Energy and Exergy Analysis of Vapor Compression Refrigeration System with Low-GWP Refrigerants
Abstract
1. Introduction
2. Methodology
2.1. EES Modeling of Automotive Air-Conditioning System
2.2. Modeling Procedure
- The process took place under steady-state conditions.
- The effects of potential and kinetic energy were very small and were neglected.
- Superheat in an evaporator was the same as subcooling in the condenser.
- Subcooling in the condenser and superheating in the evaporator increased with the increase in revolutions of the compressor. Both superheat and subcooling values in the evaporator and condenser were 1 K, 2 K, and 3 K for 1000 RPM, 2000 RPM, and 3000 RPM, respectively.
- The volumetric and isentropic efficiencies of the compressor were the same. The isentropic efficiency of the compressor was 75%, 65%, and 55% at 1000 RPM, 2000 RPM, and 3000 RPM, respectively [10]. These compressor speeds presented idle (or low speed), city, and high-speed operations. The volumetric and isentropic efficiencies of the compressor reduced with the increase in compressor revolutions. This was due to irreversibility and entropy generation with the rise in compressor speed.
- The displacement of the compressor was 120 × 10−6 m3.rev−1, and its value was constant.
- The refrigerant entering the evaporator was a mixture of vapor and liquid, and the expansion in the throttle valve took place at constant enthalpy.
- The pressure drops in all the components were very small and were neglected.
2.3. Mathematical Model
3. Results and Discussion
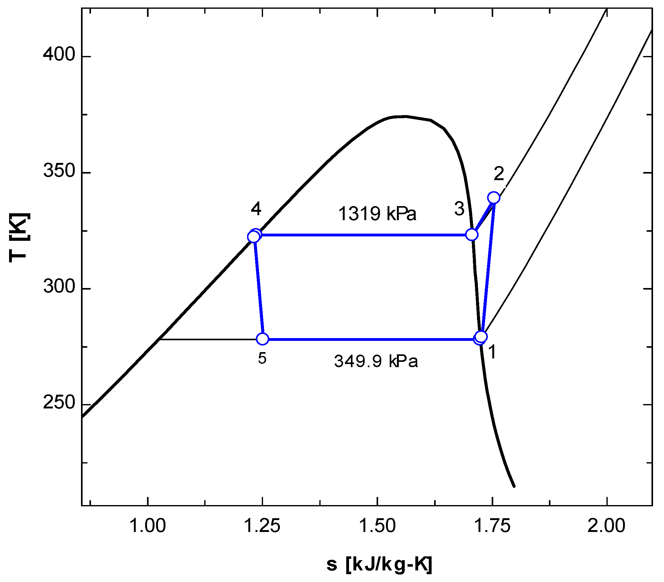
3.1. Comparison of Vapor Compression Refrigeration System (VCRS) with Different Refrigerants Using T-s and P-h Diagrams
3.2. Validation of EES Model
3.3. Performance Parameters
3.3.1. Coefficient of Performance
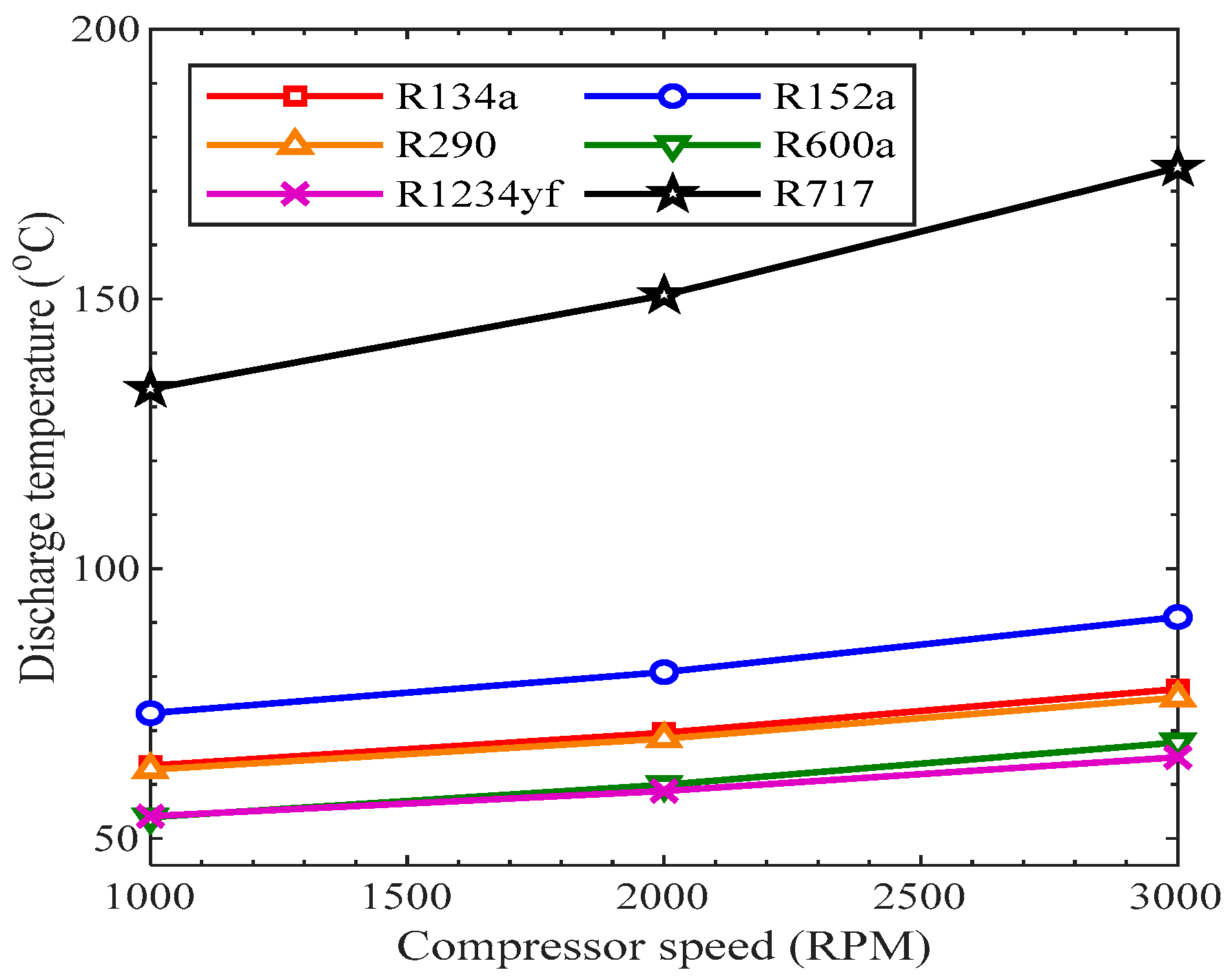
3.3.2. Discharge Temperature
3.3.3. Cooling Capacity
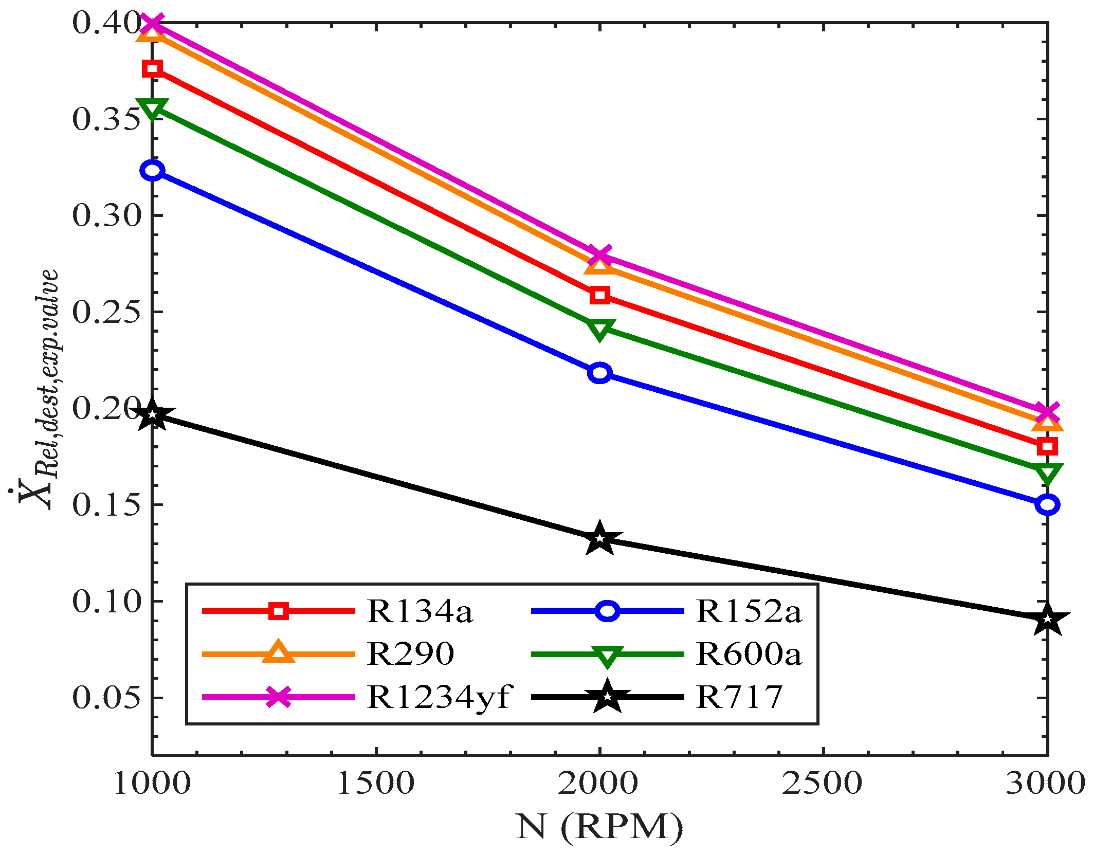
3.3.4. Exergy Destruction Rate
3.3.5. Exergy Efficiency
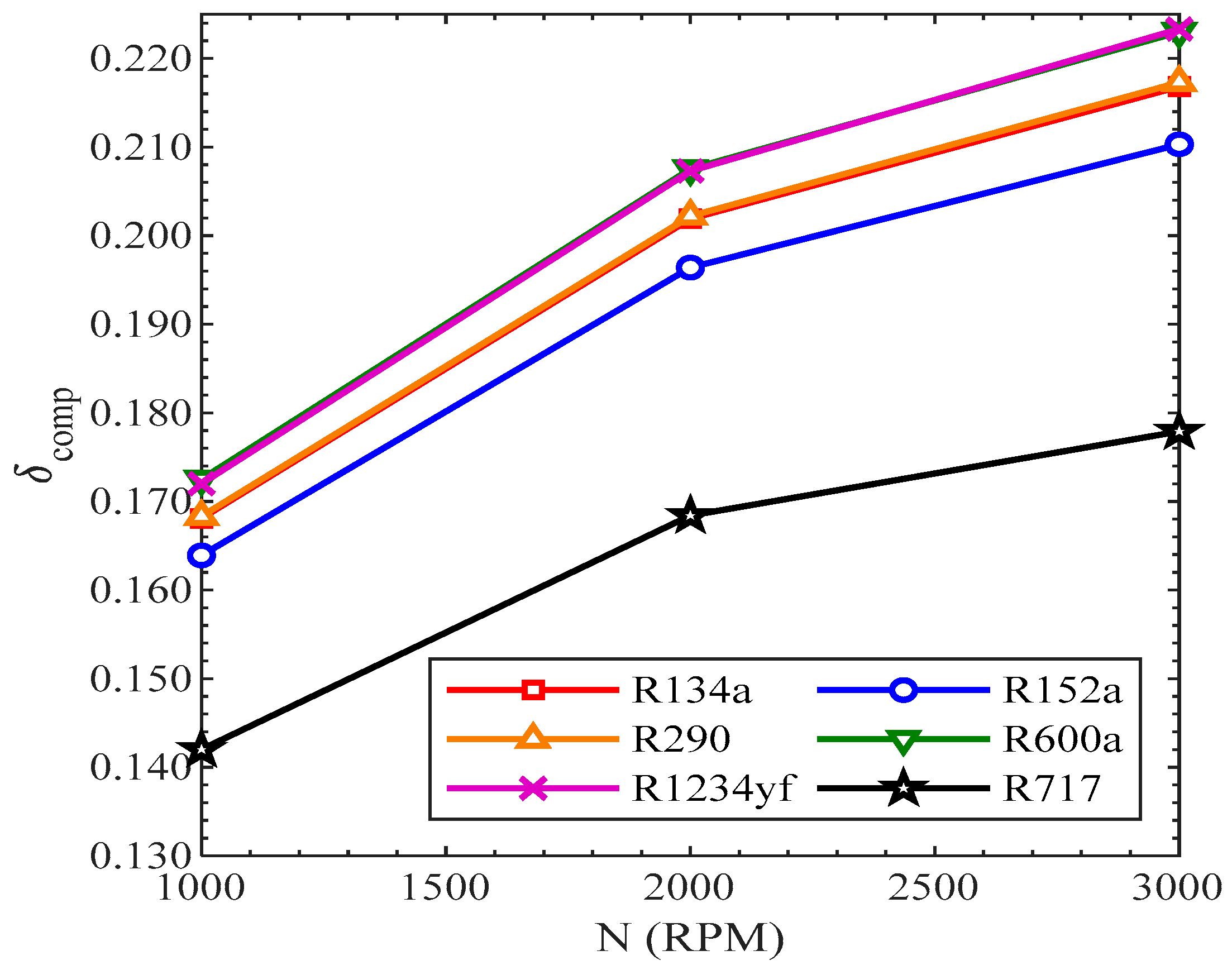
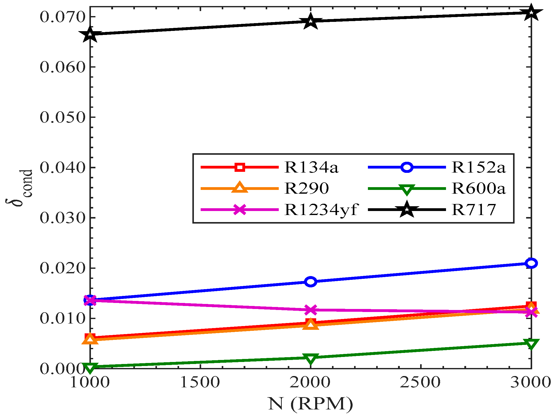
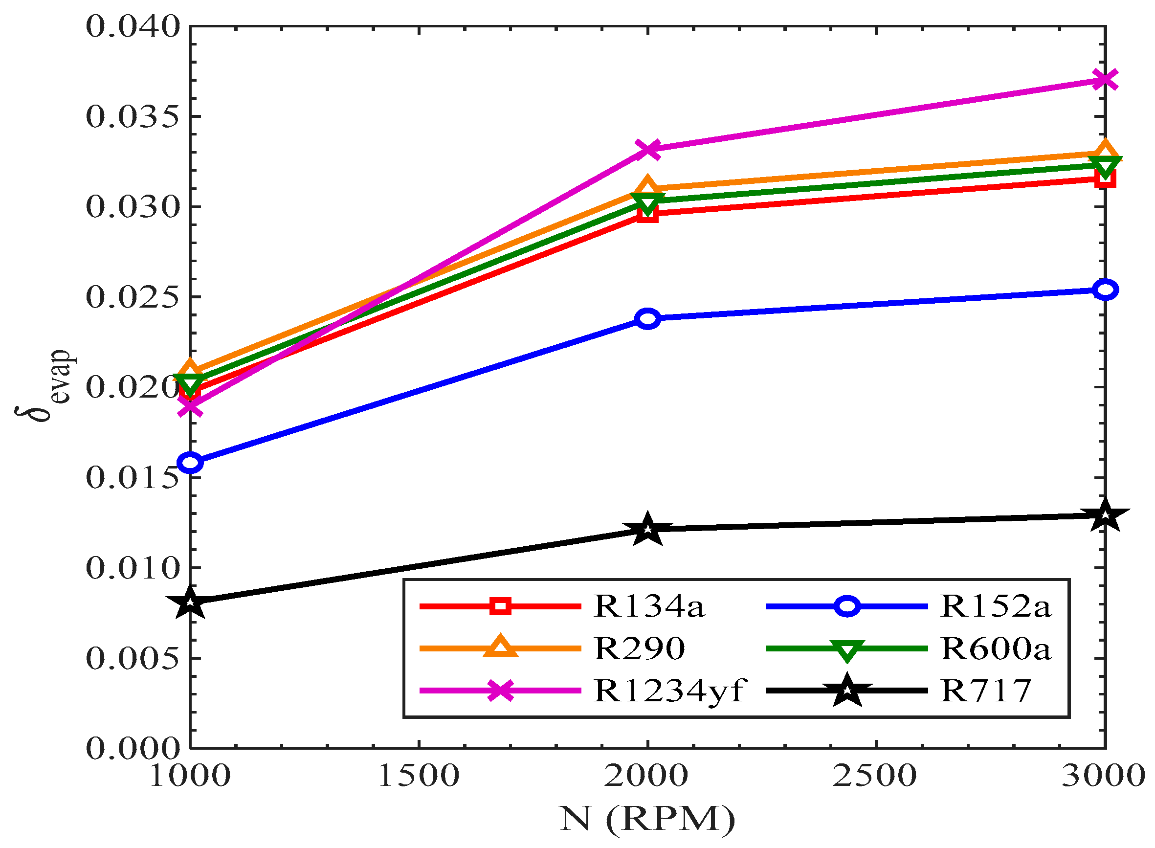
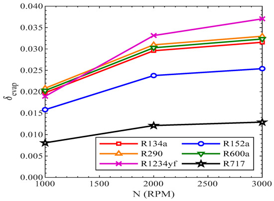
3.3.6. Efficiency Defect
4. Conclusions
Author Contributions
Funding
Conflicts of Interest
Appendix A. EES Code for R134a
| “R134a” | |
| $REFERENCE R134a IIR | “reference state for refrigerant” |
| R$ = ‘R134a’ | |
| disp_comp = 120E-6 [m^3/rev] | “compressor displacement” |
| dT [1..3] = [1,2,3] | “degree of superheat” |
| ettacomp [1..3] = [0.75,0.65,0.55] | |
| N [1..3] = [1000,2000,3000] | “engine speed” |
| T_evap = ConvertTEMP(C,K,5) | “evap. sat. temp.” |
| T_cond = ConvertTEMP(C,K,50) | “cond. sat. temp. “ |
| T_o = ConvertTEMP(C,K,25) | |
| DUPLICATE i = 1,3 | |
| T1[i] = T_evap+dT[i] | |
| P1[i] = P_sat(R$,T = T_evap) | |
| s1[i] = Entropy(R$,T = T1[i],P = P1[i]) | |
| h1[i] = Enthalpy(R$,T = T1[i],P = P1[i]) | |
| s_2s[i] = s1[i] | |
| P2[i] = P_sat(R$,T = T_cond) | |
| T_2s[i] = Temperature(R$, P = P2[i],s = s_2s[i]) | |
| T_sat[i] = T_sat(R$,P = P2[i]) | |
| h_2s[i] = Enthalpy(R$,T = T_2s[i],s = s_2s[i]) | |
| h2[i] = (h_2s[i]-h1[i])/ettacomp[i]+h1[i] | |
| T2[i] = Temperature(R$,P = P2[i],h = h2[i]) | |
| s2[i] = Entropy(R$,P = P2[i],h = h2[i]) | |
| P3[i] = P2[i] | |
| T3[i] = T_sat(R$,P = P3[i]) | |
| h3[i] = Enthalpy(R$,T = T3[i],x = 1) | |
| s3[i] = Entropy(R$,T = T3[i],x = 1) | |
| P4[i] = P3[i] | |
| T4[i] = T_sat(R$,P = P4[i]) | |
| s4[i] = Entropy(R$,P = P4[i],x = 0) | |
| h4[i] = Enthalpy(R$,P = P4[i],x = 0) | |
| P5[i] = P4[i] | |
| T5[i] = T4[i]-dT[i] | |
| s5[i] = Entropy(R$,T = T4[i]-dT[i],P = P4[i]) | |
| h5[i] = Enthalpy(R$,T = T4[i]-dT[i],P = P4[i]) | |
| h6[i] = h5[i] | |
| s6[i] = Entropy(R$,T = T_evap,h = h6[i]) | |
| T6[i] = T_evap | |
| T8[i] = T1[i] | |
| P6[i] = P_sat(R$,T = T_evap) | |
| P7[i] = P6[i] | |
| h7[i] = Enthalpy(R$,P = P7[i],x = 1) | |
| s7[i] = Entropy(R$,P = P7[i],x = 1) | |
| T7[i] = Temperature(R$,P = P7[i],x = 1) | |
| P8[i] = P1[i] | |
| h8[i] = h1[i] | |
| s8[i] = s1[i] | |
| rho_refrigerant[i] = Density(R$,T = T1[i],P = P1[i]) | “density of refrigerant at state point 1” |
| m_dot[i] = ((N[i])*(disp_comp)*(rho_refrigerant[i])*ettacomp[i])/(60[sec/minute]) | |
| “mass flow rate of refrigerant” | |
| Q_evap[i] = m_dot[i]*(h7[i]-h6[i]) | |
| “cooling capacity” | |
| P_input[i] =m_dot[i]*(h_2s[i]-h1[i])/ettacomp[i] | |
| “power input” | |
| COP[i] = Q_evap[i]/P_input[i] | |
| “COP” | |
| X_dot_destr_comp[i] = T_o*m_dot[i]*(s2[i]-s1[i]) | “exergy destruction in compressor” |
| eta_comp[i] = 1-X_dot_destr_comp[i]/P_input[i] | “compressor second-law efficiency” |
| Q_cond[i] = m_dot[i]*(h2[i]-h5[i]) | |
| X_dot_destr_cond[i] = T_o*(m_dot[i]*(s5[i]-s2[i])+Q_cond[i]/T_avg,cond[i]) | |
| “exergy destruction in condenser” | |
| X_dot_diff_cond[i] = m_dot[i]*((h2[i]-h5[i])-T_o*(s2[i]-s5[i])) | |
| eta_cond[i] = 1-X_dot_destr_cond[i]/X_dot_diff_cond[i] | “condenser second-law efficiency” |
| X_dot_destr_exp.valve[i] = T_o*m_dot[i]*(s6[i]-s5[i]) | “exergy destruction in expansion valve” |
| X_dot_diff_exp.valve[i] = T_o*m_dot[i]*(s6[i]-s5[i]) | |
| eta_exp.valve[i] = 1-X_dot_destr_exp.valve[i]/X_dot_diff_exp.valve[i] | |
| “exapnsion valve second-law efficiency” | |
| X_dot_destr_evap[i] = T_o*(m_dot[i]*(s1[i]-s6[i])-Q_evap[i]/T_avg,evap) | |
| “exergy destruction in evaporator” | |
| X_dot_diff_evap[i] = m_dot[i]*((h6[i]-h1[i])-T_o*(s6[i]-s1[i])) | |
| eta_evap[i] = 1-X_dot_destr_evap[i]/X_dot_diff_evap[i] | “evaporator second-law efficiency” |
| X_dot_destr_total[i] = X_dot_destr_comp[i] + X_dot_destr_cond[i] + X_dot_destr_exp.valve[i] + X_dot_destr_evap[i] | “total exergy destruction” |
| eta_system[i] = 1-X_dot_destr_total[i]/P_input[i] | “second-law efficiency of system” |
| “relative exergy destruction rate in each component” | |
| X_dot_destr_relative.comp[i] =X_dot_destr_comp[i]/X_dot_destr_total[i] | |
| “compressor” | |
| X_dot_destr_relative.cond[i] =X_dot_destr_cond[i]/X_dot_destr_total[i] | |
| “condenser” | |
| X_dot_destr_relative.evalve[i] = X_dot_destr_exp.valve[i]/X_dot_destr_total[i] | |
| “expansion valve” | |
| X_dot_destr_relative.evap[i] = X_dot_destr_evap[i]/X_dot_destr_total[i] | |
| “evaporator” | |
| “efficiency defect in each component” | |
| delta_comp[i] = X_dot_destr_comp[i]/P_input[i] | “compressor” |
| delta_cond[i] = X_dot_destr_cond[i]/P_input[i] | “condenser” |
| delta_exp.valve[i] = X_dot_destr_exp.valve[i]/P_input[i] | “expansion valve” |
| delta_evap[i] = X_dot_destr_evap[i]/P_input[i] | “evaporator” |
| “exergy rate of product” | |
| E_dot_p[i] = (1-T_o/T_evap)*Q_evap[i] | |
| “exergy destruction ratio” | |
| EDR[i] = X_dot_destr_total[i]/E_dot_p[i] | |
| END | |
| $copytoLookup/T/R/C Results N 1 N [1..3] | |
| $copytoLookup/R/C Results COP 1 COP [1..3] | |
| $copytoLookup/R/C Results Cooling-capacity 1 Q_evap [1..3] | |
| $copytoLookup/R/C Results X_dot_destr_comp 1 X_dot_destr_comp [1..3] | |
| $copytoLookup/R/C Results X_dot_destr_cond 1 X_dot_destr_cond [1..3] | |
| $copytoLookup/R/C Results X_dot_destr_exp.valve 1 X_dot_destr_exp.valve [1..3] | |
| $copytoLookup/R/C Results X_dot_destr_evap 1 X_dot_destr_evap [1..3] | |
| $copytoLookup/R/C Results X_dot_destr_total 1 X_dot_destr_total [1..3] | |
| $copytoLookup/R/C Results eta_comp 1 eta_comp [1..3] | |
| $copytoLookup/R/C Results eta_cond 1 eta_cond [1..3] | |
| $copytoLookup/R/C Results eta_exp.valve 1 eta_exp.valve [1..3] | |
| $copytoLookup/R/C Results eta_evap 1 eta_evap [1..3] | |
| $copytoLookup/R/C Results eta_system 1 eta_system [1..3] | |
| $copytoLookup/R/C Results X_dot_destr_relative.comp 1 X_dot_destr_relative.comp [1..3] | |
| $copytoLookup/R/C Results X_dot_destr_relative.cond 1 X_dot_destr_relative.cond [1..3] | |
| $copytoLookup/R/C Results X_dot_destr_relative.evalve 1 X_dot_destr_relative.evalve [1..3] | |
| $copytoLookup/R/C Results X_dot_destr_relative.evap 1 X_dot_destr_relative.evap [1..3] | |
| $copytoLookup/R/C Results delta_comp 1 delta_comp [1..3] | |
| $copytoLookup/R/C Results delta_cond 1 delta_cond [1..3] | |
| $copytoLookup/R/C Results delta_exp.valve 1 delta_exp.valve [1..3] | |
| $copytoLookup/R/C Results delta_evap 1 delta_evap [1..3] | |
| $copytoLookup/R/C Results E_dot_p 1 E_dot_p [1..3] | |
| $copytoLookup/R/C Results EDR 1 EDR [1..3] | |
| $SAVELOOKUP Results ‘D:\Study\MSc Mechanical Engg\Rashid paper\Results from EES\R134a.xlsx’ | |
References
- Rowland, F.S. Stratospheric ozone depletion by chlorofluorocarbons. Ambio 1990, 19, 281–292. [Google Scholar]
- Johnson, E. Global warming from HFC. Environ. Impact Assess. Rev. 1998, 18, 485–492. [Google Scholar] [CrossRef]
- Yu, C.-C.; Teng, T.-P. Retrofit assessment of refrigerator using hydrocarbon refrigerants. Appl. Therm. Eng. 2014, 66, 507–518. [Google Scholar] [CrossRef]
- Calm, J.M.; Hourahan, G. Refrigerant data update. Hpac Eng. 2007, 79, 50–64. [Google Scholar]
- Calm, J.M. The next generation of refrigerants–Historical review, considerations, and outlook. Int. J. Refrig. 2008, 31, 1123–1133. [Google Scholar] [CrossRef]
- Qi, Z. Performance improvement potentials of R1234yf mobile air conditioning system. Int. J. Refrig. 2015, 58, 35–40. [Google Scholar] [CrossRef]
- Purohit, N.; Gullo, P.; Dasgupta, M.S. Comparative Assessment of Low-GWP Based Refrigerating Plants Operating in Hot Climates. Energy Procedia 2017, 109, 138–145. [Google Scholar] [CrossRef]
- Oberthür, S.; Ott, H.E. The Kyoto Protocol: International Climate Policy for the 21st Century; Springer Science & Business Media: Cham, Switzerland, 1999. [Google Scholar]
- Sumeru, K.; Sunardi, C.; Aziz, A.A.; Nasution, H.; Abioye, A.M.; Said, M.F.M. Comparative Performance between R134a and R152a in an Air Conditioning System of A Passenger Car. J. Teknol. 2016, 78, 10–12. [Google Scholar] [CrossRef]
- Aized, T.; Hamza, A. Thermodynamic Analysis of Various Refrigerants for Automotive Air Conditioning System. Arab. J. Sci. Eng. 2019, 44, 1697–1707. [Google Scholar] [CrossRef]
- Brown, J.S.; Yana-Motta, S.F.; Domanski, P.A. Comparitive analysis of an automotive air conditioning systems operating with CO2 and R134a. Int. J. Refrig. 2002, 25, 19–32. [Google Scholar] [CrossRef]
- Joudi, K.A.; Mohammed, A.S.K.; Aljanabi, M.K. Experimental and computer performance study of an automotive air conditioning system with alternative refrigerants. Energy Convers. Manag. 2003, 44, 2959–2976. [Google Scholar] [CrossRef]
- Lee, G.; Yoo, J. Performance analysis and simulation of automobile air conditioning system. Int. J. Refrig. 2000, 23, 243–254. [Google Scholar] [CrossRef]
- Yataganbaba, A.; Kilicarslan, A.; Kurtbaş, I. Exergy analysis of R1234yf and R1234ze as R134a replacements in a two evaporator vapour compression refrigeration system. Int. J. Refrig. 2015, 60, 26–37. [Google Scholar] [CrossRef]
- Belman-Flores, J.; Rangel-Hernandez, V.H.; Usón, S.; Rubio-Maya, C. Energy and exergy analysis of R1234yf as drop-in replacement for R134a in a domestic refrigeration system. Energy 2017, 132, 116–125. [Google Scholar] [CrossRef]
- Golzari, S.; Kasaeian, A.; Daviran, S.; Mahian, O.; Wongwises, S.; Sahin, A.Z. Second law analysis of an automotive air conditioning system using HFO-1234yf, an environmentally friendly refrigerant. Int. J. Refrig. 2017, 73, 134–143. [Google Scholar] [CrossRef]
- Jemaa, R.B.; Mansouri, R.; Boukholda, I.; Bellagi, A. Energy and exergy investigation of R1234ze as R134a replacement in vapor compression chillers. Int. J. Hydrogen Energy 2017, 42, 12877–12887. [Google Scholar] [CrossRef]
- Kaynakli, O.; Horuz, I. An Experimental Analysis of Automotive Air Conditioning System. Int. Commun. Heat Mass Transf. 2003, 30, 273–284. [Google Scholar] [CrossRef]
- Alkan, A.; Hosoz, M. Comparative performance of an automotive air conditioning system using fixed and variable capacity compressors. Int. J. Refrig. 2010, 33, 487–495. [Google Scholar] [CrossRef]
- Riaz, F.; Yam, F.; Qyyum, M.; Shahzad, M.; Farooq, M.; Lee, P.; Lee, M. Direct Analytical Modeling for Optimal, On-Design Performance of Ejector for Simulating Heat-Driven Systems. Energies 2021, 14, 2819. [Google Scholar] [CrossRef]
- Hosoz, M.; Kaplan, K.; Aral, M.C.; Suhermanto, M.; Ertunc, H.M. Support vector regression modeling of the performance of an R1234yf automotive air conditioning system. Energy Procedia 2018, 153, 309–314. [Google Scholar] [CrossRef]
- McLinden, M.O.; Kazakov, A.F.; Brown, J.S.; Domanski, P.A. A thermodynamic analysis of refrigerants: Possibilities and tradeoffs for Low-GWP refrigerants. Int. J. Refrig. 2014, 38, 80–92. [Google Scholar] [CrossRef]
- Navarro-Esbrí, J.; Molés, F.; Barragán-Cervera, Á. Experimental analysis of the internal heat exchanger influence on a vapour compression system performance working with R1234yf as a drop-in replacement for R134a. Appl. Therm. Eng. 2013, 59, 153–161. [Google Scholar] [CrossRef]
- Chen, X.; Liang, K.; Li, Z.; Zhao, Y.; Xu, J.; Jiang, H. Experimental assessment of alternative low global warming potential refrigerants for automotive air conditioners application. Case Stud. Therm. Eng. 2020, 22, 100800. [Google Scholar] [CrossRef]
- Hinze, J.F.; Klein, S.A.; Nellis, G.F. Thermodynamic optimization of mixed refrigerant Joule- Thomson systems constrained by heat transfer considerations. IOP Conf. Ser. Mater. Sci. Eng. 2015, 101, 012133. [Google Scholar] [CrossRef]
- Riaz, F.; Tan, K.H.; Farooq, M.; Imran, M.; Lee, P.S. Energy Analysis of a Novel Ejector-Compressor Cooling Cycle Driven by Electricity and Heat (Waste Heat or Solar Energy). Sustainability 2020, 12, 8178. [Google Scholar] [CrossRef]
- Gullo, P.; Cortella, G. Theoretical evaluation of supermarket refrigeration systems using R1234ze(E) as an alternative to high-global warming potential refrigerants. Sci. Technol. Built Environ. 2016, 22, 1145–1155. [Google Scholar] [CrossRef]
- Trott, A.R.; Welch, T.C. Refrigeration and Air Conditioning; Elsevier Science: Amsterdam, The Netherlands, 1999. [Google Scholar]
- Deymi-Dashtebayaz, M.; Sulin, A.; Ryabova, T.; Sankina, I.; Farahnak, M.; Nazeri, R. Energy, exergoeconomic and environmental optimization of a cascade refrigeration system using different low GWP refrigerants. J. Environ. Chem. Eng. 2021, 9, 106473. [Google Scholar] [CrossRef]
- Dincer, I.; Midilli, A.; Kucuk, H. Progress in Exergy, Energy, and the Environment; Springer International Publishing: Berlin/Heidelberg, Germany, 2014. [Google Scholar]
- Riaz, F.; Qyyum, M.; Bokhari, A.; Klemeš, J.; Usman, M.; Asim, M.; Awan, M.; Imran, M.; Lee, M. Design and Energy Analysis of a Solar Desiccant Evaporative Cooling System with Built-In Daily Energy Storage. Energies 2021, 14, 2429. [Google Scholar] [CrossRef]
- Meng, Z.; Zhang, H.; Lei, M.; Qin, Y.; Qiu, J. Performance of low GWP R1234yf/R134a mixture as a replacement for R134a in automotive air conditioning systems. Int. J. Heat Mass Transf. 2018, 116, 362–370. [Google Scholar] [CrossRef]
- Arora, A.; Sachdev, H.L. Thermodynamic analysis of R422 series refrigerants as alternative refrigerants to HCFC22 in a vapour compression refrigeration system. Int. J. Energy Res. 2009, 33, 753–765. [Google Scholar] [CrossRef]
- Saravanakumar, R.; Selladurai, V. Exergy analysis of a domestic refrigerator using eco-friendly R290/R600a refrigerant mixture as an alternative to R134a. J. Therm. Anal. Calorim. 2014, 115, 933–940. [Google Scholar] [CrossRef]
- Arora, A.; Kaushik, S. Theoretical analysis of a vapour compression refrigeration system with R502, R404A and R507A. Int. J. Refrig. 2008, 31, 998–1005. [Google Scholar] [CrossRef]
- Baakeem, S.S.; Orfi, J.; Alabdulkarem, A. Optimization of a multistage vapor-compression refrigeration system for various refrigerants. Appl. Therm. Eng. 2018, 136, 84–96. [Google Scholar] [CrossRef]
- Ally, M.R.; Munk, J.D.; Baxter, V.D.; Gehl, A.C. Exergy and energy analysis of a ground-source heat pump for domestic water heating under simulated occupancy conditions. Int. J. Refrig. 2013, 36, 1417–1430. [Google Scholar] [CrossRef]
- Riaz, F.; Lee, P.S.; Chou, S.K.; Ranjan, R.; Tay, C.S.; Soe, T. Analysis of Low-Grade Waste Heat Driven Systems for Cooling and Power for Tropical Climate. Energy Procedia 2017, 143, 389–395. [Google Scholar] [CrossRef]
- Sztekler, K.; Kalawa, W.; Nowak, W.; Mika, L.; Gradziel, S.; Krzywanski, J.; Radomska, E. Experimental Study of Three-Bed Adsorption Chiller with Desalination Function. Energies 2020, 13, 5827. [Google Scholar] [CrossRef]
- Krzywanski, J.; Grabowska, K.; Sosnowski, M.; Żyłka, A.; Sztekler, K.; Kalawa, W.; Wójcik, T.; Nowak, W. Modeling of a re-heat two-stage adsorption chiller by AI approach. MATEC Web Conf. 2018, 240, 05014. [Google Scholar] [CrossRef]
- Kulakowska, A.; Pajdak, A.; Krzywanski, J.; Grabowska, K.; Zylka, A.; Sosnowski, M.; Wesolowska, M.; Sztekler, K.; Nowak, W. Effect of Metal and Carbon Nanotube Additives on the Thermal Diffusivity of a Silica Gel-Based Adsorption Bed. Energies 2020, 13, 1391. [Google Scholar] [CrossRef]
- Skrobek, D.; Krzywanski, J.; Sosnowski, M.; Kulakowska, A.; Zylka, A.; Grabowska, K.; Ciesielska, K.; Nowak, W. Prediction of Sorption Processes Using the Deep Learning Methods (Long Short-Term Memory). Energies 2020, 13, 6601. [Google Scholar] [CrossRef]
- Grabowska, K.; Sosnowski, M.; Krzywanski, J.; Sztekler, K.; Kalawa, W.; Zylka, A.; Nowak, W. Analysis of heat transfer in a coated bed of an adsorption chiller. MATEC Web Conf. 2018, 240, 01010. [Google Scholar] [CrossRef]
- Sztekler, K.; Kalawa, W.; Nowak, W.; Mika, Ł.; Krzywański, J.; Grabowska, K.; Sosnowski, M.; Al-Harbi, A.A. Performance Evaluation of a Single-Stage Two-Bed Adsorption Chiller With Desalination Function. J. Energy Resour. Technol. 2021, 143, 082101. [Google Scholar] [CrossRef]
- Cooling—Analysis, IEA. (n.d.). Available online: https://www.iea.org/reports/cooling (accessed on 11 March 2022).





















| Refrigerant | Molecular Weight kg/kmol | ODP | GWP | Normal Boiling Point (°C) | Critical Temperature (°C) | Critical Pressure (MPa) | Group |
|---|---|---|---|---|---|---|---|
| R134a | 102 | 0 | 1430 | −15 | 214 | 590 | HFC |
| R1234yf | 114 | 0 | 4 | −29 | 95 | 3.382 | HFO |
| R717 | 17 | 0 | 0 | −28 | 271 | 1657 | B2L |
| R290 | 44.1 | 0 | 3 | −44 | 206 | 617 | HC |
| R152a | 66.05 | 0 | 140 | −25 | 113.5 | 45.8 | HFC |
| R600a | 58.12 | 0 | 3 | 10.8 | 275 | 529 | HC |
| Parameter | Value |
|---|---|
| Compressor speed (N) | 1000 RPM, 2000 RPM, 3000 RPM |
| Evaporator temperature (TE) | 5 °C |
| Condenser temperature (TC) | 50 °C |
Publisher’s Note: MDPI stays neutral with regard to jurisdictional claims in published maps and institutional affiliations. |
© 2022 by the authors. Licensee MDPI, Basel, Switzerland. This article is an open access article distributed under the terms and conditions of the Creative Commons Attribution (CC BY) license (https://creativecommons.org/licenses/by/4.0/).
Share and Cite
Aized, T.; Rashid, M.; Riaz, F.; Hamza, A.; Nabi, H.Z.; Sultan, M.; Ashraf, W.M.; Krzywanski, J. Energy and Exergy Analysis of Vapor Compression Refrigeration System with Low-GWP Refrigerants. Energies 2022, 15, 7246. https://doi.org/10.3390/en15197246
Aized T, Rashid M, Riaz F, Hamza A, Nabi HZ, Sultan M, Ashraf WM, Krzywanski J. Energy and Exergy Analysis of Vapor Compression Refrigeration System with Low-GWP Refrigerants. Energies. 2022; 15(19):7246. https://doi.org/10.3390/en15197246
Chicago/Turabian StyleAized, Tauseef, Muhammad Rashid, Fahid Riaz, Ameer Hamza, Hafiz Zahid Nabi, Muhammad Sultan, Waqar Muhammad Ashraf, and Jaroslaw Krzywanski. 2022. "Energy and Exergy Analysis of Vapor Compression Refrigeration System with Low-GWP Refrigerants" Energies 15, no. 19: 7246. https://doi.org/10.3390/en15197246
APA StyleAized, T., Rashid, M., Riaz, F., Hamza, A., Nabi, H. Z., Sultan, M., Ashraf, W. M., & Krzywanski, J. (2022). Energy and Exergy Analysis of Vapor Compression Refrigeration System with Low-GWP Refrigerants. Energies, 15(19), 7246. https://doi.org/10.3390/en15197246

