Natural Ventilation Enhancement of a Roof Solar Chimney with Wind-Induced Channel
Abstract
1. Introduction
2. Calculation Basis
2.1. Physical Model
2.2. Calculation Domain
2.3. Boundary Conditions
3. Simulation
3.1. Governing Equations and Calculation Methods
- (1)
- The energy loss caused by the viscous force will be neglected;
- (2)
- The density is not constant, while the values of other physical property parameters will be constant;
- (3)
- The density involved in the volume force in the momentum equation is not treated as a constant, but the density in the remaining expressions related to density is taken as a constant.
3.2. Grid Generation and Independence
3.3. Validation
4. Result and Discussion
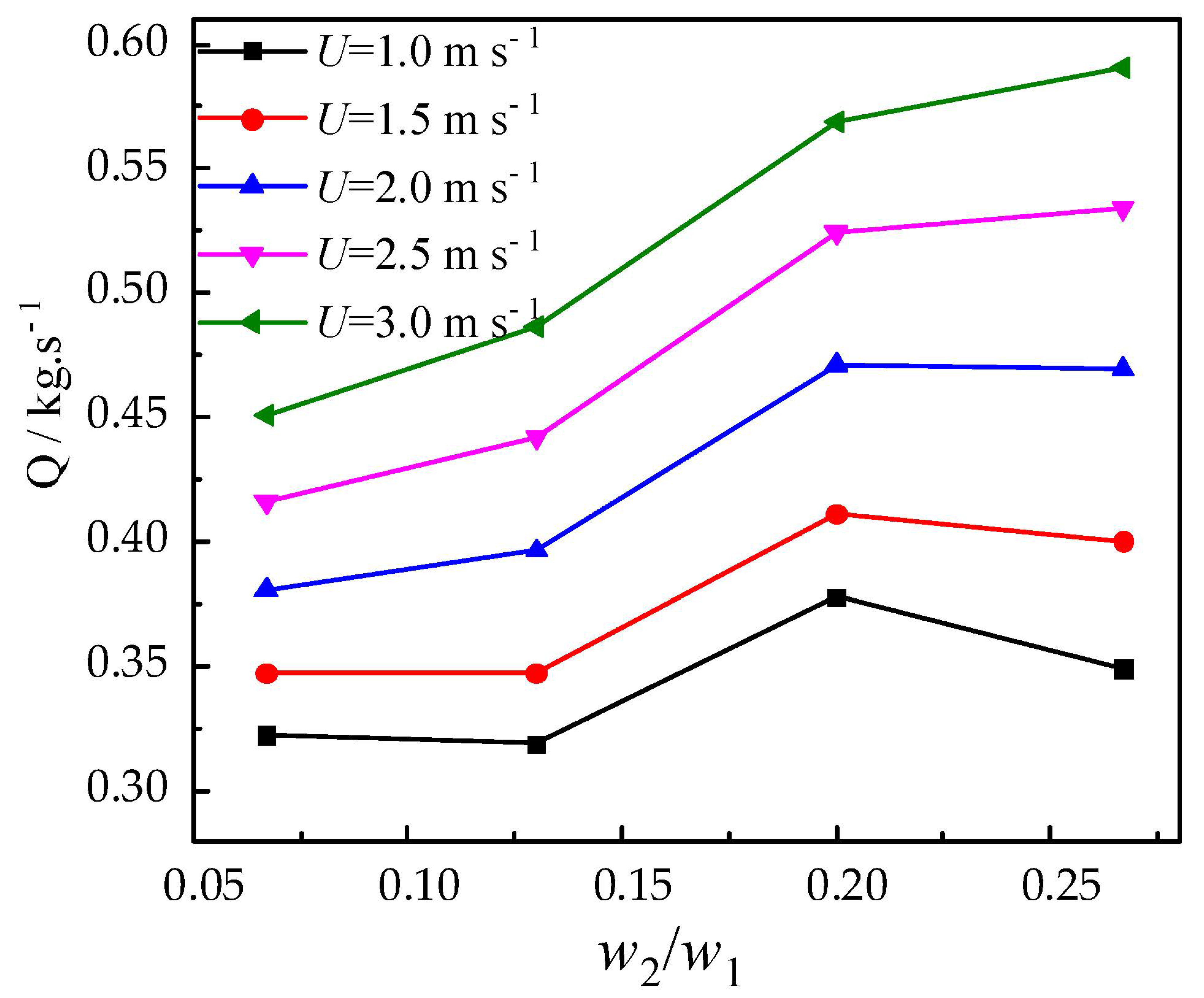
4.1. Influence of Channel width Ratio w2/w1
4.2. Influence of Chimney Inclination θ
5. Conclusions
- (1)
- With the increase in channel width ratio w2/w1, the trend of the mass rate changes differently as wind speed varies. When the ventilation rate reaches the maximum, the channel width ratio w2/w1 is also different. When the outdoor wind speed is U = 1.0 m·s−1 and the channel width ratio is w2/w1 = 0.2, the mass flow rate reaches its maximum, which is 0.378 kg·s−1. When the outdoor wind speed is U = 3.0 m·s−1 and the channel width ratio is w2/w1 = 0.267, the mass flow rate reaches its maximum, which is 0.591 kg·s−1.
- (2)
- The ventilation rate increases as the inclination angle θ increases under different outdoor wind speeds. For solar chimneys with different inclination angles, the ventilation rate is greatly influenced by the external wind speed. When the solar radiation is I = 600 W·m−2 and the inclination angles increase from 30° to 90°, the ventilation rate increases by 212% for U = 1.0 m·s−1, 166% for U = 2.0 m·s−1, and 127% for U = 3.0 m·s−1. For the given structural parameters of the solar chimney, the outdoor wind speed has a positive effect on indoor air quality.
Author Contributions
Funding
Acknowledgments
Conflicts of Interest
Nomenclature
| c1 | empirical coefficient |
| c2 | empirical coefficient |
| gi [m·s−2] | gravitational acceleration in xi direction |
| Gk | production term of turbulent kinetic energy |
| h1 | roof solar chimney height |
| h2 | the height between the top of the external wall opening and the roof |
| h3 | external wall opening height |
| I | solar radiation intensity |
| P [Pa] | average pressure |
| Pr | Prandtl number |
| Q | ventilation rate |
| T [K] | average temperature |
| T∞ [K] | reference point temperature |
| ui [m·s−1] | average velocity component in xi direction |
| U | wind speed |
| w1 | width of channel I |
| w2 | width of channel II |
| xi | coordinate axis X, Y, Z (i = 1, 2, 3) |
| Greek letters | |
| β | air expansion coefficient |
| Γ | generalized diffusion coefficient |
| θ | inclination angle |
| νt, | turbulent viscosity coefficient |
| ν | laminar viscosity coefficient |
| ρ [kg m−3] | air density |
| σk, σε, σt | empirical coefficients |
References
- Mathur, J.; Mathur, S.; Anupma. Summer-performance of inclined roof solar chimney for natural ventilation. Energy Build. 2006, 38, 1156–1163. [Google Scholar] [CrossRef]
- Sakonidou, E.P.; Karapantsios, T.D.; Balouktsis, A.I.; Chassapis, D. Modeling of the optimum tilt of a solar chimney for maximum air flow. Sol. Energy 2008, 82, 80–94. [Google Scholar] [CrossRef]
- Susanti, L.; Homma, H.; Matsumoto, H.; Suzuki, Y.; Shimizu, M. A laboratory experiment on natural ventilation through a roof cavity for reduction of solar heat gain. Energy Build. 2008, 40, 2196–2206. [Google Scholar] [CrossRef]
- Du, W.; Yang, Q.R.; Zhang, J.C. A study of the ventilation performance of a series of connected solar chimneys integrated with building. Renew. Energy 2011, 36, 265–271. [Google Scholar]
- Khanal, R.; Lei, C. An experimental investigation of an inclined passive wall solar chimney for natural ventilation. Sol. Energy 2014, 107, 461–474. [Google Scholar] [CrossRef]
- Imran, A.A.; Jalil, J.M.; Ahmed, S.T. Induced flow for ventilation and cooling by a solar chimney. Renew. Energy 2015, 78, 236–244. [Google Scholar] [CrossRef]
- Li, J.; Li, D.Y. The Study on Numerical Simulation of Classrooms Using Hybrid Ventilation Under Different Solar Chimney Radiation. Procedia Eng. 2015, 121, 1083–1088. [Google Scholar] [CrossRef][Green Version]
- Lei, Y.G.; Zhang, Y.W.; Wang, F.; Wang, X. Enhancement of natural ventilation of a novel roof solar chimney with perforated absorber plate for building energy conservation. Appl. Therm. Eng. 2016, 107, 653–661. [Google Scholar] [CrossRef]
- Xuan, Y.M.; Wan, W.Q.; Ma, Z.Z. Theoretical Study on the Enhancement of Natural Ventilation using Inclined Solar Chimney. Fluid Mach. 2016, 44, 57–62. [Google Scholar]
- Al-Kayiem, H.H.; Sreejaya, K.V.; Chikere, A.O. Experimental and numerical analysis of the influence of inlet configuration on the performance of a roof top solar chimney. Energy Build. 2018, 159, 89–98. [Google Scholar] [CrossRef]
- Abdeen, A.; Serageldin, A.A.; Ibrahim, M.G.E.; El-Zafarany, A.; Ookawara, S.; Murata, R. Solar chimney optimization for enhancing thermal comfort in Egypt: An experimental and numerical study. Sol. Energy 2019, 180, 524–536. [Google Scholar] [CrossRef]
- Khosravi, M.; Fazelpour, F.; Rosen, M.A. Improved application of a solar chimney concept in a two-story building: An enhanced geometry through a numerical approach. Renew. Energy 2019, 143, 569–585. [Google Scholar] [CrossRef]
- Zhao, F.Y.; Shen, G.; Xu, Y.; Guan, G.X.; Wang, H.Q. Experimental Investigations on the Air Exchange Rate and Ventilation Performance of the Inclined Solar Chimney. Build. Energy. Effic. 2019, 47, 51–59. [Google Scholar]
- Kong, J.; Niu, J.L.; Lei, C.W. A CFD based approach for determining the optimum inclination angle of a roof-top solar chimney for building ventilation. Sol. Energy 2020, 198, 555–569. [Google Scholar] [CrossRef]
- Wang, Q.; Zhang, G.; Li, W.; Shi, L. External wind on the optimum designing parameters of a wall solar chimney in building. Sustain. Energy Technol. Assess. 2020, 42, 100842. [Google Scholar] [CrossRef]
- Villar-Ramos, M.M.; Macias-Melo, E.V.; Aguilar-Castro, K.M.; Hernández-Pérez, I.; Arce, J.; Serrano-Arellano, J.; Díaz-Hernández, H.P.; López-Manrique, L.M. Parametric analysis of the thermal behavior of a single-channel solar chimney. Sol. Energy 2020, 209, 602–617. [Google Scholar] [CrossRef]
- Dhahri, M.; Nekoonam, S.; Hana, A.; Assad, M.E.H.; Arıcı, M.; Sharifpur, M.; Sammouda, H. Thermal performance modeling of modified absorber wall of solar chimney-shaped channels system for building ventilation. J. Therm. Anal. 2020, 145, 1137–1149. [Google Scholar] [CrossRef]
- Vazquez-Ruiz, A.; Navarro, J.M.A.; Hinojosa, J.F.; Xamán, J.P. Effect of the solar roof chimney position on heat transfer in a room. Int. J. Mech. Sci. 2021, 209, 106700. [Google Scholar] [CrossRef]
- Padhi, B.N.; Pandey, M.; Mishra, I. Relation of change in geometrical parameters in the thermal performance of solar chimney. J. Mech. Sci. Technol. 2021, 35, 4737–4746. [Google Scholar] [CrossRef]
- Burek, S.A.M.; Habeb, A. Air flow and thermal efficiency characteristics in solar chimneys and Trombe Walls. Energy Build. 2007, 39, 128–135. [Google Scholar] [CrossRef]







Publisher’s Note: MDPI stays neutral with regard to jurisdictional claims in published maps and institutional affiliations. |
© 2022 by the authors. Licensee MDPI, Basel, Switzerland. This article is an open access article distributed under the terms and conditions of the Creative Commons Attribution (CC BY) license (https://creativecommons.org/licenses/by/4.0/).
Share and Cite
Gao, N.; Yan, Y.; Sun, R.; Lei, Y. Natural Ventilation Enhancement of a Roof Solar Chimney with Wind-Induced Channel. Energies 2022, 15, 6492. https://doi.org/10.3390/en15176492
Gao N, Yan Y, Sun R, Lei Y. Natural Ventilation Enhancement of a Roof Solar Chimney with Wind-Induced Channel. Energies. 2022; 15(17):6492. https://doi.org/10.3390/en15176492
Chicago/Turabian StyleGao, Ning, Yao Yan, Rui Sun, and Yonggang Lei. 2022. "Natural Ventilation Enhancement of a Roof Solar Chimney with Wind-Induced Channel" Energies 15, no. 17: 6492. https://doi.org/10.3390/en15176492
APA StyleGao, N., Yan, Y., Sun, R., & Lei, Y. (2022). Natural Ventilation Enhancement of a Roof Solar Chimney with Wind-Induced Channel. Energies, 15(17), 6492. https://doi.org/10.3390/en15176492

