Analysis of a Costly Fiberglass-Polyester Air Filter Fire
Abstract
1. Introduction
2. The Facility and the Fire Incident
2.1. The Facility
2.2. Sequence of Events
3. Materials and Methods
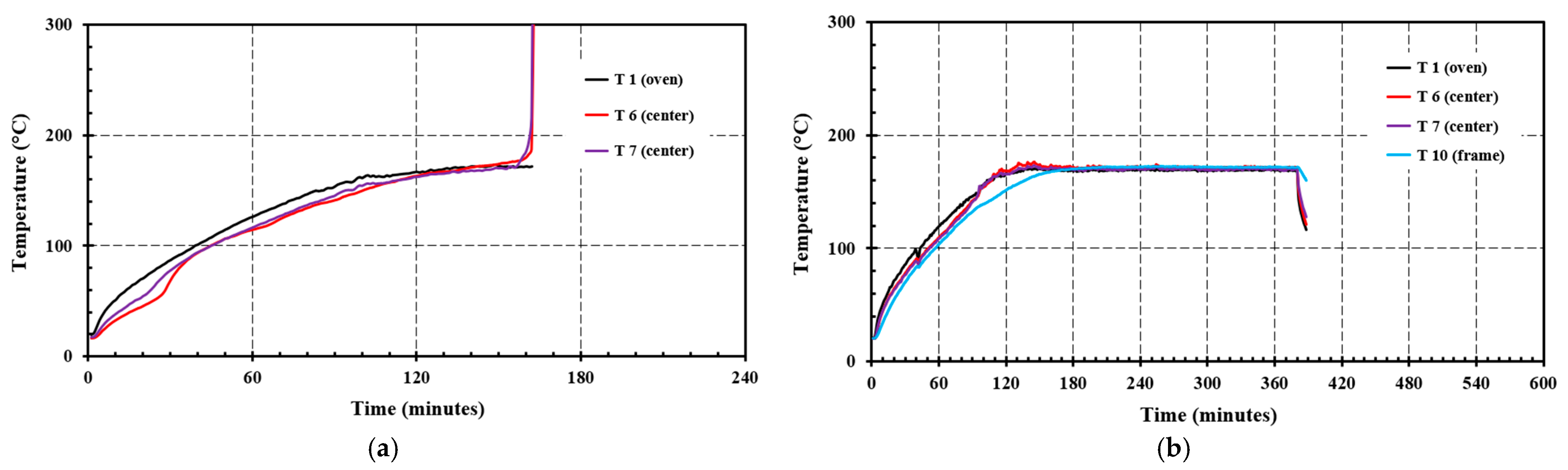
4. Results
4.1. Initial Ignition Test Results
4.2. Small Scale Self-Heating Tests
4.3. Filter Cassette Self-Heating Tests
5. Discussion
6. Conclusions
Author Contributions
Funding
Data Availability Statement
Acknowledgments
Conflicts of Interest
References
- Drysdale, D.D.; Sylvester-Evans, R. The explosion and fire on the Piper Alpha platform, 6 July 1988. A. case study. Phil. Trans. R. Soc. A Math. Phys. Eng. Sci. 1998, 356, 2929–2951. [Google Scholar] [CrossRef]
- Holmstrom, D.; Altamirano, F.; Banks, J.; Joseph, G.; Kaszniak, M.; Mackenzie, C.; Shroff, R.; Cohen, H.; Wallace, S. CSB investigation of the explosions and fire at the BP Texas City refinery on March 23, 2005. Proc. Safety Progr. 2006, 25, 345–349. [Google Scholar] [CrossRef]
- Zhu, Y.; Qian, X.M.; Liu, Z.Y.; Huang, P.; Yuan, M.Q. Analysis and assessment of the Qingdao crude oil vapor explosion accident: Lessons learnt. J. Loss Prev. Proc. Ind. 2015, 33, 289–303. [Google Scholar] [CrossRef]
- Bakka, M.S.; Eriksen, B.; Johansen, O.J.; Oltedal, H.-L.-; Nissestad, O.A.; Log, T. Brann i luftinntak på gassturbin GTG4, Hammerfest LNG 28.09.2020 (En. Fire in air intake at gas turbine GTG4, Hammerfest LNG 28.09.2020); Report no. A MMP L2 2020-18; Equinor: Forus, Norway, 2021. [Google Scholar]
- Hallan, B.; Rundell, L.R.; Thorsen, A.J.; Steinmakk, A.-H.; Sundby, T. Rapport etter gransking av brann i luftinntak til GTG4 på Hammerfest LNG, Melkøya (En. Investigation report after fire in air intake for GTG4 at Hammerfest LNG, Melkøya); Norwegian Petroleum Safety Authority investigation report, activity 001901043; Equinor: Stavanger, Norway, 2021. (In Norwegian) [Google Scholar]
- Agapiou, A. Damage Proxy Map of the Beirut Explosion on 4th of August 2020 as Observed from the Copernicus Sensors. Sensors 2020, 20, 6382. [Google Scholar] [CrossRef] [PubMed]
- Camfil. Hi-Flo XLT filterpåse. Byggvarudeklaration, Camfil Sweden, Stockholm, Sweden. 2015. Available online: www.camfil.com/damdocuments/46633/1217698/ebvd-hi-flo-xlt.pdf (accessed on 1 December 2020).
- Drysdale, D.D. An Introduction to Fire Dynamics, 2nd ed.; John Wiley: New York, NY, USA, 1999; ISBN 0-471-97291-6. [Google Scholar]
- McGrattan, K.; Hostikka, S.; McDermott, R.; Floyd, J.; Weinschenk, C.; Overholt, K. Fire dynamics simulator user’s guide. NIST Special Publ. 2013, 1019, 339. [Google Scholar] [CrossRef]
- McGrattan, K.; Hostikka, S.; McDermott, R.; Floyd, J.; Weinschenk, C.; Overholt, K. Fire dynamics simulator technical reference guide volume 1: Mathematical model. NIST Special Publ. 2013, 1018, 175. [Google Scholar] [CrossRef]
- Skjold, T.; van Wingerden, K. Investigation of an explosion in a gasoline purification plant. Proc. Safety Progr. 2013, 32, 268–276. [Google Scholar] [CrossRef]
- McAllister, P.M.; Dyche, J.L.; Graves, R.C. Investigation and actions after an internal air compressor filter fire. Proc. Safety Progr. 2013, 32, 96–101. [Google Scholar] [CrossRef]
- Larsen, A.; Sande, E.; Glette, S.H.; Jensen, J.E. Report after Fire in Ventilation Hood at Petrojarl Knarr 24.3.2015; Investigation report, 411003011; The Petroleum Safety Authority: Stavanger, Norway, 2015. (In Norwegian) [Google Scholar]
- Government of Norway. Investigation—Fire in HVAC room onboard Petrojarl Knarr, Teekay Petrojarl TKPJ-01-S-97-RA-00001-001, 2015; Government of Norway: Oslo, Norway, 2015.
- Stølen, R. Fire in HVAC Room on Board Petrojarl Knarr; F15 20141-2:1; SP Fire Research: Trondheim, Norway, 2015. [Google Scholar]
- Torero, J.L.; Gerhard, J.I.; Martins, M.F.; Zanoni, M.A.B.; Rashwan, T.L.; Brown, J.K. Processes defining smouldering combustion: Integrated review and synthesis. Progr. Energy Combust. Sci. 2020, 81, 100869. [Google Scholar] [CrossRef]
- Wang, Z.; Liu, N.; Yuan, H.; Chen, H.; Xie, X.; Zhang, L.; Rein, G. Smouldering and its transition to flaming combustion of polyurethane foam: An experimental study. Fuel 2022, 309, 122249. [Google Scholar] [CrossRef]
- Morgan, A.B.; Knapp, G.; Stoliarov, S.I.; Levchik, S.V. Studying smoldering to flaming transition in polyurethane furniture subassemblies: Effects of fabrics, flame retardants, and material type. Fire Mater. 2021, 45, 56–67. [Google Scholar] [CrossRef]
- Hagen, B.C.; Meyer, A.K. From smoldering to flaming fire: Different modes of transition. Fire Safety J. 2021, 121, 103292. [Google Scholar] [CrossRef]
- Wang, Q.; Liu, K.; Wang, S. Effect of porosity on ignition and burning behavior of cellulose materials. Fuel 2022, 322, 124158. [Google Scholar] [CrossRef]
- Graham, L.L.B.; Applegate, G.B.; Thomas, A.; Ryan, K.C.; Saharjo, B.H.; Cochrane, M.A. A Field Study of Tropical Peat Fire Behaviour and Associated Carbon Emissions. Fire 2022, 5, 62. [Google Scholar] [CrossRef]
- Gogola, K.; Rogala, T.; Magdziarczyk, M.; Smoliński, A. The Mechanisms of Endogenous Fires Occurring in Extractive Waste Dumping Facilities. Sustainability 2020, 12, 2856. [Google Scholar] [CrossRef]
- Xu, K.; Tian, X.; Cao, Y.; He, Y.; Xia, Y.; Quan, F. Suppression of Smoldering of Calcium Alginate Flame-Retardant Paper by Flame-Retardant Polyamide-66. Polymers 2021, 13, 430. [Google Scholar] [CrossRef]
- Korobeinichev, O.; Shaklein, A.; Trubachev, S.; Karpov, A.; Paletsky, A.; Chernov, A.; Sosnin, E.; Shmakov, A. The Influence of Flame Retardants on Combustion of Glass Fiber-Reinforced Epoxy Resin. Polymers 2022, 14, 3379. [Google Scholar] [CrossRef] [PubMed]
- Shi, X.; Luo, S.; Du, X.; Li, Q.; Cheng, S. Improvement the Flame Retardancy and Thermal Conductivity of Epoxy Composites via Melamine Polyphosphate-Modified Carbon Nanotubes. Polymers 2022, 14, 3091. [Google Scholar] [CrossRef]
- Korobeinichev, O.; Karpov, A.; Shaklein, A.; Paletsky, A.; Chernov, A.; Trubachev, S.; Glaznev, R.; Shmakov, A.; Barbot’ko, S. Experimental and Numerical Study of Downward Flame Spread over Glass-Fiber-Reinforced Epoxy Resin. Polymers 2022, 14, 911. [Google Scholar] [CrossRef]
- Juita; Dlugogorski, B.Z.; Kennedy, E.M.; Mackie, J.C. Oxidation reactions and spontaneous ignition of linseed oil. Proc. Comb. Inst. 2011, 33, 2625–2632. [Google Scholar] [CrossRef]
- Bjørge, J.S.; Metallinou, M.-M.; Log, T.; Frette, Ø. Method for Measuring Cooling Efficiency of Water Droplets Impinging onto Hot Metal Discs. Appl. Sci. 2018, 8, 953. [Google Scholar] [CrossRef]
- Bjørge, J.S.; Bjørkheim, S.A.; Metallinou, M.M.; Log, T.; Frette, Ø. Influence of acetone and sodium chloride additives on cooling efficiency of water droplets impinging onto hot metal surfaces. Energies 2019, 12, 2358. [Google Scholar] [CrossRef]
- Bjørge, J.S.; Metallinou, M.M.; Kraaijeveld, A.; Log, T. Small Scale Hydrocarbon Fire Test Concept. Technologies 2017, 5, 72. [Google Scholar] [CrossRef]
- Bjørge, J.S.; Gunnarshaug, A.; Log, T.; Metallinou, M.-M. Study of Industrial Grade Thermal Insulation as Passive Fire Protection up to 1200 °C. Safety 2018, 4, 41. [Google Scholar] [CrossRef]
- Bakka, M.S.; Handal, E.K.; Log, T. Analysis of a High-Voltage Room Quasi-Smoke Gas Explosion. Energies 2020, 13, 601. [Google Scholar] [CrossRef]
- Handal, E.; Sandvik, O.I.; de Jong, H.; Bondevik, T.B.; Ovesen, R.V. Fire in Compressor House; Report no. A MMP L1 2020–2023; Equinor: Forus, Norway, 2021. [Google Scholar]
- Metallinou, M.M. Single-and double-loop organizational learning through a series of pipeline emergency exercises. J. Contingencies Crisis Manag. 2017, 26, 530–543. [Google Scholar] [CrossRef]
- Metallinou, M.M. Liquefied Natural Gas as a New Hazard; Learning Processes in Norwegian Fire Brigades. Safety 2019, 5, 11. [Google Scholar] [CrossRef]

















Publisher’s Note: MDPI stays neutral with regard to jurisdictional claims in published maps and institutional affiliations. |
© 2022 by the authors. Licensee MDPI, Basel, Switzerland. This article is an open access article distributed under the terms and conditions of the Creative Commons Attribution (CC BY) license (https://creativecommons.org/licenses/by/4.0/).
Share and Cite
Log, T.; Gunnarshaug, A. Analysis of a Costly Fiberglass-Polyester Air Filter Fire. Energies 2022, 15, 7719. https://doi.org/10.3390/en15207719
Log T, Gunnarshaug A. Analysis of a Costly Fiberglass-Polyester Air Filter Fire. Energies. 2022; 15(20):7719. https://doi.org/10.3390/en15207719
Chicago/Turabian StyleLog, Torgrim, and Amalie Gunnarshaug. 2022. "Analysis of a Costly Fiberglass-Polyester Air Filter Fire" Energies 15, no. 20: 7719. https://doi.org/10.3390/en15207719
APA StyleLog, T., & Gunnarshaug, A. (2022). Analysis of a Costly Fiberglass-Polyester Air Filter Fire. Energies, 15(20), 7719. https://doi.org/10.3390/en15207719

