. Nowadays, several solar thermal systems provide heat to a large variety of industrial processes [15,16,17,18].
Implementation of solar thermal systems requires both technical and economic assessments. Whereas the technical evaluation can be carried out using a specialized software, the economic evaluation can be carried out through several techniques: common techniques include the payback period (PB), the net present value (NPV), and the internal rate of return (IRR); however, a better framework to express the cost of producing heat is the levelized cost of heat (LCOH) [19].
The LCOH has been used to analyze low-temperature solar thermal technologies [20] and medium-temperature solar thermal technologies [21,22,23,24]. Nevertheless, these technologies provide heat at temperatures below 350 °C. High-temperature processes and heat loads greater than 10 MWth are potential opportunities for alternative energy sources [25].
At the current commercial state, the Concentrating Solar Power (CSP) Central Tower technology produces heat at temperatures above 600 °C and can be scaled in the order of megawatts. Furthermore, CSP systems provide a high-reliable energy supply if combined with fuel-based systems: this combination is known as CSP Hybrid systems [26]. It should be noted that “CSP” refers to electric power generation; for this work, the term CSPth was introduced to refer to Concentrating Solar Thermal Power. The above-mentioned characteristics make CSPth Hybrid Central Tower systems (CSPth Hybrid-CT systems) a promising technology for delivering high-temperature heat to high-temperature industrial processes.
In this context, CSPth Hybrid-CT systems have been studied before for the ammonia production process [27]; however, in that work the economic parameter was the ammonia generation cost instead of the LCOH. These kinds of economic parameters make it difficult for other industries to visualize the economic potential of using this technology for their processes. On the other hand, studies about the LCOH of the CSPth Hybrid Central Tower technology have not been found.
Therefore, the purpose of this paper is to evaluate the economic potential of the CSPth Hybrid Central Tower technology through the levelized cost of heat, so a wide range of industries might have a clear notion of the competitiveness of this renewable technology against the conventional sources of energy. The paper includes a sensitivity assessment that considers changes in the solar resource, the investment cost (capital expenditure-CAPEX), the O&M expenses, the discount rate, and the solar multiple. The study also includes an estimation of the avoided greenhouse gas emissions and the marginal abatement costs. Section 1.1 gives a short review of process heating systems and mentions the feasibility of solar thermal technologies for process heating, Section 2 describes the methodology of this work, Section 3 presents some characteristics of the CSPth Hybrid Central Tower systems designed for a reference location, Section 4 presents results and discussions, and Section 5 presents the conclusions of this work.

Feasibility of Solar Thermal Technologies for Industrial Process Heating

Process heating systems can be broken into three basic categories: fuel-based process heating, electric-based process heating, and steam-based process heating [28]. The process characteristics define the selection of the heating system; the process can be either a discrete or a continuous process and require either a direct or an indirect heating method. Industrial processes often take energy from a heat transfer medium (indirect method). Heat transfer mediums should have a low vapor pressure, high heat capacity, low viscosity, high thermal stability, and low corrosiveness [29]; common mediums are steam, pressurized water, thermal oil, and air.
Steam-based systems supply around 30% of the industrial energy consumption worldwide [30]. Steam is an efficient energy carrier; it can be used to control temperature and pressure of chemical processes, remove contaminants, and other miscellaneous applications [28]. Hot air is commonly used at temperatures around 250 °C for drying processes, which are highly relevant in the industry. Hot air is produced either by electrical heating or using a heat transfer medium [31]. Table 1 lists common applications of process heat and the temperature range of these processes.
Renewable technologies allow energy consumers to use clean energy sources, reducing their fossil fuel dependency. Among renewable energies, solar energy is the most abundant energy source in the planet; it is related to energy self-sufficiency, energy access in isolated areas, and employment creation [33]. Solar thermal energy is a suitable option for industrial process heating; whereas the conversion efficiency from solar energy to electricity is between 15 and 20%, the conversion efficiency from solar energy to thermal energy is up to 70% [29].
Table 2 summarizes the temperature range of non-concentrating and concentrating solar thermal technologies. The maximum operating temperature of the current commercial systems is about 600 °C [34], which corresponds to the Central Tower technology; however, temperatures of about 800 °C have been achieved using air as the heat transfer medium [35,36,37].
Industrial processes require a stable energy source because the stability defines both the process efficiency and the quality of products. In this sense, CSPth systems have two advantages: CSPth systems can use thermal energy storage (TES) systems and operate in combination with fuel-based systems. TES systems are low-cost and highly efficient methods to store energy and mitigate short fluctuations. Operating temperature of commercial TES systems can reach about 585 °C for CSPth Central Tower systems [39].

2. Methodology

The methodology consisted of five major steps: (1) defining the CSPth Hybrid-CT system, (2) generating the layout of the CSPth Central Tower (using SolarPILOT), (3) evaluating the layout’s performance, (4) evaluating the steady-state energy balance of the CSPth Hybrid-CT system, and (5) estimating the LCOH of the CSPth Hybrid-CT system. Three geographic sites were chosen to carry out the analysis. These locations correspond to Hermosillo, Sonora (annual DNI 2680 kWh/m2); Altamira, Tamaulipas (annual DNI 1851 kWh/m2); and the Region of Antofagasta, Chile (annual DNI 3576 kWh/m2).

2.1. Definition of the CSPth Hybrid-CT System and Suppositions for the Analysis

Figure 1 presents a general scheme for the CSPth Hybrid-CT system. The figure shows the plant configuration and the major components of the system: heliostat field, tower, receiver, TES system, steam-generation system (SGS), and fuel-based boiler. Auxiliary components of the system are not considered in the analysis; therefore, the LCOH results are not weighted by the energy parasitics, which usually accounts for about 10% of the electricity output in power generating systems [40].
The heliostat field reflects the solar irradiation to the receiver device; as the irradiation is absorbed, the receiver’s temperature increases, this allows the receiver to transfer thermal energy to a fluid. The common heat transfer fluid is molten salt [41]. After being heated, the molten salt is sent to the hot-tank for further dispatching to a steam generation system. The fuel-based boiler operates if there is not enough solar energy to fulfill the heat demand.
Data from McMillan and Mark [25] suggest that alternative heat generators, such as Concentrating Solar Technologies, that can provide thermal power outputs between 10 MWth and 200 MWth are potentially applicable to several industries. In this sense, a design thermal power output of 50 MWth was used for the analysis.
The analysis of the CSPth Hybrid-CT system was performed considering the following assumptions:
  • Just the major components of the CSPth Hybrid system were considered.
  • The system’s performance was evaluated throughout the year, using time steps of 1 h.
  • The system was considered to operate in steady-state.
  • The annual energy production was assumed constant for the system’s lifespan.
  • Pressure drops were neglected.
  • Electrical parasitics were not considered.
  • The fuel-based boiler was considered to operate with natural gas.
  • The fuel-based boiler’s efficiency was considered to be 85%, which corresponds to high level efficiency [30].
  • The system’s lifespan was considered to be 30 years.

2.2. Layout of the CSPth Central Tower

The CSPth Central Tower was designed using SolarPILOT. This software provides layout, characterization, optimization capabilities, and parametric simulation [42].
Several layouts were generated to evaluate the effect of the solar multiple. The solar multiple (S.M.) is the ratio between the energy delivered by the system when it operates at design conditions and the nominal energy demand.
The general procedure to generate every layout was as follow:
  • Selection of a thermal power.
  • Selection of the design point.
  • Generation of the layout.
  • Optimization of the layout based on the system’s performance.
Two parameters define de design point (item 2): the sun position for the layout generation and the design direct normal irradiation (DNI). The layouts were generated for the noon of the spring equinox. The design DNI is a highly relevant parameter: a low design DNI value generates an oversized solar field, increasing the capital expenditure; on the contrary, a high design DNI value generates an undersized solar field, which results in poor performance most of the year. The design DNI value was selected after evaluating the performance of six layouts that were generated with different DNI values.

2.3. Energy Balance of the CSPth Hybrid-CT System

The energy that the receiver transfers to the heat transfer fluid was calculated using the following procedure (steps 1–4):
  • The optical efficiency of the solar field was evaluated at 146 sun positions.
  • For every hour of the year between the sunrise and the sunset, the efficiency value was taken from the nearest sun’s position that was evaluated in step 1.
  • For every hour before sunrise and after sunset, the solar field’s efficiency was fixed at zero.
  • The energy that the heat transfer fluid absorbs was calculated with Equation (1).
E S o l a r i = η S F i D N I i A S F Q R l o s s
i: Hour of the year [index].
ASF: Solar field’s area [m2].
DNIi: Direct Normal Irradiation [W/m2].
ηSFi: Solar field’s efficiency [%].
QR-Loss: Receiver’s heat loss [W/m2].
For this work, “QR-Loss was assumed constant at a typical value of 30 kW/m2 [43]; as a consequence of keeping a constant “QR-Loss”, the product “ηSFiDNIiASF can be lower than “QR-Loss” for low DNI values or low solar field´s efficiencies. In these cases, “ESolari was changed by zero.
The energy balance of the TES system was calculated with Equation (2).
d T E S i d t = h i n d m i n i d t h o u t d m o u t i d t d Q l o s s i d t
dTESi/dt: Energy change in the TES system at time i [J/h]
hin(dmini/dt): Energy entering the system at time i [J/h]
hout(dmouti/dt): Energy entering the system at time i [J/h]
dQlossi/dt: Energy loss at the TES system [J/h]
Kolb [43] estimates a thermal energy loss of 1 MWth for a TES system of 5000 MWh; this represents an hourly loss of 0.02%. For this work, the energy loss at time “i” was assumed to be 1% of the stored energy at time “i − 1”.
d Q l o s s i d t = 0.01   T E S i 1
Equations (4)–(7) were used to calculate the charging and discharging process of the TES system.
h i n d m i n _ i d t = { 0 E S o l a r T E S i ;   i f   η P   η S G E S o l a r i E D ;   i f   η P   η S G E S o l a r i > E D
E S o l a r T E S i = = { E S o l a r i ( E D /   η P   η S G ) S E U l i m T E S i 1 ;   i f   T E S i 1 + E S o l a r i ( E D /   η P   η S G ) S E U l i m ;   i f   T E S i 1 + E S o l a r i ( E D /   η P   η S G ) > S E U l i m
h o u t d m o u t i d t = { 0 E T E S H T F i ;   i f   η P   η S G E S o l a r i E D   o r   T E S i 1 = S E L l i m ;   i f   η P   η S G E S o l a r i < E D   a n d   T E S i 1 > S E L l i m
E T E S H T F i = = { ( E D / η P   η S G ) E S o l a r i T E S i 1 S E L l i m ;   i f   T E S i 1 + E S o l a r i ( E D / η P   η S G ) S E L l i m ;   i f   T E S i 1 + E S o l a r i ( E D / η P   η S G ) < S E L l i m
ED: Energy demand per hour (50 MWh)
ηP: Thermal efficiency of pipelines [%]. This value was assumed to be 98%.
ηSG: Efficiency of the steam generation system [%]. This value was assumed to be 95%.
SEU-lim: Upper charging limit of the TES system [J]
SEL-lim: Lower discharging limit of the TES system [J]
The fuel consumption was calculated using Equations (8) and (9).
F C i = = { ( E D η P   η S G E S o l a r i ) / η P η B   E F H T F i / η P η B ;   i f   η P   η S G E S o l a r i E D   a n d   T E S i 1 = S E L l i m ;   i f   η P   η S G E S o l a r i E D   a n d   T E S i 1 > S E L l i m
E F H T F i = = { 0 E D η P   η S G ( E S o l a r i + E T E S H T F i ) ; i f   η P   η S G ( E S o l a r i + E T E S H T F i ) = E D ; i f   η P   η S G ( E S o l a r i + E T E S H T F i ) < E D
ηb: Efficiency of the fuel-based boiler [%]

2.4. Cost of the CSPth Hybrid-CT System

The cost of the CSPth Hybrid-CT system was separated into direct and indirect costs (Equation (10)). The direct costs consist of the capital expenditure related to the main components of the CSPth Hybrid-CT system (Equation (11)); the indirect costs were calculated as a percentage of the direct costs. Indirect costs include several owner’s costs: land cost, planning and contracting costs, engineering and construction management, and contingency costs [44].
S C = D C + I C
D C = ( H F C + T C + R C + T E S C + S G S C + B C )
HFC: Heliostats field cost (USD)
TC: Tower cost (USD)
RC: Receiver cost (USD)
TESC: TES system cost (USD)
SGSC: Steam generation system cost (USD)
BC: Fuel-based boiler cost (USD)
Table 3 summarizes the reference data for the cost of the system´s components. The heliostat field cost was calculated by multiplying the heliostat field area by a solar field price. Although a solar field price of 150 USD/m2 is used in the most recent reference of Table 3, for this work a conservative value of 200 USD/m2 was assumed for the analysis. The TES system cost was calculated by multiplying the TES capacity by 30 USD/kWth. The tower cost was calculated with an exponential function, Equation (12) [45]. The receiver cost, the steam generation system cost, and fuel-based boiler cost were calculated using a capacity function, Equation (13) [45].
T   c o s t = C k e ( s ) H
C x = C R ( S x / S R ) s
CX: Estimated cost of equipment of size “Sx (USD)
CR: Reference cost of equipment of size “SR (USD)
H: tower’s height (m)
S: scaling exponent ().
The scaling exponents were 0.0113 for the tower, 0.7 for the receiver, and 0.8 for both the steam generation system and the fuel-based boiler [45]. The reference costs in Table 3 were actualized for Equation (13). The actualizations were carried out using the Chemical Engineering Plant Cost Index 2019 (CEPCI 2019), Equation (14).
C R = C ( I L / I O )
C: reference cost at year of reference (USD)
IL: Index of the CEPCI 2019
IO: Index of the CEPCI at the reference year.

2.5. LCOH Calculation

The levelized cost of heat (LCOH) is analogous to the levelized cost of energy (LCOE), which is the common economic measure for electric power generation systems [56,57].
The LCOH can be defined as the average cost in net present value (NPV) of a unit of heat that is produced by a system. The NPV of the costs incurred during the system’s lifespan must equal the NPV of all the annual energy production multiplied by the LCOH in the same period (Equation (15)). The LCOH was calculated using Equation (16).
n = 0 N C o s t s n ( 1 + r ) n = n = 0 N A E P * L C O H ( 1 + r ) n
L C O H = ( C A P E X + n = 1 N C o s t s n ( 1 + r ) n ) / n = 1 N A E P ( 1 + r ) n
LCOH: Levelized cost of heat (Cents USD/kWhth)
AEP: Annual energy production of the CSPth Hybrid-CT system (MWhth)
CAPEX: Capital expenditure (USD)
Costsn: Annual costs incurred at year “n” (USD)
r: Discount rate (%)
N: System´s lifespan ()
In Equation (16), the capital expenditure is not discounted since it occurs at time 0. The annual costs that are discounted comprise four concepts: operation and maintenance expenses O & M , insurance I , annual fuel expenses F E , and a carbon price for the CO2 emissions (see Section 2.6). Insurance was considered for this analysis because it is an efficient mechanism to avoid the high economic risks associated with non-mature technologies. Table 4 shows the values used for the O&M expenses, insurance, and the lifespan. A discount rate of 8% was used to calculate the LCOH. The LCOH was calculated at constant value (2019 dollars).
The annual fuel expenses “FEn were calculated considering the annual fuel consumption and the fuel price of natural gas (Equation (17)).
F E n = F P n i = 1 8760 F C i
FPn: Fuel price of natural gas at year “n” in 2019 dollars (USD)
FCi: Fuel consumption at time “i” (J)
The price of natural gas is considerably different around the world [63] in this sense, the LCOH was calculated for several fuel price scenarios (FPS) (see Table 5). To include the change in real terms of the natural gas price over time, an arithmetic gradient was applied to the initial fuel price (price in 2019). This gradient was calculated based on the price projections of the U.S. Energy Information Administration (EIA) for the natural gas spot price at Henry Hub. EIA suggests for the reference case that the natural gas spot price will be approximately 3.8 USD/MMBTU by 2050 (in 2019 dollars) [64]. This implies an increase in real terms of approx. USD 0.04 per year considering that the natural gas price was 2.56 USD/MMBTU in 2019 [65].

2.6. Pricing CO2 Emissions

Carbon pricing creates a financial incentive that drives technological innovation and investment in clean energy. Explicit carbon prices are introduced through taxes on fossil fuels or by putting a price on GHG emissions; additionally, emissions are regulated using carbon market systems. There are two types of carbon markets: Emission Trading Systems (ETS) and Baseline-and-Credit mechanisms [66]. In carbon markets, the price of allowances or credits for compliances vary regarding local regulations (see Table 6).
Today, 21.5% of the global GHG emissions are covered by carbon pricing instruments [68]. However, nowadays, most carbon prices remain far below the range needed to help meet the limit of 1.5 °C [69]. The High-Level Commission on Carbon Prices suggests that a carbon price consistent with the Paris Agreement’s goal should be at least 40–80 USD/tCO2e by 2020 and 50–100 USD/tCO2e by 2030 [70].
One instrument that is gaining momentum is the voluntary carbon pricing. Currently, nearly half of the world’s 500 biggest companies use or plan to use this instrument [71]. Companies use this instrument to address the risk of an increase in the price of GHG emissions. The common types of internal carbon prices are the internal fee, which produces actual financial flows, and the shadow price, which is a hypothetical cost to evaluate investments decisions. In 2020, the median internal carbon price disclosed by companies was 25 USD/tCO2e [71].
For this work, the LCOH (Equation (16)) was calculated considering a shadow price in line with the recommendations of the High-Level Commission on Carbon Prices. The LCOH was calculated with a price of 40 USD/tCO2e for the first 10-years period, 50 USD/tCO2e for the second 10-years period, and 60 USD/tCO2e for the last 10-years period.

2.7. Marginal Abatement Cost

Compared to fuel-based systems, CSPth Hybrid-CT systems provide energy with low rates of CO2 emissions. The CO2-avoided emissions were calculated using Equation (18).
A E C O 2 = R E C O 2 ( ( A E P / η P η B ) i = 1 8760 F C i )
RE-CO2: Emission factor [Kg of CO2/MWh]
AEP: Annual energy production of the CSPth Hybrid-CT system [MWhth]
For natural gas, R E C O 2 = 0.20196   ton   of   CO 2 / MWh [72].
The marginal abatement costs are defined as the estimated cost of avoiding a ton of CO2 emissions. This value is often used as a reference to establish the carbon price needed to trigger abatement measures. The marginal abatement cost was calculated with Equation (19). To obtain the real value of the marginal abatement costs, the LCOH of the CSPth Hybrid-CT system and LCOH of the Fuel-Based system were calculated without pricing the CO2 emissions.
M A C = A E P ( L C O H L C O H F B   S ) A E C O 2  
LCOH: LCOH of the CSPth Hybrid-CT system
LCOHF-BS: LCOH of a Fuel-Based system

3. Technical Characteristics of the CSPth Hybrid-CT Systems Designed for the Reference Location

The reference location corresponds to Hermosillo, Sonora, Mexico (latitude 29° and longitude −110°). The solar resource data were taken from the NREL National Solar Radiation Database [73]. The Typical Meteorological Year data (annual DNI = 2680 kWh/m2) was used to evaluate the annual energy production.
The design DNI value was chosen after comparing the technical and economic results of six systems designed with different DNI values. Figure 2 shows how the design DNI value affect both the LCOH of the CSPth Central Tower and the solar energy contribution. In general, increasing the design DNI value leads to a reduction in the solar energy contribution. The minimum LCOH (6.37 Cents/kWhth) corresponds to a design DNI of 800 W/m2; this LCOH was calculated considering just the solar energy contribution. Figure 2 shows the excess of solar energy and the percentage of the annual energy production that is produced when the thermal power of the CSPth Central Tower is below 50 MWth. The excess of solar energy occurs when the CSPth Central Tower produces more energy than the energy demand. The first parameter shows that the solar field is oversized for design DNI values below 800 W/m2; on the contrary, the second parameter shows that the solar field is undersized for design DNI values above 800 W/m2.
However, the LCOH of the CSPth Hybrid-CT system changes if considering both the solar energy contribution and the energy that is produced with fossil fuel. Figure 3 show the effect of the design DNI value on both the solar fraction and the LCOH. An increase in the solar fraction leads to an increase in the LCOH; to clearly show this effect, the LCOH values were calculated without pricing the CO2 emissions. Figure 3 shows the capital expenditure for the system.
Considering the results of Figure 2 and Figure 3, the value of 800 W/m2 was selected to be the design DNI. Figure 4 shows the layout of the CSPth Central Tower; the figure shows the solar field’s arrangement and the heliostats’ efficiencies at the design point. The solar field achieves an optical efficiency of 57.41%, including the receiver’s efficiency. A typical constrain for tubular receivers is the incident flux; this parameter is usually kept below 1200 kW/m2 in order to avoid fractures and to conserve the shape and strength of the receiver. The average incident flux and the peak incident flux are 467 kW/m2 and 1130 kW/m2, respectively; these values were obtained using SolTrace.
Figure 5 shows the optical efficiency of the system at 146 sun positions. Because the solar resource and the optical efficiencies vary throughout the year, the CSPth Central Tower operates at off-design most of the time; therefore, the heat transfer fluid absorbs different rates of thermal power per hour. Figure 6 shows the thermal power absorbed by the heat transfer fluid. Annually, the system delivers around 128,747 MWh of solar thermal energy.
To increase the solar energy contribution, the CSPth Central Tower was designed with solar multiples of 1.5, 2, and 2.5; a thermal energy storage system has been included in the analysis of these systems. The amount of stored energy depends strongly on the season. Figure 7 shows how the TES capacity determines the amount of stored energy during the summer and winter solstices. At the summer solstice, the CSPth Central Tower produces an energy surplus equivalent to 11 h of energy demand; however, at the winter solstice the energy surplus is equivalent to 6 h of energy demand.
The TES capacity was chosen after calculating the LCOH of the CSPth Central Tower systems for different TES capacities; this LCOH was calculated considering just the solar energy contribution. Figure 8 shows that the minimum LCOH for the systems designed with solar multiples of 1.5, 2, and 2.5 was achieved with TES capacities of 5, 9, and 13 h, respectively.
Table 7 presents some characteristics of the CSPth Hybrid-CT systems that are further analyzed in Section 5. The increase in capital expenditure between these systems results in significant increases of the solar fraction.

4. Results and Discussions

This section presents the results that were obtained using the methodology of Section 3. First, the section shows the LCOH of the CSPth Hybrid-CT systems of Table 7 (reference location) and the LCOH of a fuel-based system. The section includes a sensitivity analysis. Then, the section presents the LCOH of the CSPth Hybrid-CT systems considering a 20% reduction in the CAPEX of the CSPth Central Tower and using a discount rate of 5%. Finally, the section presents the avoided CO2 emissions and the marginal abatement costs for this technology.
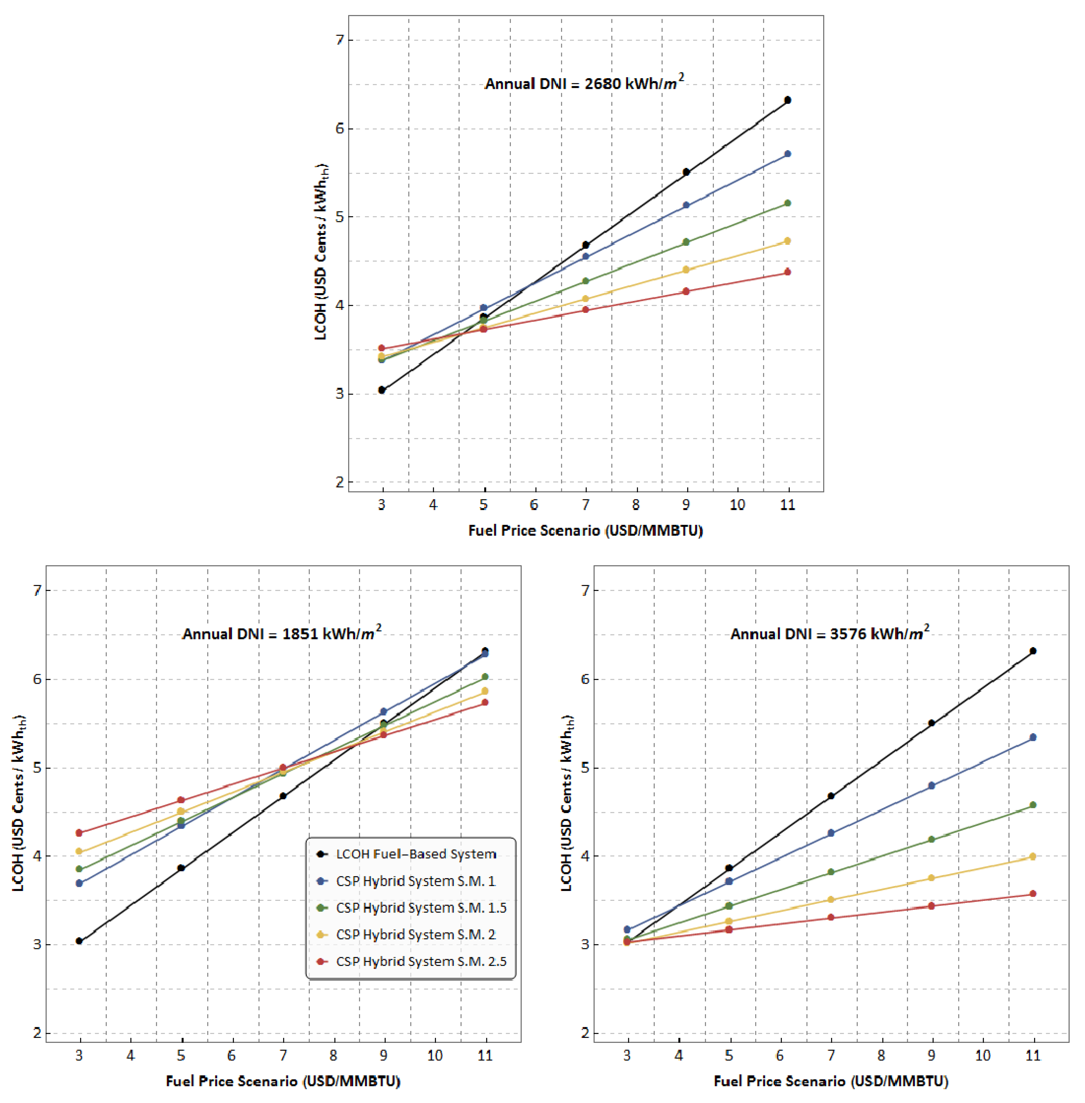
Figure 9 shows the LCOH of the CSPth Hybrid-CT systems and the LCOH of a fuel-based system. For the fuel price scenario of 3 USD/MMBTU, the LCOH of the CSPth Hybrid-CT system (S.M. 1) is 4.04 USD Cents/kWhth. The LCOH increases for higher prices of fossil fuel; for example, the LCOH is 4.63 USD Cents/kWhth for the case of 5 USD/MMBTU. Moreover, the LCOH increases for systems designed with solar multiples bigger than 1. For example, using the fuel price scenario of 3 USD/MMBTU, the LCOH of the system designed with a solar multiple of 2.5 is 5.05 USD Cents/kWhth. However, there is a point where increasing the solar fraction results positive: at 9 USD/MMBTU, the LCOH of the CSPth Hybrid-CT system (S.M. 2.5) is lower than the LCOH of the CSPth Hybrid-CT systems designed with lower solar multiples. Two reasons explain this: First, the O&M costs of the fuel-based boiler are proportional to the fossil fuel consumption; second, CSPth Hybrid-CT systems with higher rates of fossil fuel consumption are more sensitive to fuel prices. The second fact is evident by looking at the slope of each system in Figure 9. The breakeven point (fuel price scenario) at which the LCOH of the CSPth Hybrid-CT system equals the LCOH of the fuel-based system changes regarding the solar multiple; however, this point is about 9.5 USD/MMBTU for the CSPth Hybrid-CT system designed with a solar multiple 2.5.
The LCOH depends on four major factors: solar resource, capital expenditure, discount rate, and O&M costs. Figure 10 shows a sensitivity analysis for the LCOH of the CSPth Hybrid-CT systems of Table 7. The reference case corresponds to the LCOH for the fuel price scenario of 7 USD/MMBTU.
To estimate the effect of the solar resource, the CSPth Hybrid-CT systems were designed for two different locations; the calculations described in Section 4 were carried out for these locations. One location corresponds to the state of Tamaulipas, Mexico, which presents an annual DNI of 1851 kWh/m2 (latitude 22.4° and longitude −97.9°); the DNI data were taken from the NREL National Solar Radiation Database [73]. The other location corresponds to the region of Antofagasta, Chile, which presents an annual DNI of 3576 kWh/m2 (latitude −23.7 and longitude −70.1); the DNI data were taken from the Solar Exploratory of the Ministry of Energy of Chile [74].
To evaluate the effect of the capital expenditure, the LCOH was calculated considering a change of ±30% in this parameter; this change was applied just to the capital expenditure that corresponds to the CSPth Central Tower. Two scenarios were used for the discount rate: a scenario with government guarantees on low-carbon technology investment (5%), and a scenario of risk aversion toward low-carbon technology investment (12.5%) [75]. A change of ±30% was applied to the O&M costs that correspond to the CSPth Central Tower.
The variable with more influence on the LCOH of the CSPth Hybrid-CT system is the capital expenditure, followed by the solar resource, the discount rate, and the O&M costs. Excluding the solar resource, the variables show an apparent linear behavior. For the CSPth Hybrid-CT system (S.M. 1), the LCOH is USD 5.21 Cents/kWhth. The 30% reduction in CAPEX produces a LCOH of USD 4.66 Cents/kWhth, whereas the 30% increase in this variable produces a LCOH of USD 5.76 Cents/kWhth. If the CSPth Hybrid-CT system is designed for a solar resource of 1851 kWh/m2 (annual DNI), the LCOH of the system increases to USD 5.7 Cents/kWhth; on the contrary, if the system is designed for 3576 kWh/m2 (annual DNI), the LCOH falls to 4.89 USD Cents/kWhth. The discount rate of 5% produces a LCOH of 4.83 USD Cents/kWhth, whereas the risk-aversion scenario (12.5%) produces a LCOH of 5.87 USD Cents/kWhth. The LCOH is less sensitive to changes in the O&M costs; a reduction of 30% in this variable produces a LCOH of 5.11 USD Cents/kWhth; conversely, an increase of 30% results in USD 5.31 Cents/kWhth. Larger solar multiples extend the effect of the four variables. For example: a 30% reduction in CAPEX lowers the LCOH of the CSPth Hybrid-CT system (S.M. 1) by 10.5%; the same reduction lowers the LCOH of the CSPth Hybrid-CT system (S.M. 2.5) by 22.6%.
The sensitivity analysis shows that the capital expenditure and the discount rate remarkably affect the LCOH. There is still a high potential to reduce the capital expenditure for this technology [48]. On the other hand, the growing concern about climate change is leading governments, multilateral development banks, and capital funds to stimulate investment in low-carbon technologies through lower costs of capital (discount rates). In this sense, the LCOH was calculated with a 20% reduction in the capital expenditure and a discount rate of 5%. The 20% reduction in CAPEX lowers the cost of the three CSPth Hybrid-CT systems (S.M. 2.5 and TES system of 13 h) to 153.52 MMUSD (solar resource: 3576 kWh/m2), 165.79 MMUSD (solar resource: 2680 kWh/m2), and 179.12 MMUSD (solar resource: 1851 kWh/m2). Figure 11 shows the results of this calculation for the CSPth Hybrid-CT systems designed at the three locations.
The main goal of using a CSPth Hybrid-CT system is to reduce both the CO2 emissions. Considering the power demand of 50 MWth, a fuel-based system produces 106,193 tons of CO2 per year. Table 8 shows the amount of CO2 emissions that the CSPth Hybrid-CT systems avoid.
The marginal abatement costs were calculated for the three CSPth Hybrid-CT systems designed with a solar multiple of 2.5. As mentioned in Section 2.7, the marginal abatement costs are used as a reference to establish the carbon price needed to trigger abatement measures; for this reason, the LCOH values of the CSPth Hybrid-CT systems and the fuel-based system were calculated without pricing the CO2 emissions. Moreover, the LCOH was calculated without any reduction in capital expenditure and using a discount rate of 8%.
Figure 12 shows the marginal abatement costs of these three CSPth Hybrid-CT systems. At the fuel price scenario of 3 USD/MMBTU, the marginal abatement costs are 259, 157, and 115 USD/ton of CO2 for the systems designed for a solar resource of 1851 kWh/m2, 2680 kWh/m2, and 3576 kWh/m2, respectively. The results show a similar slope for the three systems; the marginal abatement costs decrease 33.6 USD/ton of CO2 per every increase of 2 USD/MMBTU in the fuel price scenario.
As shown in Figure 12, the marginal abatement costs of the CSPth Hybrid-CT systems are significantly high at low fuel price scenarios. A CO2 price of this magnitude compromises the competitiveness of energy consumers [76]; however, if a CO2 price is not considered, the LCOH of these systems is greater than the LCOH of fuel-based systems. In this sense, a reasonable CO2 price should be accompanied by a CAPEX reduction and low costs of capital in order to encourage the deployment of CSPth Hybrid-CT systems as a measure to reduce CO2 emissions.

5. Conclusions

The CSPth Hybrid-CT technology can produce high-temperature heat for high-temperature industrial processes; this feature makes it a promising option for intensive energy consumers. CSPth Hybrid-CT systems are a high-reliable source of energy and highly effective in avoiding CO2 emissions compared with fuel-based systems. However, the economic competitiveness of this technology against fuel-based systems depends mainly on two local conditions: the solar resource and fuel prices.
Regarding the LCOH of CSPth Hybrid-CT systems, the variables with more influence are the capital expenditure, followed by the solar resource, the discount rate, and the O&M costs. The effect that these variables have on the LCOH is extended with solar multiples bigger than 1. In this sense, the study suggests that the capital expenditure and the discount rate are key variables because they create opportunities for cost reductions, especially for large solar multiples, where the heliostat field and the TES system represent a large percentage of the capital expenditure.
In order to effectively deploy CSPth Hybrid-CT systems, CAPEX reductions and low costs of capital should be accompanied with reasonable CO2 prices. For example: the LCOH was calculated considering a 20% reduction in capital expenditure, a discount rate of 5%, and a CO2 price in line with the recommendations of the High-Level Commission on Carbon Prices. Under these assumptions, the CSPth Hybrid-CT systems show lower LCOH than fuel-based systems. For the reference location (annual DNI 2680 kWh/m2), the LCOH of the CSPth Hybrid-CT system (SM 2.5) equals the LCOH of a fuel-based system at a fuel price scenario of 4.5 USD/MMBTU; for the other two regions with annual DNIs of 1851 and 3576 kWh/m2, the breakeven points are 8.5 and 3 USD/MMBTU, respectively.
The LCOH values shown in this work result from using two extreme values of solar resource (from 1851 kWh/m2/year to 3576 kWh/m2/year) and a medium point (2680 kWh/m2/year), which was used as the reference case. This provide a valid approximation of the LCOH of CSPth Hybrid-CT systems for a significant interval of solar resources, which encompass different regions in the world. In this sense, a wide range of industries might have a notion of the economic competitiveness of this renewable technology against fuel-based systems and which conditions improve this competitiveness. However, in order to have a more accurate perspective, a more detailed study should be conducted in every specific case, including minor and auxiliary components in the analysis.

Author Contributions

Conceptualization, C.A.E.; Methodology, J.M.I.-S.; Research, I.C.-R. All authors participate in writing and editing. All authors have read and agreed to the published version of the manuscript.

Funding

The APC was funded by UNAM-DGAPA-PAPIIT Project No. IG101422.

Acknowledgments

This work was carried out at the Institute of Renewable Energies of the National Autonomous University of Mexico. I.C.-R. thanks CONACYT for the postgraduate scholarship. C.A.E. thanks DGAPA-UNAM for the PAPIIT scholarship for a sabbatical stay at the University of Arizona and for the PAPIIT project IG101422, and J.M.I.-S. thanks the DGAPA-UNAM for the PAPIIT scholarship for a sabbatical stay at the CIEMAT-Spain.

Conflicts of Interest

The authors declare no conflict of interest.

References

  1. International Energy Agency. Global Energy & CO2 Status Report: The Latest Trends in Energy and Emissions in 2018. IEA Publications. 2019. Available online: https://www.iea.org/reports/global-energy-co2-status-report-2019/emissions (accessed on 3 November 2022).
  2. International Energy Agency. World Energy Outlook 2019. IEA Publications. 2019. Available online: https://www.iea.org/reports/world-energy-outlook-2019 (accessed on 3 November 2022).
  3. IRENA/IEA-ETSAP. Solar Heat for Industrial Processes: Technology Brief. IRENA Publications 2015. Available online: https://www.irena.org/Publications (accessed on 3 November 2022).
  4. International Energy Agency. Heat Renewables 2019. Available online: https://www.iea.org/reports/renewables-2019/heat (accessed on 3 November 2022).
  5. Taibi, E.; Dolf, G.; Morgan, B. Renewable Energy in Industrial Applications: An Assessment of the 2050 Potential; United Nations Industrial Development Organization: Vienna, Austria, 2010. [Google Scholar]
  6. Werner, S. ECOHEATCOOL Work Package 1: The European Heat Market. Euroheat & Power. 2006. Available online: https://web.archive.org/web/20130522084453/http://www.euroheat.org/files/filer/ecoheatcool/download.htm (accessed on 3 November 2022).
  7. Allouhi, A.; Agrouaz, Y.; Amine, M.B.; Rehman, S.; Buker, M.; Kousksou, T.; Jamil, A.; Benbassou, A. Design optimization of a multi-temperature solar thermal heating system for an industrial process. Appl. Energy 2017, 206, 382–392. [Google Scholar] [CrossRef]
  8. Quijera, J.A.; Alriols, M.G.; Labidi, J. Integration of a solar thermal system in a dairy process. Renew. Energy 2011, 36, 1843–1853. [Google Scholar] [CrossRef]
  9. Tschopp, D.; Tian, Z.; Berberich, M.; Fan, J.; Perers, B.; Furbo, S. Large-scale solar thermal systems in leading countries: A review and comparative study of Denmark, China, Germany and Austria. Appl. Energy 2020, 270, 114997. [Google Scholar] [CrossRef]
  10. Carnevale, E.A.; Ferrari, L.; Paganelli, S. Investigation on the feasibility of integration of high temprature solar energy in a textile factory. Renew. Energy 2011, 36, 3517–3529. [Google Scholar] [CrossRef]
  11. Sharma, A.K.; Sharma, C.; Mullick, S.C.; Kandpal, T.C. GHG mitigation potential of solar industrial process heating in producing cotton based textiles in India. J. Clean. Prod. 2017, 145, 74–84. [Google Scholar] [CrossRef]
  12. Bolognese, M.; Viesi, D.; Bartali, R.; Crema, L. Modeling study for low-carbon industrial processes integrating solar thermal technologies. A case study in the Italian Alps: The Felicetti Pasta Factory. Sol. Energy 2020, 208, 548–558. [Google Scholar] [CrossRef]
  13. Pietruschka, D.; Ben Hassine, I.; Cotrado, M.; Fedrizzi, R.; Cozzini, M. Large Scale Solar Process Heat Systems -planning, Realization and System Operation. Energy Procedia 2016, 91, 638–649. [Google Scholar] [CrossRef]
  14. Berger, M.; Meyer-Grünefeldt, M.; Krüger, D.; Hennecke, K.; Mokhtar, M.; Zahler, C. First Year of Operational Experience with a Solar Process Steam system for a Pharmaceutical Company in Jordan. Energy Procedia 2016, 91, 591–600. [Google Scholar] [CrossRef]
  15. Farjana, S.H.; Huda, N.; Mahmud, M.P.; Saidur, R. Solar process heat in industrial systems—A global review. Renew. Sustain. Energy Rev. 2018, 82, 2270–2286. [Google Scholar] [CrossRef]
  16. Jia, T.; Huang, J.; Li, R.; He, P.; Dai, Y. Status and prospect of solar heat for industrial processes in China. Renew. Sustain. Energy Rev. 2018, 90, 475–489. [Google Scholar] [CrossRef]
  17. Farjana, S.H.; Huda, N.; Mahmud, M.P.; Saidur, R. Solar industrial process heating systems in operation—Current SHIP plants and future prospects in Australia. Renew. Sustain. Energy Rev. 2018, 91, 409–419. [Google Scholar] [CrossRef]
  18. Mekhilef, S.; Saidur, R.; Safari, A. A review on solar energy use in industries. Renew. Sustain. Energy Rev. 2011, 15, 1777–1790. [Google Scholar] [CrossRef]
  19. Kurup, P.; Turchi, C. Initial Investigation into the Potential of CSP Industrial Process Heat for the Southwest United States Initial Investigation into the Potential of CSP Industrial Process Heat for the Southwest United States. 2015. Available online: http:/www.osti.gov/scitech (accessed on 3 November 2022).
  20. Joubert, E.; Hess, S.; Van Niekerk, J. Large-scale solar water heating in South Africa: Status, barriers and recommendations. Renew. Energy 2016, 97, 809–822. [Google Scholar] [CrossRef]
  21. Gabbrielli, R.; Castrataro, P.; Del Medico, F.; Di Palo, M.; Lenzo, B. Levelized Cost of Heat for Linear Fresnel Concentrated Solar Systems. Energy Procedia 2014, 49, 1340–1349. [Google Scholar] [CrossRef]
  22. Lillo-Bravo, I.; Pérez-Aparicio, E.; Sancho-Caparrini, N.; Silva-Pérez, M.A. Benefits of Medium Temperature Solar Concentration Technologies as Thermal Energy Source of Industrial Processes in Spain. Energies 2018, 11, 2950. [Google Scholar] [CrossRef]
  23. Sharan, P.; Turchi, C.; Kurup, P. Optimal design of phase change material storage for steam production using annual simulation. Sol. Energy 2019, 185, 494–507. [Google Scholar] [CrossRef]
  24. Mouaky, A.; Merrouni, A.A.; Laadel, N.E.; Bennouna, E.G. Simulation and experimental validation of a parabolic trough plant for solar thermal applications under the semi-arid climate conditions. Sol. Energy 2019, 194, 969–985. [Google Scholar] [CrossRef]
  25. McMillan, C.A.; Ruth, M. Using facility-level emissions data to estimate the technical potential of alternative thermal sources to meet industrial heat demand. Appl. Energy 2019, 239, 1077–1090. [Google Scholar] [CrossRef]
  26. Nathan, G.J.; Jafarian, M.; Dally, B.B.; Saw, W.L.; Ashman, P.J.; Hu, E.; Steinfeld, A. Solar thermal hybrids for combustion power plant: A growing opportunity. Prog. Energy Combust. Sci. 2018, 64, 4–28. [Google Scholar] [CrossRef]
  27. Schröders, S.; Allelein, H.-J. Energy economic evaluation of process heat supply by solar tower and high temperature reactor based on the ammonia production process. Appl. Energy 2018, 212, 622–639. [Google Scholar] [CrossRef]
  28. Lawrence Berkeley National Laboratory and Resource Dynamics Corporation. Improving Process Heating System Performance A Sourcebook for Industry; The U.S. Department of Energy: Washington, DC, USA, 2015. [Google Scholar]
  29. Sharma, A.K.; Sharma, C.; Mullick, S.C.; Kandpal, T.C. Solar industrial process heating: A review. Renew. Sustain. Energy Rev. 2017, 78, 124–137. [Google Scholar] [CrossRef]
  30. Hasanbeigi, A.; Harell, G.; Schreck, B. Energy Efficiency Potentials in Industrial Steam Systems in China. Elaborated in Lawrence Berkeley National Laboratory and Published by United Nations Industrial Development Organization. 2014. Available online: https://www.unido.org/researchers/publications (publications database) (accessed on 3 November 2022).
  31. Famiglietti, A.; Lecuona-Neumann, A.; Nogueira, J.; Rahjoo, M. Direct solar production of medium temperature hot air for industrial applications in linear concentrating solar collectors using an open Brayton cycle. Viability analysis. Appl. Therm. Eng. 2020, 169, 114914. [Google Scholar] [CrossRef]
  32. Schoeneberger, C.A.; McMillan, C.A.; Kurup, P.; Akar, S.; Margolis, R.; Masanet, E. Solar for industrial process heat: A review of technologies, analysis approaches, and potential applications in the United States. Energy 2020, 206, 118083. [Google Scholar] [CrossRef]
  33. Deliotte Consultant. Impacto Macroeconómico del Sector Solar Termoeléctrico en España; PROTERMOSOLAR: Sevilla, España, 2011; ISBN 978-84-8198-855-0. [Google Scholar]
  34. He, Y.-L.; Qiu, Y.; Wang, K.; Yuan, F.; Wang, W.-Q.; Li, M.-J.; Guo, J.-Q. Perspective of concentrating solar power. Energy 2020, 198, 117373. [Google Scholar] [CrossRef]
  35. Téllez Sufrategui, F.M. Thermal Performance Evaluation of the 200 kWth “SolAir” Volumetric Solar Receiver; Informes Técnicos; CIEMAT, Plataforma Solar Almeria: Madrid, Spain, 2003. [Google Scholar]
  36. European Commission. Solgate—Solar Hybrid Gas Turbine Electric Power System; Office for Official Publications of the European Communities: Luxembourg, 2005; ISBN 92-894-4592-0. [Google Scholar]
  37. Korzynietz, R.; Brioso, J.; del Río, A.; Quero, M.; Gallas, M.; Uhlig, R.; Ebert, M.; Buck, R.; Teraji, D. Solugas—Comprehensive analysis of the solar hybrid Brayton plant. Sol. Energy 2016, 135, 578–589. [Google Scholar] [CrossRef]
  38. Kumar, L.; Hasanuzzaman, M.; Rahim, N. Global advancement of solar thermal energy technologies for industrial process heat and its future prospects: A review. Energy Convers. Manag. 2019, 195, 885–908. [Google Scholar] [CrossRef]
  39. Liu, M.; Tay, N.S.; Bell, S.; Belusko, M.; Jacob, R.; Will, G.; Saman, W.; Bruno, F. Review on concentrating solar power plants and new developments in high temperature thermal energy storage technologies. Renew. Sustain. Energy Rev. 2016, 53, 1411–1432. [Google Scholar] [CrossRef]
  40. Craig, S.; Heat, G.A. Molten Salt Power Tower Cost Model for the System Advisor Model (SAM); Technical Report: NREL/TP-5500-57625; National Renewable Energy Laboratory: Golden, CO, USA, 2013. [Google Scholar]
  41. Turchi, C.S.; Vidal, J.; Bauer, M. Molten salt power towers operating at 600–650 °C: Salt selection and cost benefits. Sol. Energy 2018, 164, 38–46. [Google Scholar] [CrossRef]
  42. Wagner, M.J.; Wendelin, T. SolarPILOT: A power tower solar field layout and characterization tool. Sol. Energy 2018, 171, 185–196. [Google Scholar] [CrossRef]
  43. Kolb, G.J. An Evaluation of Possible Next-Generation High-Temperature Molten-Salt Power Towers. Sandia National Laboratories: Albuquerque, NM, USA, 2011. [Google Scholar]
  44. Werner, V.; Henry, K. Large-Scale Solar Thermal Power: Technologies, Costs, and Development; © 2010 WILEY-VCH Verlag GmbH & Co. KGaA: Weinheim, Germany, 2010; ISBN 978-3-527-40515-2. [Google Scholar]
  45. National Renewable Energy Laboratory. System Advisor Model: CSP Cost Data. Available online: https://sam.nrel.gov/concentrating-solar-power/csp-cost-data.html (accessed on 3 November 2022).
  46. Sargent & Lundy Consulting Group. Assessment of Parabolic Trough and Power Tower Solar Technology Cost and Performance Forecasts Assessment of Parabolic Trough and Power Tower Solar Technology Cost and Performance Forecasts; National Renewable Energy Laboratory: Golden, CO, USA, 2003. [Google Scholar]
  47. Pitz-Paall, R.; Dersch, J.; Milow, B. European Concentrated Solar Thermal Road-Mapping. 2005. Available online: https://cordis.europa.eu/project/id/502578/reporting (accessed on 3 November 2022).
  48. Kolb, G.J.; Ho, C.K.; Mancini, T.R.; Gary, J.A. Power Tower Technology Roadmap and Cost Reduction Plan; Sandia National Laboratories: Albuquerque, NM, USA, 2011. [Google Scholar] [CrossRef]
  49. Hinkley, J.T.; Hayward, J.A.; Curtin, B.; Wonhas, A.; Boyd, R.; Grima, C.; Tadros, A.; Hall, R.; Naicker, K. An analysis of the costs and opportunities for concentrating solar power in Australia. Renew. Energy 2013, 57, 653–661. [Google Scholar] [CrossRef]
  50. Coelho, B.; Varga, S.; Oliveira, A.; Mendes, A. Optimization of an atmospheric air volumetric central receiver system: Impact of solar multiple, storage capacity and control strategy. Renew. Energy 2014, 63, 392–401. [Google Scholar] [CrossRef][Green Version]
  51. Sorbet, F.J.; Iñigo, M.; García-barberena, J.; Bernardos, A. Advanced power cycles and configurations for solar towers: Techno-economical optimization of the decoupled solar combined cycle concept. In Proceedings of the AIP Conference Proceedings, Maharashtra, India, 5–6 July 2018. [Google Scholar] [CrossRef]
  52. Turchi, C.S.; Boyd, M.; Kesseli, D.; Kurup, P.; Mehos, M.; Neises, T.; Sharan, P.; Wagner, M.; Wendelin, T.; Turchi, C.S.; et al. CSP Systems Analysis—Final Project Report CSP Systems Analysis—Final Project Report; NREL/TP-5500-72856; National Renewable Energy Laboratory: Golden, CO, USA, 2019. [Google Scholar]
  53. Abaza, M.A.; El-Maghlany, W.M.; Hassab, M.; Abulfotuh, F. 10 MW Concentrated Solar Power (CSP) plant operated by 100% solar energy: Sizing and techno-economic optimization. Alex. Eng. J. 2019, 59, 39–47. [Google Scholar] [CrossRef]
  54. Hirbodi, K.; Enjavi-Arsanjani, M.; Yaghoubi, M. Techno-economic assessment and environmental impact of concentrating solar power plants in Iran. Renew. Sustain. Energy Rev. 2019, 120, 109642. [Google Scholar] [CrossRef]
  55. Environmental Protection Agency; International Energy Agency. Boiler Replacement Opportunity. Available online: https://www.epa.gov/sites/default/files/2015-07/documents/fact_sheet_chp_as_a_boiler_replacement_opportunity.pdf (accessed on 3 November 2022).
  56. Hernández-Moro, J.; Martínez-Duart, J. Analytical model for solar PV and CSP electricity costs: Present LCOE values and their future evolution. Renew. Sustain. Energy Rev. 2013, 20, 119–132. [Google Scholar] [CrossRef]
  57. Ren, L.; Zhao, X.; Yu, X.; Zhang, Y. Cost-benefit evolution for concentrated solar power in China. J. Clean. Prod. 2018, 190, 471–482. [Google Scholar]
  58. Viebahn, P.; Lechon, Y.; Trieb, F. The potential role of concentrated solar power (CSP) in Africa and Europe—A dynamic assessment of technology development, cost development and life cycle inventories until 2050. Energy Policy 2011, 39, 4420–4430. [Google Scholar] [CrossRef]
  59. Zhu, Z.; Zhang, D.; Mischke, P.; Zhang, X. Electricity generation costs of concentrated solar power technologies in China based on operational plants. Energy 2015, 89, 65–74. [Google Scholar] [CrossRef]
  60. Sharma, A.K.; Sharma, C.; Mullick, S.C.; Kandpal, T.C. Financial viability of solar industrial process heating and cost of carbon mitigation: A case of dairy industry in India. Sustain. Energy Technol. Assessments 2018, 27, 1–8. [Google Scholar] [CrossRef]
  61. Zhuang, X.; Xu, X.; Liu, W.; Xu, W. LCOE Analysis of Tower Concentrating Solar Power Plants Using Different Molten-Salts for Thermal Energy Storage in China. Energies 2019, 12, 1394. [Google Scholar] [CrossRef]
  62. Ji, J.; Tang, H.; Jin, P. Economic potential to develop concentrating solar power in China: A provincial assessment. Renew. Sustain. Energy Rev. 2019, 114, 109279. [Google Scholar] [CrossRef]
  63. International Energy Agency. Natural Gas Prices for the Industrial Sector. Available online: https://www.iea.org/data-and-statistics/charts/natural-gas-prices-for-the-industrial-sector-in-selected-countries-2019 (accessed on 3 November 2022).
  64. U.S. Energy Information Administration. Annual Energy Outlook 2020 with Projections to 2050; U.S. Energy Information Administration: Washington, DC, USA, 2020. [Google Scholar]
  65. U.S. Energy Information Administration. Henry Hub Natural Gas Spot Price. Available online: https://www.eia.gov/dnav/ng/hist/rngwhhdA.htm (accessed on 3 November 2022).
  66. Carbon Market Watch. Carbon Markets—The Ultimate Guide to Global Offsetting Mechanisms. 2020. Available online: https://carbonmarketwatch.org/publications/carbon-markets-101-the-ultimate-guide-to-global-offsetting-mechanisms/ (accessed on 3 November 2022).
  67. ICAP. Emissions Trading Worldwide: Status Report 2021; International Carbon Action Partnership: Berlin, Germany, 2021. [Google Scholar]
  68. The World Bank. State and Trends of Carbon Pricing 2021; The World Bank: Washington, DC, USA, 2021. [Google Scholar] [CrossRef]
  69. OECD. Effective Carbon Rates 2018: Pricing Carbon and Emissions Trading; OECD: Paris, France, 2018. [Google Scholar]
  70. High-Level Commission on Carbon Prices, 2017. Report of the High-Level Commission on Carbon Prices. World Bank Publications. 2018. Washington, DC. Available online: https://www.carbonpricingleadership.org/report-of-the-highlevel-commission-on-carbon-prices (accessed on 3 November 2022).
  71. Disclosure Insight Action. Putting a price on carbon: The State of Internal Carbon Pricing by Corporates Globally. 2021. Available online: https://www.cdp.net/en/research/global-reports/putting-a-price-on-carbon (accessed on 3 November 2022).
  72. IRENA. Renewable Energy Options for the Industry Sector: Global and Regional Potential Until 2030; IRENA Publications: Masdar City, Abu Dhabi, 2015. [Google Scholar]
  73. National Renewable Energy Laboratory. National Solar Radiation Database. Available online: https://nsrdb.nrel.gov/ (accessed on 3 November 2022).
  74. Ministerio de Energía, Gobierno de Chile. Explorador Solar. Available online: https://solar.minenergia.cl/ (accessed on 3 November 2022).
  75. Carbon Pricing Leadership Coalition. The Carbon Prices Making Low Carbon Plants Competitive. 2017. Available online: https://www.carbonpricingleadership.org/open-for-comments/2017/5/28/the-carbon-prices-making-low-carbon-plants-competitive (accessed on 7 November 2022).
  76. World Bank Group. Report of the High-Level Commission on Carbon Pricing and Competitiveness. 2019. World Bank Group, Washington, D.C. Available online: https://www.carbonpricingleadership.org/highlevel-commission-on-carbon-pricing-and-competitiveness (accessed on 7 November 2022).
Figure 1. Diagram of a CSPth Hybrid-CT system.
Figure 1. Diagram of a CSPth Hybrid-CT system.
Energies 15 08528 g001
Figure 2. Influence of the design DNI value on the annual energy production and the LCOH of the CSPth Central Tower.
Figure 2. Influence of the design DNI value on the annual energy production and the LCOH of the CSPth Central Tower.
Energies 15 08528 g002
Figure 3. Influence of the design DNI value on the solar fraction and the LCOH of the CSPth Hybrid-CT system.
Figure 3. Influence of the design DNI value on the solar fraction and the LCOH of the CSPth Hybrid-CT system.
Energies 15 08528 g003
Figure 4. Solar field´s arrangement and heliostats’ efficiencies at the design point.
Figure 4. Solar field´s arrangement and heliostats’ efficiencies at the design point.
Energies 15 08528 g004
Figure 5. Optical efficiency of the CSPth Central Tower at 146 sun positions.
Figure 5. Optical efficiency of the CSPth Central Tower at 146 sun positions.
Energies 15 08528 g005
Figure 6. Thermal power absorbed by the heat transfer fluid throughout the year.
Figure 6. Thermal power absorbed by the heat transfer fluid throughout the year.
Energies 15 08528 g006
Figure 7. Variation of stored energy at the summer (left) and winter (right) solstices for different TES capacities. Solar multiple = 2.
Figure 7. Variation of stored energy at the summer (left) and winter (right) solstices for different TES capacities. Solar multiple = 2.
Energies 15 08528 g007
Figure 8. Influence of the TES capacity on the LCOH of the CSPth Central Tower.
Figure 8. Influence of the TES capacity on the LCOH of the CSPth Central Tower.
Energies 15 08528 g008
Figure 9. LCOH of the CSPth Hybrid-CT systems of Table 7.
Figure 9. LCOH of the CSPth Hybrid-CT systems of Table 7.
Energies 15 08528 g009
Figure 10. Sensitivity analysis for the LCOH of the CSPth Hybrid-CT systems.
Figure 10. Sensitivity analysis for the LCOH of the CSPth Hybrid-CT systems.
Energies 15 08528 g010
Figure 11. LCOH of the CSPth Hybrid-CT systems using a 20% reduction in the capital expenditure and a discount rate of 5%.
Figure 11. LCOH of the CSPth Hybrid-CT systems using a 20% reduction in the capital expenditure and a discount rate of 5%.
Energies 15 08528 g011
Figure 12. Marginal abatement costs of the CSPth Hybrid-CT systems (S.M. = 2.5).
Figure 12. Marginal abatement costs of the CSPth Hybrid-CT systems (S.M. = 2.5).
Energies 15 08528 g012
Table 1. Temperature range of common industrial processes [32].
Table 1. Temperature range of common industrial processes [32].
IndustryProcessTemperature (°C)
Cross-cuttingWater preheating60–90
Washing60–90
Food and BeveragesPasteurization60–80
Concentration60–80
Cooking60–100
Sterilization60–120
Blanching75–90
Drying120–180
TextilesBleaching/dyeing60–90
Pressing80–100
Drying100–130
Fixing160–180
Paper and Wood ProductsCooking/drying60–80
Pulp preparation120–170
Bleaching130–150
PlasticsPreparation120–140
Blending120–140
Extension140–160
Distillation140–290
Drying180–200
Separation200–220
Petroleum RefiningDistillation370–425
ChemicalsDrying/distillation170–230
Steam reforming500–900
Nonmetallic MineralsPreheating200–750
Calcination (dry)750–1000
Sintering1200–1450
Primary MetalsPrecipitation200–300
Annealing300–500
Reduction (ore)1000–1100
Table 2. General features of the solar thermal technologies [38].
Table 2. General features of the solar thermal technologies [38].
ParameterType of Technology
Flat Plate CollectorsEvacuated Tube CollectorsCompound Parabolic CollectorsLinear Fresnel SystemsParabolic trough SystemsParabolic Dish ReflectorCentral Tower Systems and Solar Furnaces
Absorber TypeFlatFlatLinearLinearLinearPointPoint
Concentration ratio111–510–4015–45100–1000100–1500
Temperature range (°C)30–8050–20060–24060–25060–300100–500150–2000
Table 3. Reference costs for the CSPth Hybrid-CT system.
Table 3. Reference costs for the CSPth Hybrid-CT system.
EquipmentReference Cost (year)ReferencesCosts Used for This Work
Solar Field130–217 $USD/m2[27,46,47,48,49,50,51,52,53,54]200 $USD/m2
Tower28,500,000 USD; Size: 203 m (2010)[45]3,170,000 e0.0113H
Receiver97,020,000 USD; Size: 1571 m2 (2010)[45]107,020,000 USD; Size: 1571 m2
Storage14–33 $USD/kWhth[47,48,49,51,52,53]30 USD/kWhth
Steam Generation29,000,000 USD; Size: 260 MWth (2011)[48]9,408,000 USD; Size: 50 MWth
Fuel-Based Boiler4,200,000 USD; Size: 26.6 MWth (2015)[55]8,018,830 USD; Size: 50 MWth
Indirect Cost15–17 (% of D.C.)[47,51,53]15%
Table 4. O&M costs, insurance, and lifespan for the LCOH calculation.
Table 4. O&M costs, insurance, and lifespan for the LCOH calculation.
Reference ValueReferencesValue Used in This Work
O&M (% of CAPEX)1–2.5%[27,47,58,59,60,61,62]2%
O&M Fuel-Based Boiler0.95 USD/MMBTU of Fossil Fuel input[55]0.95 USD/MMBTU of Fossil Fuel input
Insurance (% of CAPEX)0.5–1[27,46,47,51,53,54,56,58,59,60,62]0.5%
Lifespan25–30 years[27,46,47,51,53,54,56,58,59,60,61,62]30 years
Table 5. Fuel price scenarios (prices in 2019 dollars).
Table 5. Fuel price scenarios (prices in 2019 dollars).
Fuel Price ScenarioUSD/MMBTU (2019 Dollars)
Year 2019Year 2050
FPS 334.2
FPS 556.2
FPS 778.2
FPS 9910.2
FPS 111112.2
Table 6. Examples of carbon markets in operation. Source: [67,68].
Table 6. Examples of carbon markets in operation. Source: [67,68].
Emission Trading Systems:CoverageAllowance Price
 China National ETS4000 MtCO2Free allocation
 European Union ETS1610 MtCO2eFree Allocation & Auction; 28.28 USD/tCO2e
 California Cap-And-Trade Program320 MtCO2eFree Allocation & Auction; 17.04 USD/tCO2e
Credit Mechanisms:Credits IssuedCredit Price
 Clean Development Mechanism74 MtCO2e2.02→USD/tCO2e
 Verified Carbon Standard140.37 MtCO2e1.62→USD/tCO2e
 California Compliance Offset Program46 MtCO2e13.71 USD/tCO2e
Table 7. Technical characteristics of the CSPth Hybrid-CT systems.
Table 7. Technical characteristics of the CSPth Hybrid-CT systems.
Heliostat Field
  Solar Multiple11.522.5
  Num. Heliostats1480225229773612
  Heliostat field area (m2)116,284176,940233,903283,795
  Design power (MWth)5075100125
Receiver
  Area (m2)142.9200.27251.32345.57
  Optical Efficiency (%)90909090
Tower optical height90105125140
Storage
  Capacity (hours)-5913
  Capacity Power (MWh)-250450650
Steam Generation System
  Capacity (MWth)50505050
Fuel-Based System
  Capacity (MWth)50505050
Annual Energy Production (MWh)438,000438,000438,000438,000
  Solar contribution (MWh)128,747204,825268,955329,639
  Backup fuel contribution (MWh)309,253233,175169,045108,361
  Solar Fraction (%)29.3947.7661.475.26
Capital Expenditure USD
 Heliostat Field23,256,80035,388,00046,780,60056,759,000
 Receiver19,983,60025,304,70029,663,90037,071,500
 Tower8,764,69010,383,60013,016,70015,421,000
 Storage-7,500,00013,500,00019,500,000
 Steam Generation System9,408,0009,408,0009,408,0009,408,000
 Fuel-Based System8,018,8308,018,8308,018,8308,018,830
Sub-Total69,431,92096,003,130120,388,030146,178,330
Indirect Costs (15%)10,414,78814,400,46918,058,20421,926,749
System Cost79,846,708110,403,599138,446,235168,105,080
Table 8. Avoided CO2 emissions per year.
Table 8. Avoided CO2 emissions per year.
Solar MultipleSolar Resource (Annual DNI)
1851 kWh/m22680 kWh/m23576 kWh/m2
122,371 tonnes30,590 tonnes35,849 tonnes
1.535,817 tonnes48,666 tonnes57,272 tonnes
247,332 tonnes63,903 tonnes74,661 tonnes
2.558,686 tonnes78,322 tonnes88,735 tonnes
Publisher’s Note: MDPI stays neutral with regard to jurisdictional claims in published maps and institutional affiliations.

Share and Cite

MDPI and ACS Style

Cruz-Robles, I.; Islas-Samperio, J.M.; Estrada, C.A. Levelized Cost of Heat of the CSPth Hybrid Central Tower Technology. Energies 2022, 15, 8528. https://doi.org/10.3390/en15228528

AMA Style

Cruz-Robles I, Islas-Samperio JM, Estrada CA. Levelized Cost of Heat of the CSPth Hybrid Central Tower Technology. Energies. 2022; 15(22):8528. https://doi.org/10.3390/en15228528

Chicago/Turabian Style

Cruz-Robles, Irving, Jorge M. Islas-Samperio, and Claudio A. Estrada. 2022. "Levelized Cost of Heat of the CSPth Hybrid Central Tower Technology" Energies 15, no. 22: 8528. https://doi.org/10.3390/en15228528

APA Style

Cruz-Robles, I., Islas-Samperio, J. M., & Estrada, C. A. (2022). Levelized Cost of Heat of the CSPth Hybrid Central Tower Technology. Energies, 15(22), 8528. https://doi.org/10.3390/en15228528

Note that from the first issue of 2016, this journal uses article numbers instead of page numbers. See further details here.

Article Metrics

Back to TopTop