Hierarchical Distributed Coordinated Control for Battery Energy Storage Systems Participating in Frequency Regulation
Abstract
1. Introduction
2. Dynamic Model of AGC for Regional Interconnection System with BESS
3. Hierarchical Distributed Coordinated Control for BESS Participating in Frequency Regulation
3.1. Frequency Regulation Control Policy for the Regional Dispatching Layer
3.1.1. The Dead Interval
3.1.2. The Normal Regulation Interval
3.1.3. Emergency Regulation Interval
3.2. Frequency Regulation Control Strategy at the BESS Station Level
3.2.1. Frequency Regulation Operating Cost Function for BESS
3.2.2. Operating Constraints of BESS Frequency Regulation
3.2.3. Coordinated Control Strategy for BESS Based on Distributed Consistency Algorithm
- The reference power of a BESS determined by the upper layer initializes the consistency variable. Each distributed BESS undertakes the reference power in proportion to complete the initialization;
- Each distributed BESS obtains the consistency variable of the adjacent distributed BESS through the communication topology set in advance and determines whether it is consistent with the consistency variable of the current distributed BESS λ agreement. Otherwise, the formula is used to iteratively update the consistency variables. A convergence accuracy ε is set considering that it is impossible for all consistency variables to be iteratively consistent in practice, and the approximate iteration can be completed within this range. The iterative process of consistency variables designed by the distributed consistency algorithm is:where is the consistency variable after m iteration at the k + 1 moment, hij is element of the sparse iteration matrix, is the initial allocated power at the k + 1 moment, Pi,k is the power allocation result at the previous moment, τ1 and τ2 are the weight coefficients in the distributed control algorithm.
- The output power of the distributed BESS at that moment is obtained through the consistency variable obtained after the iterative update, and the SOC is updated. If the SOC exceeds the limit, the distributed BESS needs to be withdrawn from operation, and the system will update the communication network topology and re-initialize. Conversely, the power output is carried out in consideration of the the output power constraints of BESS. The model contains four distributed BESS participating in power grid frequency regulation, and its communication topology is shown in Figure 8; the communication relationship between different distributed BESS nodes is described by the connection diagram G = (V,E), where V = {1, 2, …, n} represents the collection of communication topology nodes, E ⊆ V × V represents the edge set of the communication path.
4. Simulation Results
4.1. Simulation Parameter Settings
4.2. System Simulation Analysis
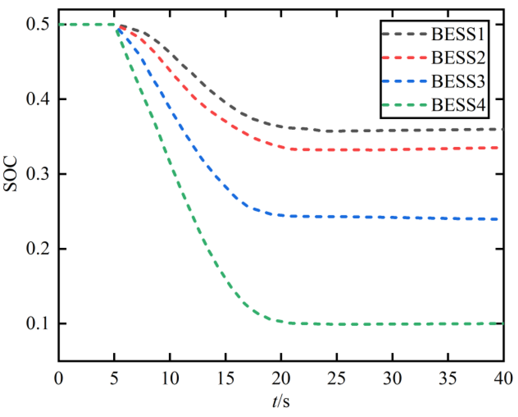
4.2.1. Step Load Disturbance Scenario
4.2.2. Continuous Load Disturbance Scenarios
5. Conclusions
- By adjusting the frequency regulation responsibility of each frequency regulation resource adaptively, the proposed strategy can not only ensure the frequency modulation effect of the system but also avoid excessive power loss of the BESS, so as to maximize the operating margin of BESS and realize the continuous economic operation of BESS.
- The proposed distributed control strategy takes into account the energy level and power limit of each distributed BESS, adjusts the frequency modulation output of each distributed BESS based on the operation economy, and maintains the respective SOC near the ideal value, so as to achieve the balance between the system frequency regulation performance and the operation economy, which has better robustness and control flexibility than the centralized control method.
- Each distributed BESS can adjust the frequency regulation output according to its respective operating economy to achieve economic optimization, so as to achieve the balance between the system frequency regulation performance and operating economy, which has better economy and control flexibility than the traditional control method.
- Since the proposed strategy makes full use of the residual capacity of the conventional generator to restore the SOC of BESS, the utilization rate of the secondary frequency regulation of the conventional generator is improved.
Author Contributions
Funding
Institutional Review Board Statement
Informed Consent Statement
Data Availability Statement
Conflicts of Interest
References
- Li, S.; Li, X.; Kang, Y.; Gao, Q. Load capability assessment and enhancement for transformers with integration of large-scale renewable energy: A brief review. Front. Energy Res. 2022. [Google Scholar] [CrossRef]
- Weng, X.S.; Yue, D.; Dou, X.C. Event-triggered mechanism based distributed optimal frequency regulation of power grid. IET Control. Theory Appl. 2019, 13, 2994–3005. [Google Scholar] [CrossRef]
- Li, J.L.; Ma, H.M.; Hui, D. Present Development Condition and Trends of Energy Storage Technology in the Integration of Distributed Renewable Energy. Trans. China Electrotech. Soc. 2016, 31, 1–10. [Google Scholar] [CrossRef]
- Yu, C.H.; Wu, J.P.; Yang, H.J.; Li, Z.H.; Teng, X.L. Frequency regulation strategy for power grid incorporating large-scale energy storage. Electr. Power Eng. Technol. 2019, 38, 68–73+105. [Google Scholar]
- Wang, K.F.; Xie, L.R.; Qiao, Y.; Lu, Z.X.; Yang, H. Analysis of frequency regulation performance of power system improved by battery energy storage. Autom. Electr. Power Syst. 2021, 46, 174–181. [Google Scholar]
- Lu, X.J.; Yin, J.W.; Li, Y. Optimal control strategy of AGC with participation of energy storage system based on multi-objective mesh adaptive direct search algorithm. Power Syst. Technol. 2019, 43, 2116–2124. [Google Scholar]
- Xie, X.; Guo, Y.; Wang, B.; Dong, Y.; Fei, X. Improving AGC performance of coal-fueled thermal generators using multi-mw scale BESS: A practical application. IEEE Trans. Smart Grid 2018, 9, 1769–1777. [Google Scholar] [CrossRef]
- Ren, L.Q.; Bai, Z.Y.; Yu, C.H.; Wang, Y.M.; Zheng, L. Research on active power control strategy for wind/photovoltaic/energy storage hybrid power system and its engineering application. Autom. Electr. Power Syst. 2014, 38, 105–111. [Google Scholar]
- Hu, Z.C.; Xie, X.; Zhang, F.; Zhang, J.; Song, Y.H. Research on automatic generation control strategy incorporating energy storage resources. Proc. CSEE 2014, 34, 5080–5087. [Google Scholar] [CrossRef]
- Jia, Y.B.; Zheng, J.; Chen, H.; Yan, Z.; Wang, J.H. Capacity allocation optimization of energy storage in thermal-storage frequency regulation dispatch system based on EEMD. Power Syst. Technol. 2018, 42, 2930–2937. [Google Scholar] [CrossRef]
- Tang, J.; Li, X.R.; Huang, J.Y.; Xu, P.; He, C. Capacity allocation of BESS in secondary frequency regulation with the goal of maximum net benefit. Trans. China Electrotech. Soc. 2019, 34, 963–972. [Google Scholar] [CrossRef]
- Tang, M.L.; Pei, Z.Y.; Shen, Y.J.; Wang, Q.S. Frequency regulation of thermal power units assisted by battery energy storage system. In Proceedings of the IEEE IAS Industrial and Commercial Power System Asia, Chengdu, China, 18–21 July 2021; pp. 69–73. [Google Scholar] [CrossRef]
- Zhu, H.; Wang, K.F.; Qiao, Y.; Xie, L.R.; Liu, G.J. Research on the substitution ability of battery energy storage system for thermal power units in frequency regulation. In Proceedings of the IEEE Sustainable Power and Energy Conference, Chengdu, China, 23–25 November 2020; pp. 712–718. [Google Scholar] [CrossRef]
- Ding, D.; Liu, Z.Q.; Yang, S.L.; Wu, X.G.; Li, T.T. Battery energy storage aid automatic generation control for load frequency control based on fuzzy control. Power Syst. Prot. Control. 2015, 43, 81–87. [Google Scholar]
- Li, P.Q.; Tan, Z.X.; Zhou, Y.J.; Li, C.B.; Li, R. Secondary frequency regulation strategy with fuzzy logic method and self-adaptive modification of state of charge. IEEE Access 2018, 6, 43575–43585. [Google Scholar] [CrossRef]
- Cui, H.F.; Yang, B.; Jiang, Y.; Tan, Z.X.; Cui, D. Strategy based on fuzzy control and self adaptive modification of SOC involved in secondary frequency regulation with battery energy storage. Power Syst. Prot. Control. 2019, 47, 89–97. [Google Scholar] [CrossRef]
- Wang, K.; Qiao, Y.; Xie, L. A fuzzy hierarchical strategy for improving frequency regulation of battery energy storage system. J. Mod. Power Syst. Clean Energy 2021, 9, 689–698. [Google Scholar] [CrossRef]
- Oshnoei, A.; Kheradmandi, M.; Muyeen, S.M. Robust control scheme for distributed battery energy storage systems in load frequency control. IEEE Trans. Power Syst. 2020, 35, 4781–4791. [Google Scholar] [CrossRef]
- Cui, Z.H.; Kang, L.; Li, L.W.; Wang, L.C.; Wang, K. A hybrid neural network model with improved input for state of charge estimation of lithium-ion battery at low temperatures. Renew. Energy 2022. [Google Scholar] [CrossRef]
- Ye, L.; Wang, K.F.; Lai, Y.L.; Chen, H.; Zhao, Y.L. A review of analysis of frequency characteristics and control strategies of battery energy Storage frequency regulation in power system under low inertia level. Power Syst. Technol. 2022. [Google Scholar] [CrossRef]
- Li, J.L.; Qu, S.K.; Ma, S.L.; Zeng, W.; Xiong, J.J. Research on frequency modulation control strategy of auxiliary power grid in battery energy storage system. J. Sol. Energy 2022, 1–12. [Google Scholar] [CrossRef]
- Liu, Y.P.; Tian, S.J.; Liang, H.P.; Xie, Y.; Huo, Q.D. Control strategy of a battery energy storage system considering SOC in primary frequency regulation of power grid. Power Syst. Prot. Control. 2022, 50, 107–118. [Google Scholar]
- Li, R.; Li, X.R.; Tan, Z.X.; Huang, J.Y.; Ma, Z.H. Frequency control considering deep and fast load changing capability of thermal power units. Autom. Electr. Power Syst. 2018, 42, 74–82. [Google Scholar]
- Lv, L.X.; Chen, S.H.; Zhang, X.B.; Pang, T.; Huang, C.X. Control strategy for secondary frequency regulation of power system considering SOC consensus of large-scale battery energy storage. Therm. Power Gener. 2021, 50, 108–117. [Google Scholar] [CrossRef]
- Zhao, T.; Parisio, A.; Milanovic, J. Distributed control of battery energy storage systems for improved frequency regulation. IEEE Trans. Power Syst. 2020, 35, 3729–3738. [Google Scholar] [CrossRef]
- Ding, M.; Shi, J.X.; Han, P.P. Integrated control strategy for photovoltaic storage system to participate in power grid frequency regulation and peak regulation. China Electr. Power 2021, 54, 116–123. [Google Scholar]
- Zhao, Y.X.; Gen, G.C.; Jiang, Q.Y. Frequency control strategy of single-generator supporting by energy storage considering power change rate. Electr. Power Autom. Equip. 2020, 40, 141–147. [Google Scholar]
- Zhang, S.Q.; Yuan, B.; Ji, Z.D.; Wei, X.J.; Zhao, J.F. A secondary frequency control based on the distributed control theory considering battery energy storage systems. Trans. China Electrotech. Soc. 2019, 34, 637–645. [Google Scholar] [CrossRef]
- He, L. Research on the Coordinated Control Strategy for Distributed Energy Storages in Hybrid AC/DC Power Grid. Ph.D. Thesis, Hunan University, Changsha, China, June 2020. [Google Scholar]
- Spangler, R.; Shoults, R. Power generation, operation, and control. IEEE Power Energy Mag. 2014, 12, 90–93. [Google Scholar]
- Zhang, Z.; Chow, M. Convergence analysis of the incremental cost consensus algorithm under different communication network topologies in a smart grid. IEEE Trans. Power Syst. 2012, 27, 1761–1768. [Google Scholar] [CrossRef]
- Duggal, I.; Venkatesh, B. Short-term scheduling of thermal generators and battery storage with depth of discharge-based cost model. IEEE Trans. Power Syst. 2015, 30, 2110–2118. [Google Scholar] [CrossRef]
- Chen, G.; Bao, Q.Y.; Zhang, J.L.; Wang, B.B.; Wu, M. Distributed cooperative control strategy for energy storage units considering life loss cost. Power Syst. Technol. 2018, 42, 1495–1501. [Google Scholar] [CrossRef]
- Chen, F.; Chen, M.; Li, Q.; Meng, K.; Guerrero, J. Cost-based droop schemes for economic dispatch in islanded microgrids. IEEE Trans. Smart Grid 2017, 8, 63–74. [Google Scholar] [CrossRef]
- Olfati-Saber, R.; Fax, J.A.; Murray, R.M. Consensus and cooperation in networked multi-agent systems. Proc. IEEE 2007, 95, 215–233. [Google Scholar] [CrossRef]


















| Parameter | Numeric Value |
|---|---|
| System frequency/Hz | f = 50 Hz |
| Difference factor/(per-unit value) | R = 2.4 |
| Frequency deviation coefficient/(per-unit value) | B = 0.045 |
| Governor time constant/s | Tg = 0.03 |
| Turbine time constant/s | Tch = 0.3 |
| Generator inertia time constant/(per-unit value) | M = 0.17 |
| Generator load damping coefficient/(per-unit value) | D = 0.008 |
| Proportions, integration constants | KP = 0.755, Ki = 1.038 |
| Number | Power Range/MW | Climbing Range/(MW/h) | Rated Capacity/(MW·h) | Charge/Discharge Efficiency | Energy Storage Time Constant | Converter Operating Loss Coefficient |
|---|---|---|---|---|---|---|
| BESS1 | ±10 | ±103 | 10 | 0.85/0.80 | 0.01 | 0.0213, 0.0103, 0.2078 |
| BESS2 | ±10 | ±103 | 8.5 | 0.90/0.85 | 0.01 | 0.2130, 0.0103, 0.4078 |
| BESS3 | ±9 | ±800 | 6.5 | 0.95/0.90 | 0.01 | 0.0224, 0.014, 0.1560 |
| BESS4 | ±5 | ±800 | 4.5 | 0.90/0.90 | 0.01 | 0.0217, 0.0108, 0.5076 |
Publisher’s Note: MDPI stays neutral with regard to jurisdictional claims in published maps and institutional affiliations. |
© 2022 by the authors. Licensee MDPI, Basel, Switzerland. This article is an open access article distributed under the terms and conditions of the Creative Commons Attribution (CC BY) license (https://creativecommons.org/licenses/by/4.0/).
Share and Cite
Yu, B.; Lv, Q.; Zhang, Z.; Dong, H. Hierarchical Distributed Coordinated Control for Battery Energy Storage Systems Participating in Frequency Regulation. Energies 2022, 15, 7283. https://doi.org/10.3390/en15197283
Yu B, Lv Q, Zhang Z, Dong H. Hierarchical Distributed Coordinated Control for Battery Energy Storage Systems Participating in Frequency Regulation. Energies. 2022; 15(19):7283. https://doi.org/10.3390/en15197283
Chicago/Turabian StyleYu, Bingqing, Qingquan Lv, Zhenzhen Zhang, and Haiying Dong. 2022. "Hierarchical Distributed Coordinated Control for Battery Energy Storage Systems Participating in Frequency Regulation" Energies 15, no. 19: 7283. https://doi.org/10.3390/en15197283
APA StyleYu, B., Lv, Q., Zhang, Z., & Dong, H. (2022). Hierarchical Distributed Coordinated Control for Battery Energy Storage Systems Participating in Frequency Regulation. Energies, 15(19), 7283. https://doi.org/10.3390/en15197283
