Next Article in Journal
New Liquid Chemical Hydrogen Storage Technology
Next Article in Special Issue
Characterization and Evaluation of Carbonate Reservoir Pore Structure Based on Machine Learning
Previous Article in Journal
Fault Detection and Identification of Furnace Negative Pressure System with CVA and GA-XGBoost
Previous Article in Special Issue
Experimental Characterization of Oil/Gas Interface Self-Adjustment in CO2-Assisted Gravity Drainage for Reverse Rhythm Reservoir
 
 
Font Type:
Arial Georgia Verdana
Font Size:
Aa Aa Aa
Line Spacing:
Column Width:
Background:
Article

Fractal Characteristics of Pore-Throats Structure and Quality Evaluation of Carbonate Reservoirs in Eastern Margin of Pre-Caspian Basin

1
Research Institute of Petroleum Exploration & Development, China National Petroleum Corporation, Beijing 100089, China
2
PetroChina Hangzhou Research Institute of Geology, Hangzhou 310023, China
3
China’s Oil & Gas Exploration and Development Company, Beijing 100089, China
*
Author to whom correspondence should be addressed.
Energies 2022, 15(17), 6357; https://doi.org/10.3390/en15176357
Submission received: 30 July 2022 / Revised: 29 August 2022 / Accepted: 30 August 2022 / Published: 31 August 2022
(This article belongs to the Special Issue Reservoir Formation Damage Analysis)

Abstract

:
The Carboniferous reservoir KT-II layer in the Eastern margin of the Pre-Caspian Basin was formed in the open platform sedimentary environment and marked by a complicated pore-throats structure. Understanding the main controls on the carbonate reservoir quality is of great significance for reservoir classification and a relevant production prediction. This study focuses on revealing reservoir pore-throats structure’s fractal characteristics by analyzing the mercury intrusion capillary pressure (MICP), with the integration of the pore-throats radius’ distribution data. The relationship between fractal dimensions and reservoir parameters such as physical properties, mercury median saturation pressure (Pc50) and the proportion of large-size (radius > 0.1 μm) pores demonstrate that the lower fractal dimension corresponds not only to core plug samples with higher permeability, but also to lower Pc50 and a higher proportion of large pore-throats. Three classes of carbonate reservoir with different qualities were defined according to their fractal dimensions, petrophysical properties and photomicrograph features, et al. Combined with flow profiles from Production Log Tool tests, the relationship between the carbonate reservoir type and production behavior was revealed, thus providing suggestions on the middle and late stage of the water flooding production adjustment strategy. This work provides a typical case study for the further comprehensive evaluation and classification of a carbonate reservoir and it is quite meaningful for production efficiency optimization.

1. Introduction

Carbonate rock as an oil and gas reservoir has an extremely significant position, and its contribution to global crude oil production exceeds 60% [1]. The formation of carbonate reservoirs is affected by sedimentation, diagenesis and tectonism. Compared with siliciclastic reservoirs, it is prone to experience biochemistry and physical processes [2]. Moreover, a carbonate reservoir has a diverse particle composition, complex pore-throats structure, and strong reservoir heterogeneity, which can be manifested as a more complex relationship between porosity and permeability. In the process of oil and gas field development, the correlation between reservoir productivity characteristics is quite weak [3]. If only porosity and permeability are used to evaluate the reservoir, results do not often follow the actual production performance [4,5,6,7].
The pore-throats structure controls reservoir storage and permeability characteristics and affects reservoir oil and gas production capacity [8]. A pore-throats structure study is the key point of microscopic characteristics analysis for carbonate reservoirs. Therefore, a carbonate reservoirs study should focus on the pore-throats structure, followed by identifying high-quality carbonate reservoirs and the prediction of oil and gas productivity [9,10,11]. Regarding the study of pore-throats structure characteristics, geologists have done a lot of research [12,13,14,15,16]. They found that parameters such as the porosity, pore-throats ratio, and pore-throats coordination number can describe the pore-throats structure. However, reservoirs with a similar porosity may have greatly different pore-throats structures and also quite vary in permeability, thus causing different oil and gas properties and productivity [17,18].
Fractal geometry is a mathematical branch of science that was founded in the late 1970s to describe irregular shapes and random phenomena [19]. Fractals appear the same at different scales, as illustrated in successive magnifications of the Mandelbrot set. Fractals exhibit similar patterns at increasingly smaller scales, a property called self-similarity, also known as expanding symmetry or unfolding symmetry. The parameter that quantitatively describes the research object with self-similarity is called the fractal dimension [20]. So far, fractal theory has been widely used in geology research [21,22]. Moreover, fractal theory has been used to evaluate the pore structure in porous media, in the analysis of fractal characteristics and the calculation of the fractal dimension based on the capillary pressure can quantitatively characterize the complexity of the pore-throats structure of siliciclastic rock reservoirs [20,23]. Based on the concept of the pore fractal dimension, researchers developed permeability prediction models in homogeneous porous media to calculate the samples’ permeability under different circumstances [24,25]. Generally, if the fractal dimension of the pore-throats structure is less than 3, the larger the fractal dimension will be, or the closer to 3 it is, the more complex the pore-throats structure and the higher the reservoir heterogeneity will be [23,26,27]. Therefore, the fractal dimension can be used for reservoir classification and evaluation. However, the pore-throats structure of carbonate reservoirs is more complex than that of siliciclastic reservoirs and there are few studies on quantitative evaluation based on fractal theory.
The Pre-Caspian Basin is one of the basins with the deepest subsidence and the largest sediment thickness in the world [28,29]. More than 80% of the oil and gas reserves in the Pre-Caspian Basin are stored in Carboniferous carbonate rocks [30,31,32,33]. The NT Oilfield is located in the Enbeksk–Zharamysskaya uplift belt in the east of the basin (Figure 1). The Carboniferous developed shallow-sea carbonate platform deposits. During this period, it experienced two largescale sea-level rise and fall processes and formed two large shelf-carbonate platform sedimentary cycles. This study tried to verify fractal characteristics of the pore-throats structure in this carbonate reservoir and checked the relationship between the fractal dimension with reservoir pore-throats structure parameters such as physical properties, et al., thus proposing a comprehensive standard for quality evaluation.

2. Materials and Methods

According to the theory of fractal geometry, if the pore-throats radius of the reservoir is larger than r, the function relationship between N(r) and r satisfies Formula (1) and the pore distribution of the reservoir has fractal characteristics [34].
N r = r r max P r dr = ar D ,
where rmax is the maximum pore-throats radius of the reservoir, P(r) is the pore size distribution density function, D is the fractal dimension and a is the fractal coefficient.
Taking the derivative of r in Formula (1), the following formula can be obtained:
P r = dNr dr = Dar D 1 ,
The pore volume is determined by the ball shape with r in radius [35], the expression of the cumulative volume V of pores with a pore diameter smaller than r in the reservoir is as follows:
V < r = r min r P r α r 3 dr = Da α 3 D = ( r 3 D r min 3 D ) ,
where α is a constant related to the shape of the pore.
The total of pore volume in the reservoir is:
V all = Da α ( 3 D ) = ( r max 3 D r min 3 D ) ,
Combining Equations (3) and (4), we obtain the formula of the cumulative pore volume percentage with pore radius less than r. Since rmin is much smaller than rmax in the reservoir, the following formula is derived:
S = V < r V all = r 3 D r min 3 D r max 3 D r min 3 D r 3 D r max 3 D ,
Assuming that the pore size does not influence the wetting Pc [36], the reservoir rock capillary pressure formula is expressed as follows:
P c = 2 σ cos θ r ,
In the formula, σ is the surface tension of the liquid, mN/m and θ is the contact angle between the liquid and the rock.
Bringing r in Equation (6) into Equation (5) can be transformed as follows:
S = ( P c P min ) D 3 ,
Equation (7) is the fractal equation of capillary pressure. Among them, Pmin is the capillary pressure corresponding to the maximum pore-throats radius (rmax) of the reservoir, MPa, and S is the saturation of the wetting phase in the reservoir when the pressure is Pc. Take the logarithm of both sides of the Equation (7) to obtain the following formula:
lgS = D 3 lgPc + 3 D lgP min ,
Since mercury is non-wetting phase, the saturation of the wetting phase is equal to one minus the mercury saturation. It can be seen from the Equation (8) that the logarithmic value of the saturation of the wetting phase and the capillary pressure has linear relationship. The slope of the straight line is D-3, thus the fractal dimension (D) of the pore-throats structure can be obtained.
In this study, 3 wells (CT22, 5555 and 5598) in the main area of the field were analyzed and a total of 62 core samples from KT-II layer were used as the research basis. The mercury injection capillary pressure curves of the core plug samples are used to analyze the fractal characteristics of the pores. Fractal phenomenon could be confirmed if the saturation of the fluid wetting phase and the capillary pressure of mercury intrusion composed a significant straight line under the double logarithmic coordinates (the fractal characteristic chart) and the fractal dimension value can be obtained from the slope value.

3. Results

Fractal curves reflect the complexity of the pore structure in different sizes by exhibiting single or multi-stage fractal characteristics [37]. In this study, on the one hand, the fractal characteristic curve of some core samples is a single straight line and the correlation coefficients are all above 0.98; these samples are classified as the “straight line type”. On the other hand, the other part of the core samples shows a segmented line in the fractal characteristic chart and the correlation coefficients of each part are all above 0.98, so this sort of core sample is classified as the “segmented line type”. It proves that the pore-throats structure of the KT-II carbonate reservoir in the NT Oilfield has fractal characteristics. Based on the corresponding pore-throats radius distribution, the following four types of pore-throats structure characteristics are summarized.

3.1. Pore-Throats Structure Characteristics

3.1.1. Two-Dimensions with Uni-Modal Type (2D-1M)

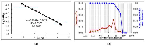
The pore-throats structure of 25 core samples (accounting for 39%) is characterized by two fractal dimension values and a uni-modal pore-throats radius distribution. There is only one peak on the pore-throats radius distribution chart. As shown in Figure 2, the pore-throats radius of the Well 5598 No.7-8 sample is mainly distributed between 2 and 20 μm. The fractal dimension of the pore-throats structure corresponding to this section is 1.886 and the fractal dimension value of the pore-throats structure with a pore-throats radius of less than 1 micron is 2.836.

3.1.2. Three-Dimensions with Uni-Modal Type (3D-1M)

The pore-throats structure of five samples (accounting for 8%) showed a three-stage fractal dimension and uni-modal of the pore-throats radius distribution; only one peak appeared on the pore-throats radius distribution chart. As shown in Figure 3, the main range of the pore- throat radius of the Well 5598 sample No. 7-23 is above 1 micron, mainly distributed between 2 and 20 μm. The fractal dimension of the pore-throats structure corresponding to this section is 2.436 and the fractal dimension of the pore-throats structure with a pore-throats radius of less than 1 micron is 2.798. The fractal dimension of the pore-throats structure with a pore-throats radius of less than 0.1 micron is 2.552.

3.1.3. Two-Dimensions with Bi-Modal Type (2D-2M)

The pore-throats structure of 13 samples (accounting for 21%) characterized by two fractal dimension values and a bi-modal pore-throats radius distribution. The pore-throats radius of the reservoir has a large distribution range and two asymmetric peaks are formed. As shown in Figure 4, the pore-throats radius of the Well 5598 sample No. 5-35 is mainly distributed between 0.7–10 μm. The corresponding fractal dimension of this section of the pore-throats structure is 2.361 and the fractal dimension of the remaining pore-throats structure with a pore-throats radius of less than 0.7 microns is 2.745.

3.1.4. Single-Dimension with Wide Modal Type (1D-WideM)

A total of 19 samples (accounting for 31%) show a single fractal dimension and pore-throats radius with a large distribution width. As shown in Figure 5, the fractal dimension of the pore-throats structure of sample No. 7-29 in Well 5598 is 2.704.

3.2. Geological Significance of Fractal Characteristics

In order to characterize the fractal dimension of the reservoir with the “segmented line type”, some scholars take the arithmetic average value of each segments fractal dimension as the overall fractal dimension of the reservoir [38,39], while others believe that the dimension of the large pore-throats structure can represent the overall fractal characteristics of the reservoir [17,18]. In this paper, it is found that small pores with a radius of less than 0.1 micron in the KT-II reservoir of the NT Oilfield do not contribute significantly to permeability. Moreover, the large pore-throats structure’s fractal dimensions of a two-dimensional fractal reservoir is lower than the small pore-throat space and provides 90% or even more than 95% cumulative permeability. Therefore, in this study, the fractal dimension of pore-throats of less than 0.1 micron in the three-dimensional reservoir with a uni-modal type is ignored, thus the three-dimensional type is classified as the two-dimensional type. Consequently, samples of the KT-II layers were categorized into three types: 2D-1M, 2D-2M and 1D-WideM and the fractal dimension value of the large pore-throats segment represents the overall value.

3.2.1. Fractal Dimension and Permeability

Compared with siliciclastic reservoirs, carbonate reservoirs have complex pore-throats structures and strong heterogeneity, manifested in the poor relationship between the porosity and permeability. The permeability depends on the complex pore structures and the upstream pressure and had a more significant influence on the stable production time [40]. When the porosity of the core samples is equal, the difference in permeability may be significant. After the sixty-two samples in the KT-II layer of three wells were counted, a total of nine samples were formed according to the tested porosity values to form four sample groups with the same porosity (Table 1). It is found that the lower the fractal dimension of each group of core samples with the same porosity value, the higher the permeability. The conclusion is consistent with the conclusion in the literature that the lower the fractal dimension of the reservoir, the better the reservoir structure and the better it is for oil and gas seepage. At the same time, it is also verified that the fractal dimension can be used to evaluate the pore-throats structure of KT-II carbonate rocks.

3.2.2. Fractal Dimension and Median Saturation Pressure (Pc50)

The median saturation pressure (Pc50) refers to the capillary pressure of the injection curve that responds when the non-wetting phase is 50%. The value reflects the production capacity of oil when the two phases of oil and water coexist in the pores [8]. The fractal dimension of the 62 core samples tested has an obvious correlation with the mercury median saturation pressure (Pc50) (Figure 6a), that is, the higher the fractal dimension, the higher the median pressure. This shows that the lower the fractal dimension of the pore-throats structure, the smoother the surface of the pore-throats structure, the lower the throat curvature and the better the connectivity. In addition, three clusters on the scatter plot represent the three relevant types of reservoir. The samples of type 2D-1M have the lowest median pressure and the lowest fractal dimension.

3.2.3. Fractal Dimension and Pore-Throats Radius Distribution

The complex sedimentary process and diversity of the diagenesis of carbonate rock leads to the complex pore-throats structure. The pore-throats sizes of different core samples are widely distributed and vary greatly and the proportion of different pore sizes of the total pore volume reveals the heterogeneity of the pore-throats structure, whereas the heterogeneity of carbonate rocks can be reflected by their fractal dimensions [33]. In this study, the proportion of the pore-throats structure with a pore-throats radius greater than 0.1 micron to the total pore-throats structure was calculated as the proportion of the large pore-throats. The fractal dimension of 62 core samples has a good correlation with the proportion of large pore-throats (Figure 6b). The lower the fractal dimension is, the large the proportion of large pore-throats is. Moreover, three clusters on the scatter plot represent the three relevant types of reservoir. The median pressure and fractal dimension of the 2D-1M type are the lowest.

3.3. Reservoir Quality Evaluation

The analysis in the previous section shows that the fractal dimension of the NT Oilfield KT-II carbonate pore-type reservoir has geological significance and can quantitatively characterize the pore-throats structure and reservoir heterogeneity. Combined with the microscopic photomicrograph feature, we propose the evaluation standard for carbonate reservoirs (Table 2).
The type I reservoir: The fractal dimension of the pore-throats structure of the type I reservoir is the lowest and the pore-throats heterogeneity is relatively weak, with an average value of 2.27. The lithology is dominated by algae, foraminifera, thorns and oolitic limestone. The particle size of the rock is large with good grain sorting and the dissolution effect is strong. The pore type is dominated by primary intergranular pores and the compaction effect is not obvious; the pore-throats structure is clean. Moreover, “Floating” particles were partially seen in the photomicrographs. The diagenesis of this type of core samples is relatively weak during the burial period and massive sprite calcite is rare (Figure 7a). The large pore-throats (radius greater than 0.1 micron) of the reservoir account for about 0.75 and have a high porosity; the permeability value can reach more than 100 mD, with an average of 133 mD. The median saturation capillary pressure (Pc50) average is 0.27 MPa, this type is a high-quality reservoir in the KT-II of the NT Oilfield.
The type II reservoir: The fractal dimension of the pore-throats structure in the reservoir is higher than in type I, with an average value of 2.53. The lithology is dominated by algae, foraminifera and echino clastic limestone. The particle is well sorted and has a moderate size. This type of reservoir is dominated by intergranular pores and the compaction effect is obvious; the particle contact patterns are mainly point contact and line contact. Particles can be broken, intergranular pores are filled by cement to a certain extent and local pore-throats structures are filled with blocky calcite (Figure 7b), resulting in reduced porosity and a complex pore-throats structure. The average proportion of large pore-throats (radius > 0.1 micron) was about 0.65. The average porosity was 14.05%, the average permeability was 51.8 mD and the mean value of the saturation capillary pressure (Pc50) was 0.5 MPa. This is a good reservoir type in the KT-II layer.
The type III reservoir: This reservoir has the highest fractal dimension of the pore-throats structure and the strongest heterogeneity of pore-throats. The average value of the fractal dimension is 2.73. The lithology is dominated by algae, pellets, foraminifera and acanthoid limestone. The particles are badly sorted. The pores are mainly intergranular and intragranular types and the intergranular pores lose a lot due to cementation. The particle contact patterns are mainly point contact and line contact. Moreover, the development of isopachous equant calcite on the surface of the particles is more obvious and most of the large pore-throats structures are filled by the second generation of coarse calcite crystal (Figure 7c), resulting in a significant reduction in the porosity. The pore-throats structure has a high degree of complexity and has experienced a higher degree of the diagenetic process of the medium and deep burial. The large pore-throats (radius greater than 0.1 micron) in the reservoir account for about 0.53, the average porosity is 10.86%, the average permeability is 16.66 mD and the average saturation capillary pressure (Pc50) is 2.33 MPa. This is a poor reservoir type in the KT-II layer.
Based on the above comprehensive evaluation criteria, 62 core samples with poor porosity and permeability in the KT-II formation from three key wells were divided into class I, II and III (Figure 8). Different types of samples overlap each other obviously in the pore permeability scatter diagram, which proves that the comprehensive evaluation based on the fractal characteristics of reservoir pores can effectively evaluate carbonate reservoirs with a complex porosity permeability relationship and strong heterogeneity.

3.4. Dynamic Behavior and Production Adjustment

Production log tools (PLT) are used to evaluate the fluid movement along the borehole. The quantitative evaluation of the flow profiles in injection or producing wells is common and it is extremely helpful to understand the reservoir’s behavior when the PLT test is performed regularly and provides profiles in certain wells.
In this paper, case studies are performed on both the production well (5598) and the injection well (5555). The PLT tested intervals of these two wells developed in both reservoir types I and II and reservoir type III. From 2013 to 2016, reservoir types I and II maintained a certain level of oil production and kept a 0% water cut (Figure 9), but reservoir type III provided an oil rate of much less than types I and II and the water cut soared from 0% to 46%. The flow profiles almost did not change from 2013 to 2018 in well 5555. The reservoir types I and II swallowed 100% of the injected water and reservoir type III did not take any share (Figure 10).
To sum up, it is suggested that the intervals of reservoir type III should be sealed to suppress the water cut in the production well. In order to maintain the reservoir pressure and sweep the remaining oil, it is suggested that reservoir III should be separated from reservoir I and II and the injection should be performed individually.

4. Discussion

In this study, a comprehensive evaluation standard of a carbonate reservoir in the NT field has been established, integrating pore-throats structure characteristics, the reservoir’s physical properties, the pore-throat structure, fractal characteristics as well as photomicrograph features. Combined with flow profiles from Production Log Tool tests, we revealed the relationship between the carbonate reservoir type and the production behavior, thus providing suggestions on the middle and late stage of the water flooding production adjustment strategy. However, the reservoir quality evaluation in this work heavily relies on sufficient core data (MICP, thin section, et al.), and usually the well log data of any oilfield are more prevalent; therefore, future work on the establishment of reservoir fractal characteristics evaluation based on log curves may in fact demonstrate even greater potency.

5. Conclusions

The pore-throats structures of the carbonate reservoir of the KT-II layer in the NT Oilfield have self-similarity and show obvious fractal characteristics, which can be categorized into four types (two-dimensions with a uni-modal type (2D-1M), three-dimensions with a uni-modal type (3D-1M), two-dimensions with a bi-modal type (2D-2M) and a single-dimension wide modal type (1D-WideM)). The fractal dimension of the pore-throats structure characterizes the complexity and heterogeneity of the pore-throats structure of the KT-II carbonate reservoir. In general, a lower fractal dimension of the reservoir pore-throats structure indicates better reservoir physical properties and the pore-throats’ connectivity. On the other hand, a higher fractal dimension indicates a higher median saturation pressure and a higher proportion of small pores (radius less than 0.1 micron). Specifically, for reservoirs with the same porosity, the lower the fractal dimension is, the higher the permeability will be. A comprehensive evaluation standard of the carbonate reservoir of the NT field, integrating the reservoir’s physical properties, pore-throat structure, fractal characteristics as well as photomicrograph features, has been established. Three types of carbonate reservoirs with different qualities were defined according to the fractal dimension, petrophysical properties, photomicrograph features, et al. Reservoir type I has the best reservoir quality whereas reservoir type III shows the worst. Moreover, from reservoir type I to reservoir type III, the pore-throat surface becomes rougher and the spatial complexity becomes stronger. Reservoir types I and II and reservoir type III have significant differences in their production behavior. It is suggested to seal intervals of reservoir type III to suppress the water cut in the production well. In wells for water injection, it is recommended to separate reservoir III from reservoirs I and II and perform injection individually.

Author Contributions

Conceptualization, X.Z. and W.L.; methodology, X.Z. and W.L.; formal analysis, J.H. and W.Z.; writing—original draft preparation, X.Z., W.L. and Y.L.; writing—review and editing, W.L. and Y.K.; Supervision, Resources, W.L. All authors have read and agreed to the published version of the manuscript.

Funding

This research was funded by the China National Petroleum Corporation Science and Technology Program under a grant number 2022DJ3210.

Institutional Review Board Statement

Not applicable.

Informed Consent Statement

Not applicable.

Data Availability Statement

Data available on request from the authors.

Acknowledgments

The authors would like to give special recognition to the China National Oil and Gas Exploration and Development Corporation, for the release of core plugs and well log data to accomplish the research work.

Conflicts of Interest

The authors declare no conflict of interest.

References

  1. Li, W.; Mu, L.; Zhao, L. Pore-throats structure characteristics and their impact on the porosity and permeability relationship of Carboniferous carbonate reservoirs in eastern edge of Pre-Caspian Basin. Pet. Explor. Dev. 2020, 47, 958–971. [Google Scholar] [CrossRef]
  2. Tucker, M.E.; Wright, V.P. Carbonate Sedimentology; Blackwell Science: Malden, MA, USA, 1990. [Google Scholar]
  3. He, L.; Zhao, L.; Li, J.; Liu, R.; Wang, S.; Zhao, W.; Ma, J. Complex relationship between porosity and permeability of carbonate reservoirs and its controlling factors: A case of platform facies in Pre-Caspian Basin. Pet. Explor. Dev. 2014, 41, 206–214. [Google Scholar] [CrossRef]
  4. Wang, J.; Liu, H.; Xu, J.; Zhang, H. Formation mechanism and distribution law of remaining oil in fracture-cavity reservoirs. Pet. Explor. Dev. 2014, 41, 206–214. [Google Scholar] [CrossRef]
  5. Shen, P.; Yang, W.; Wei, G.; Zhang, J.; Jiao, G.; Xie, W.; Xie, Z. Formation conditions and exploration prospects of Sinian large gas fields, Sichuan Basin. Pet. Explor. Dev. 2013, 40, 129–138. [Google Scholar]
  6. Zhao, L.; Chen, Y.; Ning, Z.; Wu, X.; Liu, L.; Chen, X. Stress sensitive experiments for abnormal overpressure carbonate reservoirs: A case from the Kenkiyak low-permeability fractured-porous oilfield in the littoral Caspian Basin. Pet. Explor. Dev. 2013, 40, 194–200. [Google Scholar] [CrossRef]
  7. Wu, G.; Li, H.; Zhang, L.; Wang, C.; Zhou, B. Reservoir-forming conditions of the Ordovician weathering crust in the Maigaiti slope, Tarim Basin, NW China. Pet. Explor. Dev. 2012, 39, 144–153. [Google Scholar] [CrossRef]
  8. Luo, Z.; Wang, Y. Pore Space of Oil and Gas Reservoirs; Science Press: Beijing, China, 1986. [Google Scholar]
  9. Salman, S.M.; Bellah, S. Rock typing:an integrated reservoir characterization tool to construct a robust geological model in Abu Dhabi carbonate oil field. In Proceedings of the SPE/EAGE Reservoir Characterization & Simulation Conference, Abu Dhabi, UAE, 19–21 October 2009. [Google Scholar]
  10. Qiu, Y.; Xue, S. Petroleum Reservoir Evaluation Technology; Petroleum Industry Press: Beijing, China, 1997. [Google Scholar]
  11. Luo, P.; Qiu, Y.; Jia, A.; Wang, X. The Present Challenges of Chinese Petroleum Reservoir Geology and Research Direction. Acta Sedimentol. Sin. 2003, 21, 142–147. [Google Scholar]
  12. Li, K.; Shen, P. Fractal geometry and its application in petroleum industry. Pet. Explor. Dev. 1990, 17, 23–27. [Google Scholar]
  13. Dullien, F.A.; Dhwan, G.K. Characterization of pore space by a combination of quantitative photomicrography and Mercury porometry. J. Colloid Interface Sci. 1974, 47, 337–342. [Google Scholar] [CrossRef]
  14. Bale, H.D.; Schmidt, P.W. Small angle X-ray scattering investigation of submicroscopic porosity with fractal properties. Phys. Rev. Lett. 1984, 53, 596–598. [Google Scholar] [CrossRef]
  15. Chuanlong, M.; Yongsheng, M.; Qian, Y.; Tonglou, G.; Qinyin, T.; Liquan, W. The oil-gas sources of the late Permian organic reefal oil-gas pools in the Panlongdong, Xuanhan, Sichuan. Pet. Geol. Exp. 2005, 27, 579–580. [Google Scholar]
  16. Zhao, W.; Shen, A.; Qiao, Z. The genetic types and distinguished characteristics of dolostone and the origin of dolostone reservoirs. Pet. Explor. Dev. 2018, 45, 923–935. [Google Scholar] [CrossRef]
  17. Zhang, C.; Shen, J.; Fan, Z. Pore space study of low porosity and permeability reservoirs in MHM oilfield of Ordos Basin with fractal theory. Oil Gas Geol. 2007, 28, 110–115. [Google Scholar]
  18. Shen, J.; Zhang, C. Study on the heterogeneity of the pore space of Chang 6 reservoir in ZJ oilfield, Erdos Basin using fractal theory. J. Xi’an Shi You Univ. (Nat. Sci. Ed.) 2008, 23, 19–28. [Google Scholar]
  19. Zhu, F.; Hu, W.X.; Cao, J.; Sun, F.; Liu, Y.; Sun, Z. Micro/nanoscale pore structure and fractal characteristics of tight gas sandstone: A case study from the Yuanba area, northeast Sichuan Basin, China. Mar. Pet. Geol. 2018, 98, 116–132. [Google Scholar] [CrossRef]
  20. Zhang, L.; Ji, Y.; Ma, W.; Zhang, H. Characteristics of fractional geometry and reservoir evaluation of foremountian belt at Bogedashan. J. Univ. Pet. China (Ed. Nat. Sci.) 1998, 22, 31–33. [Google Scholar]
  21. Xu, Y.; Dong, P. Fractal approach to hydraulic properties in unsaturated porous media. Chaos Solut. Fractals 2004, 19, 327–337. [Google Scholar] [CrossRef]
  22. Wang, Z.; Lu, S.; Wang, M.; Tian, S.S. Fractal characteristics of lacustrine shale and marine shale. Lithol. Reserv. 2016, 28, 88–93. [Google Scholar]
  23. Li, X.; Gao, Z.; Fang, S.; Ren, C.; Yang, K.; Wang, F. Fractal Characterization of Nanopore Structure in Shale, Tight Sandstone and Mudstone from the Ordos Basin of China Using Nitrogen Adsorption. Energies 2019, 12, 583. [Google Scholar] [CrossRef]
  24. Song, W.; Yao, J.; Zhang, K.; Yang, Y.; Sun, H. Accurate Prediction of Permeability in Porous Media: Extension of Pore Fractal Dimension to Throat Fractal Dimension. Fractals 2022, 30, 2250038. [Google Scholar] [CrossRef]
  25. Sha, F.; Xiao, L.; Mao, Z.; Jia, C. Petrophysical Characterization and Fractal Analysis of Carbonate Reservoirs of the Eastern Margin of the Pre-Caspian Basin. Energies 2019, 12, 78. [Google Scholar] [CrossRef]
  26. Giri, A.; Tarafdar, S.; Gouz, P.; Dutta, T. Fractal pore space of sedimentary rocks: Simulation in 2-d using a relaxed bidisperse ballistic deposition model. J. Appl. Geophys. 2012, 87, 40–45. [Google Scholar] [CrossRef]
  27. El Sharawy, M.S.; Gaafar, G.R. Pore-throat size distribution indices and their relationships with the petrophysical properties of conventional and unconventional clastic reservoirs. Mar. Pet. Geol. 2019, 99, 122–134. [Google Scholar] [CrossRef]
  28. Mstislav, L.P. Ancient structural evolution of hydrocarbon accumulation in southeastern part of giant syneclise of Caspian Seashore Basin (translated by REN Yu). Xinjiang Pet. Geol. 2002, 23, 351–354. [Google Scholar]
  29. Xu, K. Hydrocarbon Accumulation Characteristics and Exploration Practice of the Central Block in the East Pre-Caspian Basin; Petroleum Industry Press: Beijing, China, 2011; pp. 37–50. [Google Scholar]
  30. Wang, X.; Wang, Z.; Li, Z.; Zeng, J.; Wang, J. The Favorable Reservoir Facies Belt of Subsalt Complex in Mezhdurechensky Block of Precaspian Basin. Xinjiang Pet. Geol. 2009, 30, 142–145. [Google Scholar]
  31. Wang, L.; Shen, R.; Fengjun, L.V.; Shengying, L. Petroleum geology characteristics and exploration direction analysis of Pre-Caspian Basin. Pet. Geol. Oilfield Dev. Daqing 2004, 23, 17–18. [Google Scholar]
  32. Li, Y.; Burlin, Y.K. Characteristics of petroleum geology and formation conditions of large oil and gas fields below halite in southern Pre-Caspian basin. Oil Gas Geol. 2005, 26, 840–846. [Google Scholar]
  33. Liu, L.; Shang, X.; Meng, J. Salt Characteristics of Kungurian of Early Permian and Its Effect on Hydrocarbon Accumulation in the Post-salt Strata in Block Sagizski, Southeastern Pre-Caspian Basin. J. Jilin Univ. (Earth Sci. Ed.) 2012, 42, 304–311. [Google Scholar]
  34. Mandelbrot, B.B. The Fractal Geometry of Nature; W.H. Freeman & Co: San Francisco, CA, USA, 1982. [Google Scholar]
  35. Li, Y.; Zhao, Y.; Jiang, Y.; Zhang, B.; Song, H.; Liu, B. Characteristics of Pore and Fracture of Coal with Bursting Proneness Based on DIC and Fractal Theory. Energies 2020, 13, 5404. [Google Scholar] [CrossRef]
  36. McPhee, C.; Reed, J.; Zubizarreta, I. Capillary pressure. Dev. Pet. Sci. 2015, 64, 449–517. [Google Scholar]
  37. Su, P.; Xia, Z.; Ding, W.; Wang, P.; Hu, Y.; Zhang, W.; Peng, Y. Fractal and Multifractal Analysis of Pore Size Distribution in Low Permeability Reservoirs Based on Mercury Intrusion Porosimetry. Energies 2019, 12, 1337. [Google Scholar] [CrossRef]
  38. Liu, H.; Tian, Z. Quantitative evaluation of carbonate reservoir pore space based on fractal characteristics. Lithol. Reserv. 2017, 29, 97–105. [Google Scholar]
  39. Volatili, T.; Zambrano, M.; Cilona, A.; Huisman, B.A.H.; Rustichelli, A.; Giorgioni, M.; Vittori, S.; Tondi, E. From fracture analysis toflow simulations in fractured carbonates: The case study of the Roman Valley Quarry (Majella Mountain, Italy). Mar. Pet. Geol. 2019, 100, 95–110. [Google Scholar] [CrossRef]
  40. Gao, D.; Li, M.; Wang, B.; Hu, B.; Liu, J. Characteristics of Pore Structure and Fractal Dimension of Isometamorphic Anthracite. Energies 2017, 10, 1881. [Google Scholar] [CrossRef] [Green Version]
Figure 1. (a) The NT Oilfield position in geological-tectonic zoning map of Pre-Caspian basin; (b) NT Oilfield KT-II reservoir structure map showing cored wells locations.
Figure 1. (a) The NT Oilfield position in geological-tectonic zoning map of Pre-Caspian basin; (b) NT Oilfield KT-II reservoir structure map showing cored wells locations.
Energies 15 06357 g001
Figure 2. (a) The two-dimensions of fractal characteristics; (b) the uni-modal pore-throats radius distribution and cumulative permeability contribution. Date from sample NO. 7-8 of cored well 5598, depth 3194.7 m, 2D-1M type.
Figure 2. (a) The two-dimensions of fractal characteristics; (b) the uni-modal pore-throats radius distribution and cumulative permeability contribution. Date from sample NO. 7-8 of cored well 5598, depth 3194.7 m, 2D-1M type.
Energies 15 06357 g002
Figure 3. (a) The three-dimensions of fractal characteristics; (b) the uni-modal pore-throats radius distribution and cumulative permeability contribution. Date from sample NO. 7-23 of cored well 5598, depth 3198.3 m, 3D-1M type.
Figure 3. (a) The three-dimensions of fractal characteristics; (b) the uni-modal pore-throats radius distribution and cumulative permeability contribution. Date from sample NO. 7-23 of cored well 5598, depth 3198.3 m, 3D-1M type.
Energies 15 06357 g003
Figure 4. (a) The two-dimensions of fractal characteristics; (b) the bi-modal pore-throats radius distribution and cumulative permeability contribution. Date from sample NO. 5-35 of cored well 5598, depth 3178.3 m, 2D-2M type.
Figure 4. (a) The two-dimensions of fractal characteristics; (b) the bi-modal pore-throats radius distribution and cumulative permeability contribution. Date from sample NO. 5-35 of cored well 5598, depth 3178.3 m, 2D-2M type.
Energies 15 06357 g004
Figure 5. (a) The single-dimensions of fractal characteristics; (b) the pore-throats radius wide distribution and cumulative permeability contribution. Date from sample NO. 7-29 of cored well 5598, depth 3200.3 m, 1D-WideM type.
Figure 5. (a) The single-dimensions of fractal characteristics; (b) the pore-throats radius wide distribution and cumulative permeability contribution. Date from sample NO. 7-29 of cored well 5598, depth 3200.3 m, 1D-WideM type.
Energies 15 06357 g005
Figure 6. (a) Relationship between fractal dimension and Pc50; (b) relationship between fractal dimension and large pore-throats ratio.
Figure 6. (a) Relationship between fractal dimension and Pc50; (b) relationship between fractal dimension and large pore-throats ratio.
Energies 15 06357 g006
Figure 7. (a) Type I reservoir. CT22 well, No. 14-32 thin section; foraminifera limestone; depth 3196.25 m; fractal dimension 1.86; porosity 16.9%; permeability 182 mD; the pore-throats structure is clean and there are few cement fillings. (b) Type II reservoir. Well 5555, No. 8-14 thin section; foraminifera spinosa limestone; depth 3119.79 m; fractal dimension 2.59; porosity 11.9%; permeability 15.5 mD; certain amount of calcite filled the pore space. (c) Type III reservoir. CT22 well, No. 14-9 thin section; foraminifera limestone; depth 3192.54 m; fractal dimension 2.78; porosity is 6.8%; permeability 1.28 mD; isopachous equant calcite is coated on the grain surface, coarse calcite crystal developed in pore space. Width of each photomicrograph is approximately 2 mm.
Figure 7. (a) Type I reservoir. CT22 well, No. 14-32 thin section; foraminifera limestone; depth 3196.25 m; fractal dimension 1.86; porosity 16.9%; permeability 182 mD; the pore-throats structure is clean and there are few cement fillings. (b) Type II reservoir. Well 5555, No. 8-14 thin section; foraminifera spinosa limestone; depth 3119.79 m; fractal dimension 2.59; porosity 11.9%; permeability 15.5 mD; certain amount of calcite filled the pore space. (c) Type III reservoir. CT22 well, No. 14-9 thin section; foraminifera limestone; depth 3192.54 m; fractal dimension 2.78; porosity is 6.8%; permeability 1.28 mD; isopachous equant calcite is coated on the grain surface, coarse calcite crystal developed in pore space. Width of each photomicrograph is approximately 2 mm.
Energies 15 06357 g007
Figure 8. Porosity and permeability scatter plots of 62 core samples in the KT-II layer of NT Oilfield and the distribution of reservoir types.
Figure 8. Porosity and permeability scatter plots of 62 core samples in the KT-II layer of NT Oilfield and the distribution of reservoir types.
Energies 15 06357 g008
Figure 9. Flow profile of production well and fractal reservoir types.
Figure 9. Flow profile of production well and fractal reservoir types.
Energies 15 06357 g009
Figure 10. Flow profile of water injection well and fractal reservoir types.
Figure 10. Flow profile of water injection well and fractal reservoir types.
Energies 15 06357 g010
Table 1. Table of fractal dimension and permeability of the same porosity samples from key wells in the KT-II layer of NT Oilfield.
Table 1. Table of fractal dimension and permeability of the same porosity samples from key wells in the KT-II layer of NT Oilfield.
SampleNo.WellDepth mLayerSampleTypePor %DPermeability md
1155553175.15G41215s2D-1M9.842.597.98
255553199.71G51449x1D-WideM9.842.703.78
23CT-223197.61G41441x2D-1M14.802.08393
4CT-223197.72G41442Z1D-WideM14.802.5560.1
555553076.32G2626x1D-WideM14.802.7622.2
36CT-223201.80G41519x3D-1M15.202.26175
755983136.66G327x2D-1M15.202.503.45
48CT-223151.02G31134z2D-1M15.802.1614.1
955983149.93G3327s2D-1M15.802.452.17
Table 2. The table of comprehensive evaluation of the KT-II reservoir in NT Oilfield.
Table 2. The table of comprehensive evaluation of the KT-II reservoir in NT Oilfield.
Pore-Throats Structure CharacteristicsOverall Fractal DimensionPorosity/
%
Permeability/
mD
Pc50
/MPa
Large Pore-throats ProportionPhotomicrographsReservoir Types
/Quality
2D-1M1.83–2.598.6–22.952.17–9060.06–0.860.57–0.86Weak compactionType I
/Good
Ave. = 2.27Ave. = 13.85Ave. = 132.6Ave. = 0.27Ave. = 0.75Weak cementation
2D-2M2.36–2.6610.7–18.515.5–1620.14–1.020.55–0.73Strong compactionType II
/Moderate
Ave. = 2.53Ave. = 14.05Ave. = 51.8Ave. = 0.5Ave. = 0.65Fair cementation
1D-WideM2.55–2.826.8–15.950.35–88.10.22–10.410.22–0.74Strong compactionType III
/Poor
Ave. = 2.73Ave. = 10.86Ave. = 16.66Ave. = 2.33Ave. = 0.53Strong compaction
Publisher’s Note: MDPI stays neutral with regard to jurisdictional claims in published maps and institutional affiliations.

Share and Cite

MDPI and ACS Style

Zeng, X.; Li, W.; Hou, J.; Zhao, W.; Liu, Y.; Kang, Y. Fractal Characteristics of Pore-Throats Structure and Quality Evaluation of Carbonate Reservoirs in Eastern Margin of Pre-Caspian Basin. Energies 2022, 15, 6357. https://doi.org/10.3390/en15176357

AMA Style

Zeng X, Li W, Hou J, Zhao W, Liu Y, Kang Y. Fractal Characteristics of Pore-Throats Structure and Quality Evaluation of Carbonate Reservoirs in Eastern Margin of Pre-Caspian Basin. Energies. 2022; 15(17):6357. https://doi.org/10.3390/en15176357

Chicago/Turabian Style

Zeng, Xing, Weiqiang Li, Jue Hou, Wenqi Zhao, Yunyang Liu, and Yongbo Kang. 2022. "Fractal Characteristics of Pore-Throats Structure and Quality Evaluation of Carbonate Reservoirs in Eastern Margin of Pre-Caspian Basin" Energies 15, no. 17: 6357. https://doi.org/10.3390/en15176357

APA Style

Zeng, X., Li, W., Hou, J., Zhao, W., Liu, Y., & Kang, Y. (2022). Fractal Characteristics of Pore-Throats Structure and Quality Evaluation of Carbonate Reservoirs in Eastern Margin of Pre-Caspian Basin. Energies, 15(17), 6357. https://doi.org/10.3390/en15176357

Note that from the first issue of 2016, this journal uses article numbers instead of page numbers. See further details here.

Article Metrics

Back to TopTop