Photovoltaic Array Reconfiguration under Partial Shading Conditions Based on Short-Circuit Current Estimated by Convolutional Neural Network
Abstract
:1. Introduction
- Instead of using the irradiance equalization method, a method based on equalizing the effect of PSC on the short-circuit current of each row of the PV array is proposed. The ratio of the measured short-circuit current to the estimated short-circuit current is used as a metric to decide the optimal configuration for the PV array under PSC. Compared with the conventional irradiance equalization method, this method eliminates the expensive pyranometers and represents the actual irradiance on the PV module considering the shading effect.
- CNN-based models are proposed to estimate the ratio of the two short circuit currents under PSC. The proposed models employ the information of the short-circuit current and surface’s irradiance to create labels for the CNN models.
- The experiment is set up on a PV array to validate the proposed Dynamic PVAR framework. The experimental results show the effectiveness of the proposed short-circuit-current estimating model and the proposed reconfiguration framework.
2. Proposed Dynamic PV Array Reconfiguration Based on Equalizing Effect of Partial Shading Conditions on Short-Circuit Current
3. Proposed CNN-Based Short-Circuit Current Estimation Models
3.1. Data Acquisition and Preprocessing
3.2. Relationship between Actual and Estimated Short-Circuit Currents
3.3. Estimating Ratio of Two Short-Circuit Currents by CNN Models
3.3.1. LeNet-5 Architecture [33]
3.3.2. AlexNet Architecture [34]
3.3.3. VGG Architecture [35]
3.3.4. Inception V3 Architecture [36]
3.3.5. ResNet Architecture [38]
4. Experimental Setup
5. Results and Discussion
5.1. Case Studies and Evaluation Metrics
5.2. Results and Discussion
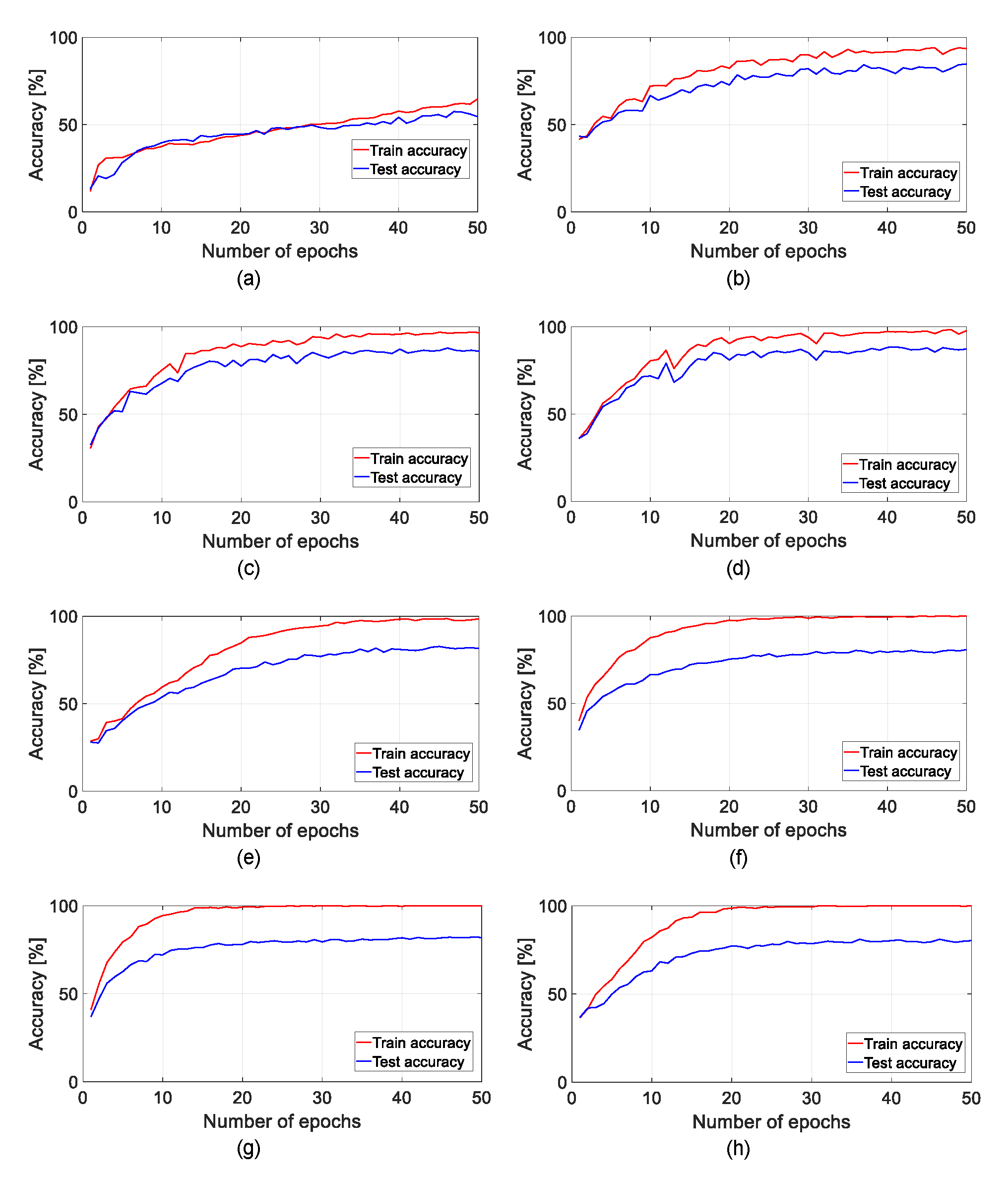
5.2.1. Estimation of Ratio of Short-Circuit Currents
5.2.2. Output Power of Proposed Dynamic PVAR
6. Conclusions
Author Contributions
Funding
Conflicts of Interest
References
- IEA. Task 1 Strategic PV Analysis and Outreach—2021 Snapshot of Global PV Markets; IEA: Indianapolis, IN, USA, 2020; pp. 1–16. Available online: www.Iea-Pvps.Org (accessed on 14 July 2022).
- Shmilovitz, D.; Levron, Y. Distributed Maximum Power Point Tracking in Photovoltaic Systems—Emerging Architectures and Control Methods. Automatika 2012, 53, 142–155. [Google Scholar] [CrossRef]
- Malathy, S.; Ramaprabha, R. Performance enhancement of partially shaded solar photovoltaic array using grouping technique. J. Sol. Energy Eng. Trans. ASME 2015, 137, 34505. [Google Scholar] [CrossRef]
- Yang, B.; Ye, H.; Wang, J.; Li, J.; Wu, S.; Li, Y.; Shu, H.; Ren, Y.; Ye, H. PV arrays reconfiguration for partial shading mitigation: Recent advances, challenges and perspectives. Energy Convers. Manag. 2021, 247, 114738. [Google Scholar] [CrossRef]
- Chavan, V.C.; Mikkili, S. Effect of PV Array Positioning on Mismatch and Wiring Losses in Static Array Reconfiguration. IETE J. Res. 2021, 1–14. [Google Scholar] [CrossRef]
- Chavan, V.C.; Mikkili, S.; Senjyu, T. Hardware Implementation of Novel Shade Dispersion PV Reconfiguration Technique to Enhance Maximum Power under Partial Shading Conditions. Energies 2022, 15, 3515. [Google Scholar] [CrossRef]
- Sai Krishna, G.; Moger, T. Optimal SuDoKu Reconfiguration Technique for Total-Cross-Tied PV Array to Increase Power Output under Non-Uniform Irradiance. IEEE Trans. Energy Convers. 2019, 34, 1973–1984. [Google Scholar] [CrossRef]
- Yadav, K.; Kumar, B.; Swaroop, D. Mitigation of Mismatch Power Losses of PV Array under Partial Shading Condition using novel Odd Even Configuration. Energy Rep. 2020, 6, 427–437. [Google Scholar] [CrossRef]
- Mishra, N.; Yadav, A.S.; Pachauri, R.; Chauhan, Y.K.; Yadav, V.K. Performance enhancement of PV system using proposed array topologies under various shadow patterns. Solar Energy 2017, 157, 641–656. [Google Scholar] [CrossRef]
- Anjum, S.; Mukherjee, V.; Mehta, G. Modelling and simulation of AdDoKu based reconfiguration technique to harvest maximum power from photovoltaic array under partial shading conditions. Simul. Model. Pract. Theory 2022, 115, 102447. [Google Scholar] [CrossRef]
- Babu, T.S.; Yousri, D.; Balasubramanian, K. Photovoltaic Array Reconfiguration System for Maximizing the Harvested Power Using Population-Based Algorithms. IEEE Access 2020, 8, 109608–109624. [Google Scholar] [CrossRef]
- Yang, B.; Shao, R.; Zhang, M.; Ye, H.; Liu, B.; Bao, T.; Wang, J.; Shu, H.; Ren, Y.; Ye, H. Socio-inspired democratic political algorithm for optimal PV array reconfiguration to mitigate partial shading. Sustain. Energy Technol. Assess. 2021, 48, 101627. [Google Scholar] [CrossRef]
- Sai Krishna, G.; Moger, T. A novel adaptive dynamic photovoltaic reconfiguration system to mitigate mismatch effects. Renew. Sustain. Energy Rev. 2021, 141, 110754. [Google Scholar] [CrossRef]
- Sugumar, S.; Prince Winston, D.; Pravin, M. A novel on-time partial shading detection technique for electrical reconfiguration in solar PV system. Solar Energy 2021, 225, 1009–1025. [Google Scholar] [CrossRef]
- Kumar Pachauri, R.; Thanikanti, S.B.; Bai, J.; Kumar Yadav, V.; Aljafari, B.; Ghosh, S.; Haes Alhelou, H. Ancient Chinese magic square-based PV array reconfiguration methodology to reduce power loss under partial shading conditions. Energy Convers. Manag. 2022, 253, 115148. [Google Scholar] [CrossRef]
- Karmakar, B.K.; Karmakar, G. A Current Supported PV Array Reconfiguration Technique to Mitigate Partial Shading. IEEE Trans. Sustain. Energy 2021, 12, 1449–1460. [Google Scholar] [CrossRef]
- Aidha, M.; Ajmal, V.K. Ramachandaramurthy, A.T.J.B.E. Optimal dynamic reconfiguration of large-scale PV plant under partial shading conditions based on two reconfigurable stages. Int. Trans. Electr. Energy Syst. 2021, 31, e12746. [Google Scholar] [CrossRef]
- Durango-Flórez, M.; González-Montoya, D.; Trejos-Grisales, L.A.; Ramos-Paja, C.A. PV Array Reconfiguration Based on Genetic Algorithm for Maximum Power Extraction and Energy Impact Analysis. Sustainability 2022, 14, 3764. [Google Scholar] [CrossRef]
- Rani, B.I.; Ilango, G.S.; Nagamani, C. Enhanced power generation from PV array under partial shading conditions by shade dispersion using Su Do Ku configuration. IEEE Trans. Sustain. Energy 2013, 4, 594–601. [Google Scholar] [CrossRef]
- Velasco-Quesada, G.; Guinjoan-Gispert, F.; Piqué-López, R.; Román-Lumbreras, M.; Conesa-Roca, A. Electrical PV array reconfiguration strategy for energy extraction improvement in grid-connected PV systems. IEEE Trans. Ind. Electron. 2009, 56, 4319–4331. [Google Scholar] [CrossRef]
- Babu, T.S.; Ram, J.P.; Dragičević, T.; Miyatake, M.; Blaabjerg, F.; Rajasekar, N. Particle swarm optimization based solar PV array reconfiguration of the maximum power extraction under partial shading conditions. IEEE Trans. Sustain. Energy 2018, 9, 74–85. [Google Scholar] [CrossRef]
- Cavieres, R.; Barraza, R.; Estay, D.; Bilbao, J.; Valdivia-Lefort, P. Automatic soiling and partial shading assessment on PV modules through RGB images analysis. Appl. Energy 2022, 306, 117964. [Google Scholar] [CrossRef]
- Le, M.; Van Su, L.; Dang Khoa, N.; Dao, V.D.; Ngoc Hung, V.; Hong Ha Thi, V. Remote anomaly detection and classification of solar photovoltaic modules based on deep neural network. Sustain. Energy Technol. Assess. 2021, 48, 101545. [Google Scholar] [CrossRef]
- Wang, X.; Yang, W.; Qin, B.; Wei, K.; Ma, Y.; Zhang, D. Intelligent monitoring of photovoltaic panels based on infrared detection. Energy Rep. 2022, 8, 5005–5015. [Google Scholar] [CrossRef]
- Bouselham, L.; Rabhi, A.; Hajji, B.; Mellit, A. Photovoltaic array reconfiguration method based on fuzzy logic and recursive least squares: An experimental validation. Energy 2021, 232, 121107. [Google Scholar] [CrossRef]
- Matam, M.; Barry, V.R. Improved performance of Dynamic Photovoltaic Array under repeating shade conditions. Energy Convers. Manag. 2018, 168, 639–650. [Google Scholar] [CrossRef]
- Pachauri, R.; Singh, R.; Gehlot, A.; Samakaria, R.; Choudhury, S. Experimental analysis to extract maximum power from PV array reconfiguration under partial shading conditions. Eng. Sci. Technol. Int. J. 2019, 22, 109–130. [Google Scholar] [CrossRef]
- Pendem, S.R.; Mikkili, S. Modelling and performance assessment of PV array topologies under partial shading conditions to mitigate the mismatching power losses. Solar Energy 2018, 160, 303–321. [Google Scholar] [CrossRef]
- Storey, J.P.; Wilson, P.R.; Bagnall, D. Improved Optimization Strategy for Irradiance Equalization in Dynamic Photovoltaic Arrays. IEEE Trans. Power Electron. 2013, 28, 2946–2956. [Google Scholar] [CrossRef]
- Geron, A. Hands-on Machine Learning with Scikit-Learn and TensorFlow: Concepts, Tools, and Techniques to Build Intelligent Systems; O’Reilly Media: Sebastopol, CA, USA, 2017. [Google Scholar]
- Zhang, A.; Lipton, Z.C.; Li, M.; Smola, A.J. Dive into Deep Learning. arXiv 2021, arXiv:2106.11342. [Google Scholar]
- Dutta, A.; Zisserman, A. The VIA annotation software for images, audio and video. In Proceedings of the MM 2019000Proceedings of the 27th ACM International Conference on Multimedia, Nice, France, 21–25 October 2019; pp. 2276–2279. [Google Scholar] [CrossRef]
- Lecun, Y.; Bottou, L.; Bengio, Y.; Haffner, P. Gradient-based learning applied to document recognition. Proc. IEEE 1998, 86, 2278–2324. [Google Scholar] [CrossRef] [Green Version]
- Krizhevsky, A.; Sutskever, I.; Hinton, G.E. ImageNet Classification with Deep Convolutional Neural Networks. In Advances in Neural Information Processing Systems; Pereira, F., Burges, C., Bottou, L., Weinberger, K., Eds.; Curran Associates, Inc.: Red Hook, NY, USA, 2012; Volume 25. [Google Scholar]
- Simonyan, K.; Zisserman, A. Very deep convolutional networks for large-scale image recognition. In Proceedings of the 3rd International Conference on Learning Representations, ICLR 2015—Conference Track Proceedings, San Diego, CA, USA, 7–9 May 2015; pp. 1–14. [Google Scholar]
- Szegedy, C.; Vanhoucke, V.; Ioffe, S.; Shlens, J.; Wojna, Z. Rethinking the Inception Architecture for Computer Vision. In Proceedings of the IEEE Computer Society Conference on Computer Vision and Pattern Recognition, Las Vegas, NV, USA, 27–30 June 2016; pp. 2818–2826. [Google Scholar] [CrossRef]
- Szegedy, C.; Liu, W.; Jia, Y.; Sermanet, P.; Reed, S.; Anguelov, D.; Erhan, D.; Vanhoucke, V.; Rabinovich, A. Going deeper with convolutions. In Proceedings of the IEEE Computer Society Conference on Computer Vision and Pattern Recognition, Boston, MA, USA, 7–12 June 2015; pp. 1–9. [Google Scholar] [CrossRef]
- He, K.; Zhang, X.; Ren, S.; Sun, J. Deep residual learning for image recognition. In Proceedings of the IEEE Computer Society Conference on Computer Vision and Pattern Recognition, Las Vegas, NV, USA, 27–30 June 2016; pp. 770–778. [Google Scholar] [CrossRef] [Green Version]



















| No. | Literature | Year | Methodology | Validation | Acquired Parameters | Highlights | Disadvantages |
|---|---|---|---|---|---|---|---|
| 1 | Chavan, et al. [5] | 2021 | Repositioning method | Simulation | None | Not only minimize the power losses of PV array due to PSC but also limit wiring losses. | The effect of the proposed model is limited under certain shading patterns because the physical positions of the PV modules are one-time reconfigured. |
| 2 | Chavan, et al. [6] | 2022 | Novel Shade Dispersion | Simulation & Experiment | Irradiance | Various evaluation metrics are used for a comprehensive comparison | The experiment was not implemented with real PV arrays |
| 3 | Saikrishna, et al. [7] | 2019 | Improved SuDoKu-based | Simulation | None | Enhances output power and reduces line losses better than SuDoKu based method does [19]. | Model is only validated on the squared shades. |
| 4 | Yadav, et al. [8] | 2020 | Magic Square Puzzle | Simulation | None | The performance of the proposed model is compared with standard configurations (TCT, SP-TCT, BL-TCT, BL-HC, and Mishra configuration [9]). | Line losses have not been addressed. |
| 5 | Anjum, et al. [10] | 2022 | AdDoKu | Simulation | None | The output power of the proposed model is more improved than with the SuDoKu model [19]. | The line losses have not been compared with the one of the SuDoKu model. |
| No. | Literature | Year | Methodology | Validation | Acquired Parameters | Highlights | Disadvantages |
|---|---|---|---|---|---|---|---|
| 1 | Babu, et al. [11] | 2020 | FRA, SMO and Rao optimization algorithm | Simulation | Irradiance | Evaluated the proposed strategy under a daily scenario of moving shadows | The shadow patterns were still simple and impractical |
| 2 | Bo Yang, et al. [12] | 2021 | Democratic political algorithm | Simulation | Irradiance | A wide range of array size and shadow patterns were simulated | The switching operation and data acquisition requirements were not pointed out |
| 3 | Saikrishna, et al. [13] | 2021 | Adaptive method & logic algorithm | Simulation & Experiment | Short-circuit current | Mitigated the required measurements and switches | The adaptation of the proposed strategy was limited under various shading conditions |
| 4 | Sugumar, et al. [14] | 2021 | Modified Couple Matching | Simulation & Experiment | Row voltage | An on-time partial shading estimation method are proposed in stead of conventional short-circuit current based measurement | The voltage is less affected by irradiance than the short-circuit current |
| 5 | Pachauri, et al. [15] | 2021 | Ancient Chinese Magic Square puzzle | Simulation & Experiment | None | An experimental set-up was large enough to validate the performance of the proposed strategy | The electrical connection for a 9 × 9 array were complex for commercial applications |
| 6 | Karmakar, et al. [16] | 2021 | Current injection method | Simulation & Experiment | Current | Current injection converters can provide external current to PV array so that mitigate affect of partial shading | The proposed system requires more equipment and consumes external power from the grid |
| 7 | Ajmal, et al. [17] | 2021 | Genetic Algorithm | Simulation | Irradiance | The reconfiguration strategy were applied with a large PV plant | The practicality of the switching matrix was not mentioned |
| 8 | Mariana, et al. [18] | 2022 | Genetic Algorithm | Simulation | Power | Execution time was mentioned clearly along with PV size | The referral approach (brute force) presents a computational-burden for large-scale applications. |
| Properties | Value |
|---|---|
| Framework | PyTorch |
| Run time | GPU |
| Number of train images | 1200 |
| Number of test images | 642 |
| Number of classes | 10 |
| Number of epochs | 50 |
| Batch size | 10 |
| Learning rate | 0.001 |
| Criterion | Cross entropy loss |
| Optimizer | Stochastic gradient descent |
| Component | Specification | Utilization/Function |
|---|---|---|
| PV modules | : 2 [W] : 0.22 [A] : 9 [V] : 0.26 [A] : 10.53 [V] | 4 PV modules are configured into the TCT PV array. PV array is placed under natural sun light. Paper boards are used to simulate the partial shades. |
| Solar power meter | Measurement range: 0–2000 | To measure the ambient irradiance |
| Electronic load | Measurement range: 60 V/30 A Resolution: 1 mA Used work mode: Constant voltage | To consume the power from the PV array |
| Data logger | Used voltage channel: CH3 Used current channel: CH4 Sampling time: 1s | To record and save the current and voltage of the PV array |
| Camera | Resolution: 13 MP | To capture the images of the PV array |
| Micro controller | Processor: ATmega328P Logic level: 5 V Used TTL power improvementns: 6–13 | To control the switching board |
| Clamp sensor | Rated primary current: 10 [A] (L), 100 [A] (H) Output voltage: 100 mV/f.s | To measure the current of the PV array |
| Battery supplier | Capacity: 10,000 mAh Output: 5 V–2 A | To power the micro controller and the switching board |
| Switching board | Number of switches: 8 Type: single-pole double-throw | To change electrical connections of the PV array |
| LeNet-5 | AlexNet | VGG-11 | VGG-19 | Inception-V3 | ResNet18 | ResNet34 | ResNet50 | |
|---|---|---|---|---|---|---|---|---|
| MAPE-train [%] | 7.53 | 3.25 | 3.2 | 3.12 | 3.1 | 3.04 | 3.04 | 3.04 |
| MAPE-test [%] | 7.58 | 3.83 | 3.76 | 3.75 | 4.39 | 4.04 | 4.05 | 3.92 |
| RMSE-train | 0.1106 | 0.0473 | 0.0464 | 0.0406 | 0.0421 | 0.0395 | 0.0395 | 0.0395 |
| RMSE-test | 0.1049 | 0.0527 | 0.0545 | 0.0513 | 0.0737 | 0.0606 | 0.059 | 0.0572 |
| LeNet-5 | AlexNet | VGG-11 | VGG-19 | Inception-V3 | ResNet18 | ResNet34 | ResNet50 | |
|---|---|---|---|---|---|---|---|---|
| Accuracy-Training | 64.75 | 94.00 | 97.00 | 98.42 | 98.58 | 100.00 | 100.00 | 100.00 |
| Accuracy-Testing | 57.48 | 84.74 | 87.85 | 88.47 | 82.71 | 80.84 | 82.24 | 81.00 |
| Case 1 | Case 2 | Case 3 | Case 4 | |
|---|---|---|---|---|
| Panel 1 | 0.35 | 0.45 | 0.45 | 0.95 |
| Panel 2 | 0.35 | 0.45 | 0.45 | 0.95 |
| Panel 3 | 0.95 | 0.35 | 0.35 | 0.75 |
| Panel 4 | 0.95 | 0.35 | 0.35 | 0.45 |
Publisher’s Note: MDPI stays neutral with regard to jurisdictional claims in published maps and institutional affiliations. |
© 2022 by the authors. Licensee MDPI, Basel, Switzerland. This article is an open access article distributed under the terms and conditions of the Creative Commons Attribution (CC BY) license (https://creativecommons.org/licenses/by/4.0/).
Share and Cite
Nguyen-Duc, T.; Le-Viet, T.; Nguyen-Dang, D.; Dao-Quang, T.; Bui-Quang, M. Photovoltaic Array Reconfiguration under Partial Shading Conditions Based on Short-Circuit Current Estimated by Convolutional Neural Network. Energies 2022, 15, 6341. https://doi.org/10.3390/en15176341
Nguyen-Duc T, Le-Viet T, Nguyen-Dang D, Dao-Quang T, Bui-Quang M. Photovoltaic Array Reconfiguration under Partial Shading Conditions Based on Short-Circuit Current Estimated by Convolutional Neural Network. Energies. 2022; 15(17):6341. https://doi.org/10.3390/en15176341
Chicago/Turabian StyleNguyen-Duc, Tuyen, Thinh Le-Viet, Duong Nguyen-Dang, Tung Dao-Quang, and Minh Bui-Quang. 2022. "Photovoltaic Array Reconfiguration under Partial Shading Conditions Based on Short-Circuit Current Estimated by Convolutional Neural Network" Energies 15, no. 17: 6341. https://doi.org/10.3390/en15176341
APA StyleNguyen-Duc, T., Le-Viet, T., Nguyen-Dang, D., Dao-Quang, T., & Bui-Quang, M. (2022). Photovoltaic Array Reconfiguration under Partial Shading Conditions Based on Short-Circuit Current Estimated by Convolutional Neural Network. Energies, 15(17), 6341. https://doi.org/10.3390/en15176341

