A Convenient Method for the Accurate Calculation of Fin Efficiency of H-Type Fins Based on Linear Nomograms and Fitting Formulae
Abstract
:1. Introduction
2. Model Description and Numerical Method
2.1. Physical Model
- (1)
- A heat dissipation model is applied to the H-type fin for this paper. The temperatures of fin base and the ambient fluid are constant as Tlj and Tf, respectively.
- (2)
- The thermal conduction along the thickness direction is ignored, and the heat conduction inside the H-type fin is two-dimensional.
- (3)
- The fin thermal conductivity is constant. The thermal contact resistance between the fin and the tube is not considered.
2.2. Governing Equations
2.3. Data Reduction
2.4. Grid Independency
2.5. Validation of the Method
3. Results and Discussion
3.1. Linear Nomograms and Fitting Formulae of Fin Efficiency of H-Type Fins
3.2. The Effect of Slit Width
3.3. The Effect of Fin Height
3.4. The Effect of Fin Thickness
3.5. The Effect of Fin Thermal Conductivity
3.6. The Effect of Surface Heat Transfer Coefficient
4. Conclusions
- (1)
- The linear nomograms and fitting formulae of fin efficiency of H-type fins obtained in different non-dimensional slit widths (G/do = 0.158, 0.263, and 0.368) and various non-dimensional fin heights (H/do = 1.5, 1.79, 2, 2.32, 2.53, 2.74, and 3) are presented, which are in good agreement with the experimental results. This method offers an accurate and reliable reference for theoretical research and engineering application.
- (2)
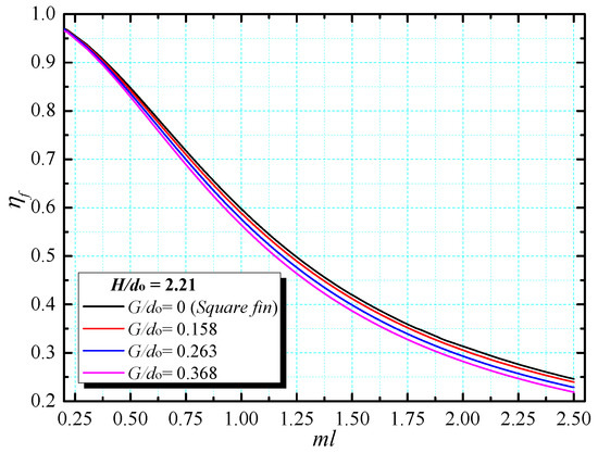
- An increasing slit width is found to decrease the fin efficiency of H-type fins. The larger the slit width, the greater the discrepancy in the fin efficiency between H-type and square fins is.
- (3)
- The increase in the fin thickness and fin thermal conductivity results in an increment of fin efficiency and a decline in the difference in the fin efficiency between H-type and square fins.
- (4)
- With increasing fin height and surface heat transfer coefficient, the fin efficiency of the H-type and square fins decreases while the difference in the fin efficiency between these two kinds of fins increases.
Author Contributions
Funding
Institutional Review Board Statement
Informed Consent Statement
Data Availability Statement
Acknowledgments
Conflicts of Interest
Nomenclature
| A | fin width, m |
| do | outer diameter of the tube, m |
| F | heat-exchanging area of the fin surface, m2 |
| Fij | area of an element, m2 |
| G | slit width, m |
| h | average surface heat transfer coefficient combining radiation and convection, W⋅m−2⋅K−1 |
| H | fin height, m |
| p | tube wall thickness, m |
| q0 | actual heat transfer rate, W |
| qmax | ideal heat transfer rate, W |
| t | fin temperature, °C |
| tf | ambient fluid temperature, °C |
| tfb | temperature of the fin base, °C |
| tij | temperature of an element, °C |
| δ | fin thickness, m |
| λ | fin thermal conductivity, W⋅m−1⋅K−1 |
References
- Borunda, M.; Garduno-Ramirez, R.; Jaramillo, O.A. Optimal operation of a parabolic solar collector with twisted-tape insert by multi-objective genetic algorithms. Renew. Energy 2019, 143, 540–550. [Google Scholar] [CrossRef]
- Mehta, D.S.; Vaghela, B.; Rathod, M.K.; Banerjee, J. Heat transfer enhancement using spiral fins in different orientations of Latent Heat Storage Unit. Int. J. Therm. Sci. 2021, 169, 107060. [Google Scholar] [CrossRef]
- Lotfi, B.; Sundén, B. Development of new finned tube heat exchanger: Innovative tube-bank design and thermohydraulic performance. Heat Transf. Eng. 2020, 41, 1209–1231. [Google Scholar] [CrossRef] [Green Version]
- Mosavati, B.; Mosavati, M. A New Approach to Solve Inverse Boundary Design of a Radiative Enclosure with Specular–Diffuse Surfaces. J. Heat Transf. 2022, 144, 012801. [Google Scholar] [CrossRef]
- Mosavati, B.; Mosavati, M.; Kowsary, F. Inverse boundary design solution in a combined radiating-free convecting furnace filled with participating medium containing specularly reflecting walls. Int. Commun. Heat Mass Transf. 2016, 76, 69–76. [Google Scholar] [CrossRef]
- Xia, G.; Zhao, H.; Zhang, J.; Yang, H.; Feng, B.; Zhang, Q.; Song, X. Study on Performance of the Thermoelectric Cooling Device with Novel Subchannel Finned Heat Sink. Energies 2022, 15, 145. [Google Scholar] [CrossRef]
- Seol, S.-H.; Lee, S.-G.; Son, C.-H.; Yoon, J.-H.; Eom, I.-S.; Park, Y.-M.; Yoon, J.-I. Effects of Experimental Parameters on Condensation Heat Transfer in Plate Fin Heat Exchanger. Energies 2021, 14, 7681. [Google Scholar] [CrossRef]
- Sun, X.; Mahdi, J.M.; Mohammed, H.I.; Majdi, H.S.; Zixiong, W.; Talebizadehsardari, P. Solidification Enhancement in a Triple-Tube Latent Heat Energy Storage System Using Twisted Fins. Energies 2021, 14, 7179. [Google Scholar] [CrossRef]
- Alazwari, M.A.; Safaei, M.R. Non-Isothermal Hydrodynamic Characteristics of a Nanofluid in a Fin-Attached Rotating Tube Bundle. Mathematics 2021, 9, 1153. [Google Scholar] [CrossRef]
- Wang, Y.; He, Y.L.; Li, Y.S.; Cheng, Z.D. Theoretical study of air-side volatility effects on the performance of H-type finned heat exchangers in waste heat utilization. Numer. Heat Tranf. A-Appl. 2016, 70, 613–638. [Google Scholar] [CrossRef]
- Zheng, N.B.; Liu, P.; Shan, F.; Liu, Z.C.; Liu, W. Turbulent flow and heat transfer enhancement in a heat exchanger tube fitted with novel discrete inclined grooves. Int. J. Therm. Sci. 2017, 111, 289–300. [Google Scholar] [CrossRef]
- Zhao, X.B.; Tang, G.H.; Shi, Y.T.; Li, Y.K. Experimental study of heat transfer and pressure drop for H-type finned oval tube with longitudinal vortex generators and dimples under flue gas. Heat Transf. Eng. 2017, 39, 608–616. [Google Scholar] [CrossRef]
- Jin, Y.; Tang, G.H.; He, Y.L.; Tao, W.Q. Parametric study and field synergy principle analysis of H-type finned tube bank with 10 rows. Int. J. Heat Mass Transf. 2013, 60, 214–251. [Google Scholar] [CrossRef]
- Li, X.Z.; Zhu, D.S.; Sun, J.F.; Mo, X.; Yin, Y.D. Air side heat transfer and pressure drop of H type fin and tube bundles with in line layouts. Exp. Therm. Fluid Sci. 2018, 96, 146–153. [Google Scholar] [CrossRef]
- Wang, F.L.; He, Y.L.; Tang, S.Z.; Tong, Z.X. Parameter study on the fouling characteristics of the H-type finned tube heat exchangers. Int. J. Heat Mass Transf. 2017, 112, 367–378. [Google Scholar] [CrossRef]
- Chen, H.L.; Wang, C.C. Analytical analysis and experimental verification of trapezoidal fin for assessment of heat sink performance and material saving. Appl. Therm. Eng. 2016, 98, 203–212. [Google Scholar] [CrossRef]
- Perrotin, T.; Clodic, D. Fin efficiency calculation in enhanced fin-and-tube heat exchangers in dry conditions. In Proceedings of the 21st IIR International Congress of Refrigeration, Washington, DC, USA, 17–22 August 2003. [Google Scholar]
- Schmidt, T.E. Heat transfer calculations for extended surfaces. Refrig. Eng. 1949, 4, 351–357. [Google Scholar]
- Cuce, E.; Oztekin, E.K.; Cuce, P.M. Heat transfer enhancement in cylindrical fins through longitudinal parabolic perforations. Int. J. Ambient Energy 2019, 40, 406–412. [Google Scholar] [CrossRef]
- Bhale, P.; Kaushik, M.; Liaw, J.S.; Wang, C.C. Airside Performance of H-Type Finned Tube Banks with Surface Modifications. Energies 2019, 12, 584. [Google Scholar] [CrossRef] [Green Version]
- Chen, H.; Wang, Y.; Zhao, Q.; Ma, H.; Li, Y.; Chen, Z. Experimental Investigation of Heat Transfer and Pressure Drop Characteristics of H-type Finned Tube Banks. Energies 2014, 7, 7094. [Google Scholar] [CrossRef] [Green Version]
- Wang, Y.C.; Tang, G.H. Acid condensation and heat transfer characteristics on H-type fin surface with bleeding dimples and longitudinal vortex generators. Chin. Sci. Bull. 2014, 59, 4405–4417. [Google Scholar] [CrossRef]
- Zhao, X.B.; Tang, G.H.; Ma, X.W.; Jin, Y.; Tao, W.Q. Numerical investigation of heat transfer and erosion characteristics for H-type finned oval tube with longitudinal vortex generators and dimples. Appl. Energy 2014, 127, 93–104. [Google Scholar] [CrossRef]
- Jin, Y.; Yu, Z.Q.; Tang, G.H.; He, Y.L.; Tao, W.Q. Parametric study and multiple correlations of an H-type finned tube bank in a fully developed region. Numer. Heat Tranf. A-Appl. 2016, 70, 64–78. [Google Scholar] [CrossRef]
- Li, X.L.; Wang, S.Q.; Yang, D.L.; Tang, G.H.; Wang, Y.C. Thermal-hydraulic and fouling performances of enhanced double H-type finned tubes for residual heat recovery. Appl. Therm. Eng. 2021, 189, 116724. [Google Scholar] [CrossRef]
- Yang, Z.J.; Yuan, Y.C.; Yang, Y.Q.; Yang, X. Calculation for Fin Efficiency of H-Type Finned Elliptical Tube. Boil. Technol. 2019, 50, 18–23. [Google Scholar] [CrossRef]
- Liu, Y.Z.; Yuan, Y.C.; Xu, S.Y.; Wu, W.B. Experimental study on the characteristics of heat transfer and flow resistance for H-type finned tube banks. J. Univ. Shanghai Sci. Technol. 2004, 26, 457–460. [Google Scholar] [CrossRef]
- Gurewitch, A.M.; Kuznetsov, H.B. Thermal Calculation for Boilers-Standardization Method, 1973th ed.; China Machine Press: Beijing, China, 1976; p. 319. [Google Scholar]
- Roy, A.K.; Kumar, K. 2D heat conduction on a flat plate with Ti6Al4V alloy under steady state conduction: A numerical analysis. Mater. Today 2021, 46, 896–902. [Google Scholar] [CrossRef]













| H/mm | A/mm | G/mm | δ/mm | do/mm | p/mm |
|---|---|---|---|---|---|
| 84 | 84 | 10 | 3 | 38 | 5 |
| Geometric Parameters | do/mm | H and A/mm | G/mm | δ/mm |
| Values | 38 | 84 | 10 | 3 |
| Thermal parameters | tfb/°C | tf/°C | λ/(W/(m·K)) | h/(W/(m2·K)) |
| Values | 70 | 25 | 43.2 | 40 |
| Grid number | 1111 | 1736 | 2390 | 2998 |
| The lowest temperature | 55.478 °C | 55.449 °C | 55.433 °C | 55.437 °C |
| Temperature difference | -- | 0.029 °C | 0.016 °C | 0.004 °C |
Publisher’s Note: MDPI stays neutral with regard to jurisdictional claims in published maps and institutional affiliations. |
© 2022 by the authors. Licensee MDPI, Basel, Switzerland. This article is an open access article distributed under the terms and conditions of the Creative Commons Attribution (CC BY) license (https://creativecommons.org/licenses/by/4.0/).
Share and Cite
Feng, Y.; Wu, X.; Liang, C.; Sun, Z. A Convenient Method for the Accurate Calculation of Fin Efficiency of H-Type Fins Based on Linear Nomograms and Fitting Formulae. Energies 2022, 15, 456. https://doi.org/10.3390/en15020456
Feng Y, Wu X, Liang C, Sun Z. A Convenient Method for the Accurate Calculation of Fin Efficiency of H-Type Fins Based on Linear Nomograms and Fitting Formulae. Energies. 2022; 15(2):456. https://doi.org/10.3390/en15020456
Chicago/Turabian StyleFeng, Yongshi, Xin Wu, Cai Liang, and Zhongping Sun. 2022. "A Convenient Method for the Accurate Calculation of Fin Efficiency of H-Type Fins Based on Linear Nomograms and Fitting Formulae" Energies 15, no. 2: 456. https://doi.org/10.3390/en15020456
APA StyleFeng, Y., Wu, X., Liang, C., & Sun, Z. (2022). A Convenient Method for the Accurate Calculation of Fin Efficiency of H-Type Fins Based on Linear Nomograms and Fitting Formulae. Energies, 15(2), 456. https://doi.org/10.3390/en15020456
