A Thermohydraulic Performance of Internal Spiral Finned Tube Based on the Inner Tube Secondary Flow
Abstract
:1. Introduction
2. Methodology
2.1. Geometry of the Model
2.2. Mathematical Modeling
- (1)
- The working fluid was an incompressible fluid;
- (2)
- The fluid flow was steady and there was no phase transition process in the tube;
- (3)
- The physical parameters of the working fluid were constant;
- (4)
- Thermal radiation was not considered.
2.3. Boundary Conditions
3. Computation Parameters and Its Validation
3.1. Data Reduction
3.2. Grid Independence Verification
3.3. Reliability Verification of Simulation Technology
4. Result and Discussion
4.1. Analysis of Influence of RWVGs on Temperature and Streamlines Distributions
4.2. Effect of the H on Heat Transfer and Flow Characteristics
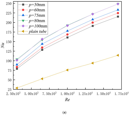
4.3. Effect of the P on Heat Transfer and Flow Characteristics
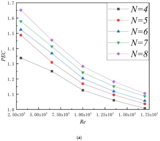
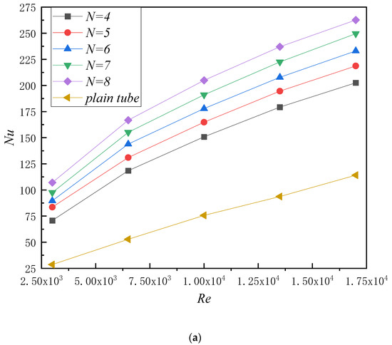
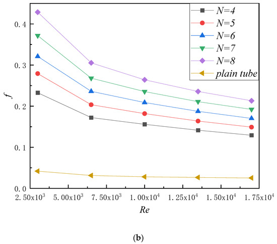
4.4. Effect of the N on Heat Transfer and Flow Characteristics
4.5. Analysis of the Influence of Internal Spiral Fins on Heat Transfer Performance
4.6. Comparison with Previous Work
5. Conclusions
- (1)
- With the increase of Reynolds number, the Nusselt number in the tube increased, while f decreased. The Nu and f of the internal spiral finned tubes were 1.77–3.74 and 3.04–10.62 times higher than those of smooth tube, respectively. The average deviations of Nu and f between the simulation results and empirical formula results were 5.11% and 8.45%, respectively. It was illustrated that the results of the simulation agreed well with the empirical formula, and the heat transfer capacity of internal spiral finned tubes was much better than that of flat tube.
- (2)
- The velocity distribution in the spiral region was affected by the centrifugal force of the spiral flow to produce a vortex, and its velocity distribution was asymmetric. The temperature distribution in the spiral region was affected by centrifugal force, and the thermal boundary layer on the inner wall of the pipe was destroyed, which sped up the heat exchange between the external environment and the fluid in the pipe.
- (3)
- The three variables had positive effects on the enhanced heat transfer performance in internal spiral finned tubes. It was found that N was the factor that had the greatest impact on the heat transfer performance among the studied parameters. The results showed that the maximum value of PEC under the five Re numbers was 1.652, while the PEC of the pitch P and the height H were 1.581 and 1.566, respectively.
- (4)
- When the Re was set as 3000, the PEC achieved the highest value of 1.652 in this paper. The height H of the RWVG was 5 mm, the number N was 8, and the pitch P was 75 mm, while the PEC gradually decreased as the Re increased. The possible reason for this phenomenon might be that the effect of pressure drop on the comprehensive performance in the tube was stronger than that of thermal enhancement as the Re increased.
Author Contributions
Funding
Institutional Review Board Statement
Informed Consent Statement
Conflicts of Interest
Highlights
- The flow and heat transfer of internal spiral finned tubes were investigated by numerical simulation.
- The effects of structural parameters on the flow and heat transfer were studied.
- The comprehensive performance was obtained and optimum parameters for the internal spiral finned tube were reported for practical applications.
- The mechanism of heat transfer enhancement was analyzed for the internal spiral finned tube.
Nomenclature
| The area of heated wall () | |
| The heat capacity of working fluid () | |
| The hydraulic diameter () | |
| The friction factor | |
| The mass flow of working fluid () | |
| The heat transfer coefficient () | |
| The turbulence intensity | |
| k | Turbulent kinetic energy () |
| The length of flow direction () | |
| The Nusselt number | |
| P | Pressure () |
| The performance evaluation | |
| Prandtl number | |
| The total rate of heat transfer () | |
| The Reynolds number | |
| The temperature of the outlet () | |
| The temperature of the inlet () | |
| The temperature of wall () | |
| Temperature of the working fluid () | |
| The x-axis velocity of working fluid () | |
| The y-axis velocity of working fluid () | |
| The z-axis velocity of working fluid () | |
| The velocity of working fluid () | |
| Volume of working fluid () | |
| Greek symbols | |
| The pressure drops between the inlet and outlet () | |
| The temperature difference () | |
| Dissipation rate of turbulent kinetic energy of the k- model () | |
| Thermal conductivity () | |
| Dynamic viscosity () | |
| Kinematic viscosity () | |
| Density of working fluid () | |
| Subscripts | |
| Air | |
| Inlet | |
| Outlet | |
| Turbulence | |
| Wall | |
References
- Long, R.; Bao, Y.J.; Huang, X.M.; Liu, W. Exergy analysis and working fluid selection of organic Rankine cycle for low grade waste heat recovery. Energy 2014, 73, 475–483. [Google Scholar] [CrossRef]
- Sheikholeslami, M.; Gorji-Bandpy, M.; Ganji, D.D. Review of heat transfer enhancement methods: Focus on passive methods using swirl flow devices. Renew. Sustain. Energy Rev. 2015, 49, 444–469. [Google Scholar] [CrossRef]
- Soria, J.; Norton, M. The effect of transverse plate vibration on the mean laminar convective boundary layer heat transfer rate. Exp. Therm. Fluid Sci. 1991, 4, 226–238. [Google Scholar] [CrossRef]
- Mizushina, T. The Electrochemical Method in Transport Phenomena. Adv. Heat Transf. 1971, 7, 87–161. [Google Scholar] [CrossRef]
- Ohadi, M.; Nelson, D.; Zia, S. Heat transfer enhancement of laminar and turbulent pipe flow via corona discharge. Int. J. Heat Mass Transf. 1991, 34, 1175–1187. [Google Scholar] [CrossRef]
- Liu, S.; Sakr, M. A comprehensive review on passive heat transfer enhancements in pipe exchangers. Renew. Sustain. Energy Rev. 2013, 19, 64–81. [Google Scholar] [CrossRef]
- Sparrow, E.M.; Charmchi, M. Laminar Heat Transfer in an Externally Finned Circular Tube. ASME J. Heat Transf. 1980, 102, 605–611. [Google Scholar] [CrossRef]
- Moukalled, F.; Kasamani, J.; Acharya, S. Turbulent convection heat transfer in a longitudinally conducting externally finned pipes. Numer. Heat Transf. Part A Appl. 1992, 21, 401–421. [Google Scholar] [CrossRef]
- Ouzzane, M.; Galanis, N. Numerical Analysis of Mixed Convection in Inclined Tubes with External Longitudinal Fins. Sol. Energy 2001, 71, 199–211. [Google Scholar] [CrossRef]
- Liu, L.; Fan, Y.; Ling, X.; Peng, H. Flowand heat transfer characteristics of finned tube with internal and external fins in air cooler for waste heat recovery of gas-fired boiler system. Chem. Eng. Process. Process Intensif. 2013, 74, 142–152. [Google Scholar] [CrossRef]
- Ding, Y.; Zhang, W. Experimental and numerical investigation on natural convection heat transfer characteristics of vertical 3-D externally finned tubes. Energy 2022, 239, 122050. [Google Scholar] [CrossRef]
- Fabbri, G. Effect of viscous dissipation on the optimization of the heat transfer in internal finned tubes. Int. J. Heat Mass Transf. 2004, 47, 3003–3015. [Google Scholar] [CrossRef]
- Al-Sarkhi, A.; Abu-Nada, E. Characteristics of forced convection heat transfer in vertical internally finned tube. Int. Commun. Heat Mass Transf. 2005, 32, 557–564. [Google Scholar] [CrossRef]
- Foong, A.J.L.; Ramesh, N.; Chandratilleke, T.T. Laminar convective heat transfer in a microchannel with internal longitudinal fins. Int. J. Therm. Sci. 2009, 48, 1908–1913. [Google Scholar] [CrossRef]
- Wang, Q.W.; Lin, M.; Zeng, M. Effect of lateral fin profiles on turbulent flow and heat transfer performance of internal finned tubes. Appl. Therm. Eng. 2009, 29, 3006–3013. [Google Scholar] [CrossRef]
- Manglik, R.; Bergles, A. Heat transfer and pressure drop correlations for twisted-tape inserts in isothermal tubes: Part I–Laminar flows. Trans. Am. Soc. Mech. Eng. J. Heat Transf. 1993, 115, 881. [Google Scholar] [CrossRef]
- Manglik, R.M.; Bergles, A.E. Heat Transfer and Pressure Drop Correlations for Twisted-Tape Inserts in Isothermal Tubes: Part II—Transition and Turbulent Flows. J. Heat Transf. 1993, 115, 890–896. [Google Scholar] [CrossRef]
- Saha, S.K.; Dutta, A.; Dhal, S.K. Friction and heat transfer characteristics of laminar swirl flow through a circular tube fitted with regularly spaced twisted-tape elements. Int. J. Heat Mass Transf. 2001, 44, 4211–4223. [Google Scholar] [CrossRef]
- Wongcharee, K.; Eiamsa-Ard, S. Friction and heat transfer characteristics of laminar swirl flow through the round tubes inserted with alternate clockwise and counter-clockwise twisted-tapes. Int. Commun. Heat Mass Transf. 2011, 38, 348–352. [Google Scholar] [CrossRef]
- Dang, W.; Wang, L.-B. Convective heat transfer enhancement mechanisms in circular tube inserted with a type of twined coil. Int. J. Heat Mass Transf. 2021, 169, 120960. [Google Scholar] [CrossRef]
- Sharifi, K.; Sabet, M.; Rafiei, M.; Mohammadi, A.H.; Ghaffari, A.; Asl, M.H.; Yousefi, H. A good contribution of computational fluid dynamics (CFD) and GA-ANN methods to find the best type of helical wire inserted tube in heat exchangers. Int. J. Therm. Sci. 2020, 154, 106398. [Google Scholar] [CrossRef]
- Promvonge, P.; Skullong, S.; Kwankaomeng, S.; Thiangpong, C. Heat transfer in square duct fitted diagonally with angle-finned tape—Part 1: Experimental study. Int. Commun. Heat Mass Transf. 2012, 39, 617–624. [Google Scholar] [CrossRef]
- Tandiroglu, A. Effect of flow geometry parameters on transient heat transfer for turbulent flow in a circular tube with baffle inserts. Int. J. Heat Mass Transf. 2006, 49, 1559–1567. [Google Scholar] [CrossRef]
- Liou, T.-M.; Chen, C.-C.; Wang, C.-S.; Wang, E.-S. Thermal-fluidic correlations for turbulent flow in a serpentine heat exchanger with novel wing-shaped turbulators. Int. J. Heat Mass Transf. 2020, 160, 120220. [Google Scholar] [CrossRef]
- Skullong, S.; Promvonge, P.; Thianpong, C.; Jayranaiwachira, M. Thermal behaviors in a round tube equipped with quadruple perforated-delta-winglet pairs. Appl. Therm. Eng. 2017, 115, 229–243. [Google Scholar] [CrossRef]
- Promvonge, P.; Skullong, S. Thermo-hydraulic performance in heat exchanger tube with V-shaped winglet vortex generator. Appl. Therm. Eng. 2019, 164, 114424. [Google Scholar] [CrossRef]
- Iasiello, M.; Bianco, N.; Chiu, W.K.S.; Naso, V. The effects of variable porosity and cell size on the thermal performance of functionally-graded foams. Int. J. Therm. Sci. 2020, 160, 106696. [Google Scholar] [CrossRef]
- Jamarani, A.; Maerefat, M.; Jouybari, N.F.; Nimvari, M.E. Thermal Performance Evaluation of a Double-Tube Heat Exchanger Partially Filled with Porous Media Under Turbulent Flow Regime. Transp. Porous Media 2017, 120, 449–471. [Google Scholar] [CrossRef]
- Menter, F.R. Two-equation eddy-viscosity turbulence models for engineering applications. AIAA J. 1994, 32, 1598–1605. [Google Scholar] [CrossRef] [Green Version]
- Liu, L.; Cao, Z.; Shen, T.; Zhang, L. Experimental and numerical investigation on flow and heat transfer characteristics of a multi-waves internally spiral finned tube. Int. J. Heat Mass Transf. 2021, 172, 121104. [Google Scholar] [CrossRef]
- Duan, L.; Ling, X.; Peng, H. Flow and heat transfer characteristics of a double-tube structure internal finned tube with blossom shape internal fins. Appl. Ther. Eng. 2018, 128, 1102–1115. [Google Scholar] [CrossRef]
- Cheng, J.; Qian, Z.; Wang, Q. Analysis of heat transfer and flow resistance of twisted oval tube in low Reynolds number flow. Int. J. Heat Mass Transf. 2017, 109, 761–777. [Google Scholar] [CrossRef]
- Li, Y.; Qian, Z.; Wang, Q. Numerical Analysis on Thermohydraulic Performance of the Tube Inserted with Rectangular Winglet Vortex Generators. Energies 2021, 15, 179. [Google Scholar] [CrossRef]
- Bharadwaj, P.; Khondge, A.; Date, A. Heat transfer and pressure drop in a spirally grooved tube with twisted tape insert. Int. J. Heat Mass Transf. 2009, 52, 1938–1944. [Google Scholar] [CrossRef]
- Webb, R. Performance evaluation criteria for use of enhanced heat transfer surfaces in heat exchanger design. Int. J. Heat Mass Transf. 1981, 24, 715–726. [Google Scholar] [CrossRef]
- Cheraghi, M.H.; Ameri, M.; Shahabadi, M. Numerical study on the heat transfer enhancement and pressure drop inside deep dimpled tubes. Int. J. Heat Mass Transf. 2020, 147, 118845. [Google Scholar] [CrossRef]
- ANSYS Inc. Fluent; Version 6.3; ANSYS Inc.: Canonsburg, PA, USA, 2009. [Google Scholar]
- Bergman, T.L.; Incropera, F.P.; DeWitt, D.P.; Lavine, A.S. Fundamentals of Heat and Mass Transfer; John Wiley & Sons: Hoboken, NJ, USA, 2011. [Google Scholar]
- Kim, G.-Y.; Han, J.-I.; Park, J.-K. Inertial Microfluidics-Based Cell Sorting. BioChip J. 2018, 12, 257–267. [Google Scholar] [CrossRef]
- Zhang, J.; Yan, S.; Yuan, D.; Alici, G.; Nguyen, N.-T.; Warkiani, M.E.; Li, W. Fundamentals and applications of inertial microfluidics: A review. Lab Chip 2016, 16, 10–34. [Google Scholar] [CrossRef] [PubMed] [Green Version]
- Liu, N.; Petchakup, C.; Tay, H.M.; Li, K.H.H.; Hou, H.W. Spiral Inertial Microfluidics for Cell Separation and Biomedical Applications. In Applications of Microfluidic Systems in Biology and Medicine; Tokeshi, M., Ed.; Springer: Singapore, 2019; pp. 99–150. [Google Scholar] [CrossRef]
- Promvonge, P. Thermal performance in circular tube fitted with coiled square wires. Energy Convers. Manag. 2008, 49, 980–987. [Google Scholar] [CrossRef]
- Promvonge, P. Thermal augmentation in circular tube with twisted tape and wire coil turbulators. Energy Convers. Manag. 2008, 49, 2949–2955. [Google Scholar] [CrossRef]






















| Tube Parameters | Unit | Value |
|---|---|---|
| Inner diameter of the tube (Di) | mm | 17.44 |
| Outer diameter of the tube (Do) | mm | 18.44 |
| Tube length (L) | mm | 600 |
| Height (H) | mm | 4, 4.5, 5, 5.5, 6 |
| Number (N) | - | 4, 5, 6, 7, 8 |
| Pitch (P) | μμ | 50, 60, 75, 80, 100 |
| Thickness (δ) | mm | 0.5 |
| Case No. | Type | H (mm) | N | P (mm) |
|---|---|---|---|---|
| Case 1 | Circular tube | - | - | - |
| Case 2 | Finned tube | 4 | 6 | 75 |
| Case 3 | Finned tube | 4.5 | 6 | 75 |
| Case 4 | Finned tube | 5 | 6 | 75 |
| Case 5 | Finned tube | 5.5 | 6 | 75 |
| Case 6 | Finned tube | 6 | 6 | 75 |
| Case 7 | Finned tube | 5 | 4 | 75 |
| Case 8 | Finned tube | 5 | 5 | 75 |
| Case 9 | Finned tube | 5 | 7 | 75 |
| Case 10 | Finned tube | 5 | 8 | 75 |
| Case 11 | Finned tube | 5 | 6 | 50 |
| Case 12 | Finned tube | 5 | 6 | 60 |
| Case 13 | Finned tube | 5 | 6 | 80 |
| Case 14 | Finned tube | 5 | 6 | 100 |
| Thermo-Physical Properties | Value |
|---|---|
| 998.2 kg/m3 | |
| μ | 0.6 W/(m·K) |
| λ | 1.003 × 10−3 kg/(m·s) |
| c | 4182 J/(kg·K) |
| Total Element Number | Nu | f |
|---|---|---|
| 8,065,419 | 20.135 | 0.0481 |
| 11,203,125 | 20.943 | 0.0501 |
| 14,407,200 | 21.901 | 0.0514 |
| 17,735,446 | 21.966 | 0.0516 |
| 19,416,892 | 21.989 | 0.0519 |
Publisher’s Note: MDPI stays neutral with regard to jurisdictional claims in published maps and institutional affiliations. |
© 2022 by the authors. Licensee MDPI, Basel, Switzerland. This article is an open access article distributed under the terms and conditions of the Creative Commons Attribution (CC BY) license (https://creativecommons.org/licenses/by/4.0/).
Share and Cite
Li, Y.; Qian, Z.; Wang, Q. A Thermohydraulic Performance of Internal Spiral Finned Tube Based on the Inner Tube Secondary Flow. Energies 2022, 15, 648. https://doi.org/10.3390/en15020648
Li Y, Qian Z, Wang Q. A Thermohydraulic Performance of Internal Spiral Finned Tube Based on the Inner Tube Secondary Flow. Energies. 2022; 15(2):648. https://doi.org/10.3390/en15020648
Chicago/Turabian StyleLi, Yicong, Zuoqin Qian, and Qiang Wang. 2022. "A Thermohydraulic Performance of Internal Spiral Finned Tube Based on the Inner Tube Secondary Flow" Energies 15, no. 2: 648. https://doi.org/10.3390/en15020648
APA StyleLi, Y., Qian, Z., & Wang, Q. (2022). A Thermohydraulic Performance of Internal Spiral Finned Tube Based on the Inner Tube Secondary Flow. Energies, 15(2), 648. https://doi.org/10.3390/en15020648

