Study on Influential Mechanism of Trailing Edge Sweep Angle on Aerodynamic Noise of a Centrifugal Air Compressor
Abstract
1. Introduction
2. Numerical Method
2.1. Introduction of the CFD Model
2.2. CFD–BEM Coupling Model
2.3. Numerical Model Validation
3. Aerodynamic Performance and Flow Characteristics
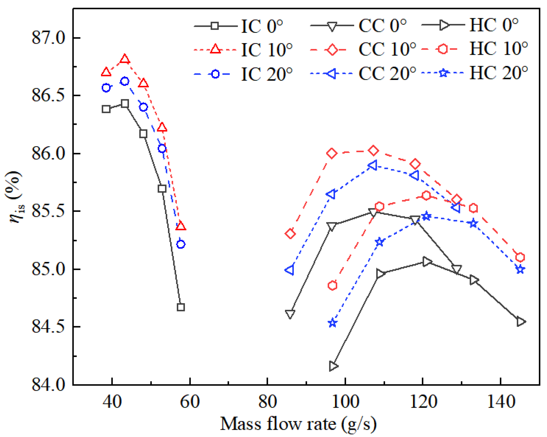
3.1. Aerodynamic Performance
3.2. Flow Characteristics
4. Characteristics of Aerodynamic Noise
4.1. Calculation of Excitation Source Intensity by FW–H Equation
4.2. Calculation of Aerodynamic Noise Characteristics by CFD–BEM Coupling Method
5. Conclusions
- The ηis of the impeller with TE sweep is improved under each operating condition. The higher the rotation speed, the greater the improvement. With the increase in the sweep angle, the variation of the ηis shows a trend of decreasing first and then increasing. Compared to the impeller without sweep, the peak ηis is improved by 0.26%, 0.62%, and 0.67%, respectively, for the three operating conditions with a sweep angle of 10°.
- The αTE affects the loss caused by the mixing of the tip clearance flow with the main flow, the flow separation loss at the tip near the TE pressure surface, and the flow separation loss at the TE of the middle blade height accordingly affects the efficiency of the impeller.
- As the sweep angle increases, the acoustic dipole intensity distribution along the flow direction generally decreases. However, the larger the αTE is, the larger the blade area near TE at the higher acoustic pole excitation intensity, which will affect the overall acoustic excitation intensity of the blade.
- The SPL of the compressor under each working condition can be effectively reduced by the TE sweep. With the increase in αTE, the SPL of aerodynamic noise decreases first, then increases, and then decreases due to the influence of impeller sound source intensity, position, and radiation area. The SPL is the lowest when the sweep angle is 15°. Compared with the impeller without TE sweep, when the αTE is 15°, the SPL of the aerodynamic noise is reduced by 1.4 dBA under IC, 4.3 dBA under CC, and 5.8 dBA under HC. Therefore, the TE sweep has a significant effect on the reduction of aerodynamic noise. Considering the influence of αTE on efficiency and aerodynamic noise, it is recommended that the αTE of 10–15° be applied to impeller design.
Author Contributions
Funding
Data Availability Statement
Acknowledgments
Conflicts of Interest
Nomenclature
| density | |
| u, v, w | velocity |
| S | source term |
| T | temperature |
| specific heat at constant pressure | |
| h | specific enthalpy |
| D | cross-diffusion term |
| PR | Pressure ratio |
| k | specific heat ratio |
| CFD | computational fluid dynamics |
| SST | shear stress transport |
| t | time |
| x, y, z | position coordinates |
| p | pressure |
| k | fluctuation kinetic energy |
| effective diffusivity | |
| Y | dissipation term |
| ω | specific turbulence dissipation rate |
| isentropic efficiency | |
| RANS | Reynold-averaged Naviers-Stokes |
| BEM | boundary element method |
References
- Raitor, T.; Neise, W. Sound generation in centrifugal compressors. J. Sound Vib. 2008, 314, 738–756. [Google Scholar] [CrossRef]
- Fan, C. Simulation and Experimental Study on Aerodynamic Noise of Small Centrifugal Impeller. Master’s Thesis, Harbin Engineering University, Harbin, China, 2021. [Google Scholar]
- Sun, H.; Shin, H.; Lee, S. Analysis and optimization of aerodynamic noise in a centrifugal compressor. J. Sound Vib. 2006, 289, 999–1018. [Google Scholar] [CrossRef]
- Zhang, F. Numerical Prediction Method and Experimental Analysis of Aerodynamic Noise of Marine Centrifugal. Master’s Thesis, Jiangsu University of Science and Technology, Jiangsu, China, 2020. [Google Scholar]
- Liu, C.; Zhang, W.; Cao, Y.; Pingjian, M.; Yang, L. Prediction of marine diesel turbocharger compressor aerodynamic noise at high efficiency operating conditions. J. Harbin Eng. Univ. 2019, 4, 8. [Google Scholar] [CrossRef]
- Liu, C. Analysis of Aerodynamic Noise Characteristics of Centrifugal Compressor in a Marine Turbocharger. Ph.D. Thesis, Harbin Engineering University, Harbin, China, 2021. [Google Scholar]
- Ganesh, C.S.; Nagpurwala, Q.H.; Dixit, C. Effect of Leading Edge Sweep on the Performance of a Centrifugal Compressor Impeller. SASTech 2011, 9, 55–62. [Google Scholar]
- Zhao, H.; Wang, Z.; Tang, Y.; Xi, G. Effects of Blade Leading Edge Lean and Sweep on the Aerodynamic Performance of Centrifugal Impellers. J. Xi’an Jiaotong Univ. 2015, 49, 1–7. [Google Scholar] [CrossRef]
- Guo, L.; Liu, Y.; Zheng, X.; Cui, Q. Effect of Hybrid Leading Edge Sweep on the Aerodynamic Performance of Small Scale Transonic Centrifugal Compressor. Trans. CSICE 2016, 34, 281–287. [Google Scholar] [CrossRef]
- Wang, Y.; Liu, X.; Zhou, Y.; Fan, H.; Chen, Y.; Zhang, Z. Performance Analysis and Multi-Parameter Optimization of Centrifugal Impeller Configuration for the Centrifugal Compressor Used in Fuel Cell. J. Xi’an Jiaotong Univ. 2022, 6, 1–10. [Google Scholar]
- Tian, H.; Tong, D.; Zhang, J.; Cheng, J.; Liu, X. Flow Characteristic of Transonic Centrifugal Compressor with Free-Form Sweep Impeller at Leading and Trailing Edges. Trans. CSICE 2021, 39, 554–560. [Google Scholar] [CrossRef]
- Tian, H.; Tong, D.; Liu, Y.; Xing, W.; Chen, D.; Gao, C. The Effects of Blade Trailing Edge Swept on the Performance of Centrifugal Compressor. J. Eng. Thermophys. 2021, 42, 399–406. [Google Scholar]
- Wu, H.; Huang, H.; Zhang, B.; Xiong, B.; Lin, K. CFD Simulation and Experimental Study of Working Process of Screw Refrigeration Compressor with R134a. Energies 2019, 12, 2054. [Google Scholar] [CrossRef]
- Vycheslav, I.; Yuri, K.; Aleksei, D.; Yablokov, A.; Sokolov, M. Verification and Validation of CFD Modeling for Low-Flow-Coefficient Centrifugal Compressor Stages. Energies 2022, 15, 181. [Google Scholar] [CrossRef]















| Parameter | Value | Parameter | Value |
|---|---|---|---|
| Rated speed/r·min−1 | 80,000 | Inlet diameter/mm | 42.86 |
| Design mass flow/kg·s−1 | 0.12 | Outlet diameter/mm | 80 |
| Design pressure ratio | 1.7 | Leading edge sweep angle/° | 15 |
| Blade number | 13 | Blade outlet angle/° | 57 |
| Heights of the tip clearance/mm | 0.18 |
| Idle Condition (IC) | Common Condition (CC) | High-Speed Condition (HC) | |
|---|---|---|---|
| Rotation speed [r·min−1] | 30,000 | 72,000 | 80,000 |
| Mass flow [g∙s−1] | 48.0 | 107.2 | 120.8 |
| αTE | 0° | 10° | 15° | 20° | 25° | 30° |
|---|---|---|---|---|---|---|
| Monopole | 153 | 145 | 150 | 158 | 158 | 149 |
| Dipole | 113,643 | 112,394 | 111,928 | 112,969 | 113,362 | 113,374 |
| Quadrupole | 11,816 | 11,692 | 11,586 | 11,657 | 11,587 | 11,618 |
Publisher’s Note: MDPI stays neutral with regard to jurisdictional claims in published maps and institutional affiliations. |
© 2022 by the authors. Licensee MDPI, Basel, Switzerland. This article is an open access article distributed under the terms and conditions of the Creative Commons Attribution (CC BY) license (https://creativecommons.org/licenses/by/4.0/).
Share and Cite
Sun, S.; Feng, Y.; Xing, Z.; Zhou, M.; Chen, W.; Wang, C.; Cui, H. Study on Influential Mechanism of Trailing Edge Sweep Angle on Aerodynamic Noise of a Centrifugal Air Compressor. Energies 2022, 15, 7410. https://doi.org/10.3390/en15197410
Sun S, Feng Y, Xing Z, Zhou M, Chen W, Wang C, Cui H. Study on Influential Mechanism of Trailing Edge Sweep Angle on Aerodynamic Noise of a Centrifugal Air Compressor. Energies. 2022; 15(19):7410. https://doi.org/10.3390/en15197410
Chicago/Turabian StyleSun, Shizhong, Yiwei Feng, Ziwen Xing, Minglong Zhou, Wenqing Chen, Chuang Wang, and Hanyang Cui. 2022. "Study on Influential Mechanism of Trailing Edge Sweep Angle on Aerodynamic Noise of a Centrifugal Air Compressor" Energies 15, no. 19: 7410. https://doi.org/10.3390/en15197410
APA StyleSun, S., Feng, Y., Xing, Z., Zhou, M., Chen, W., Wang, C., & Cui, H. (2022). Study on Influential Mechanism of Trailing Edge Sweep Angle on Aerodynamic Noise of a Centrifugal Air Compressor. Energies, 15(19), 7410. https://doi.org/10.3390/en15197410

