Generalized Average Modeling of a Dual Active Bridge DC-DC Converter with Triple-Phase-Shift Modulation
Abstract
:1. Introduction
2. Materials and Methods
2.1. DAB Modeling
2.1.1. Triple-Phase-Shift Definition
2.1.2. DAB’s Electrical Equivalent Circuit
2.2. Generalized Average Modeling
2.3. GAM Approach for the DAB
Steady-States Analysis
2.4. Models’ Comparison
2.4.1. Waveforms Reconstruction
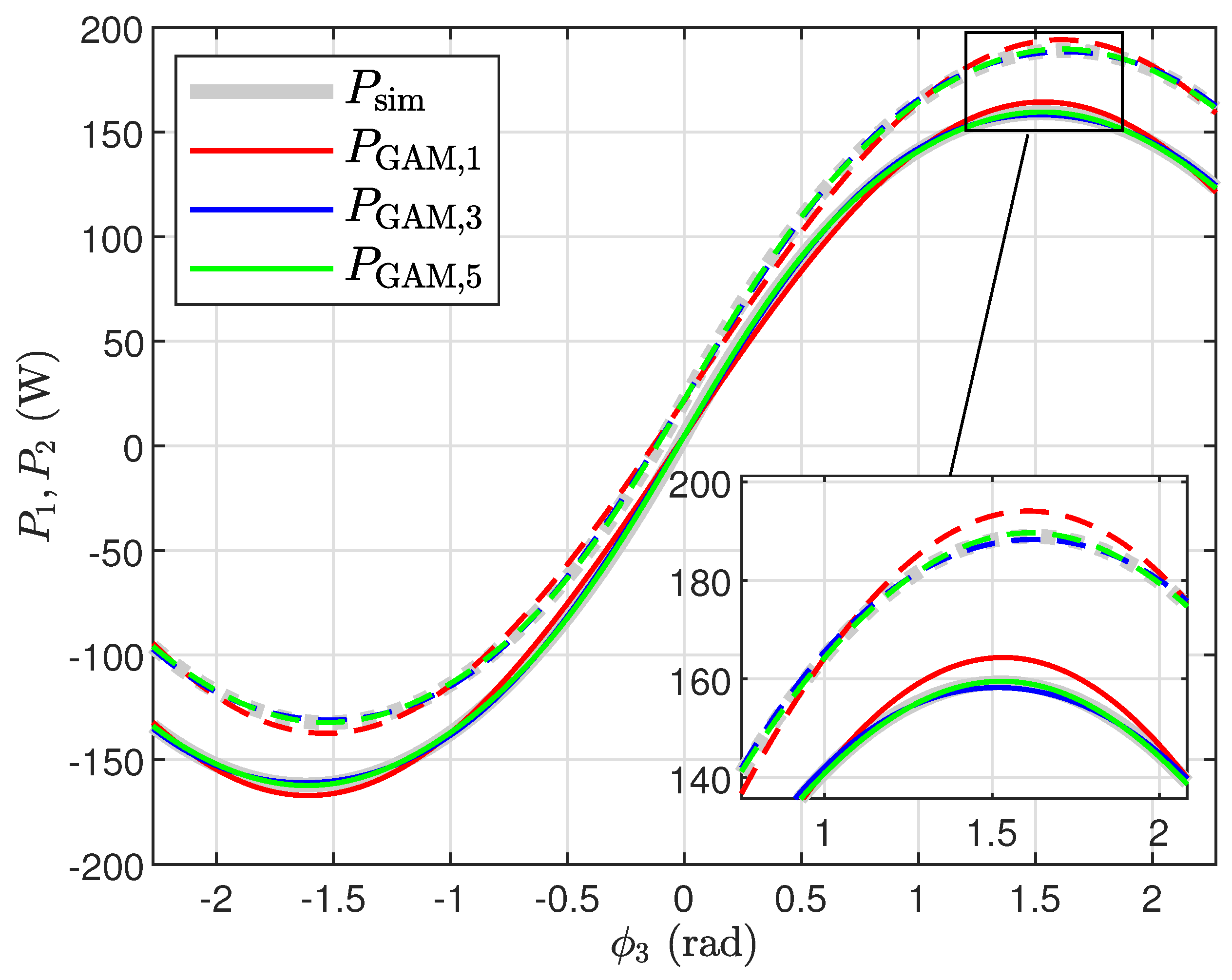
2.4.2. Power Characteristics
3. Results
3.1. Lab Setup
3.2. Results Comparison
3.2.1. Waveform Reconstruction
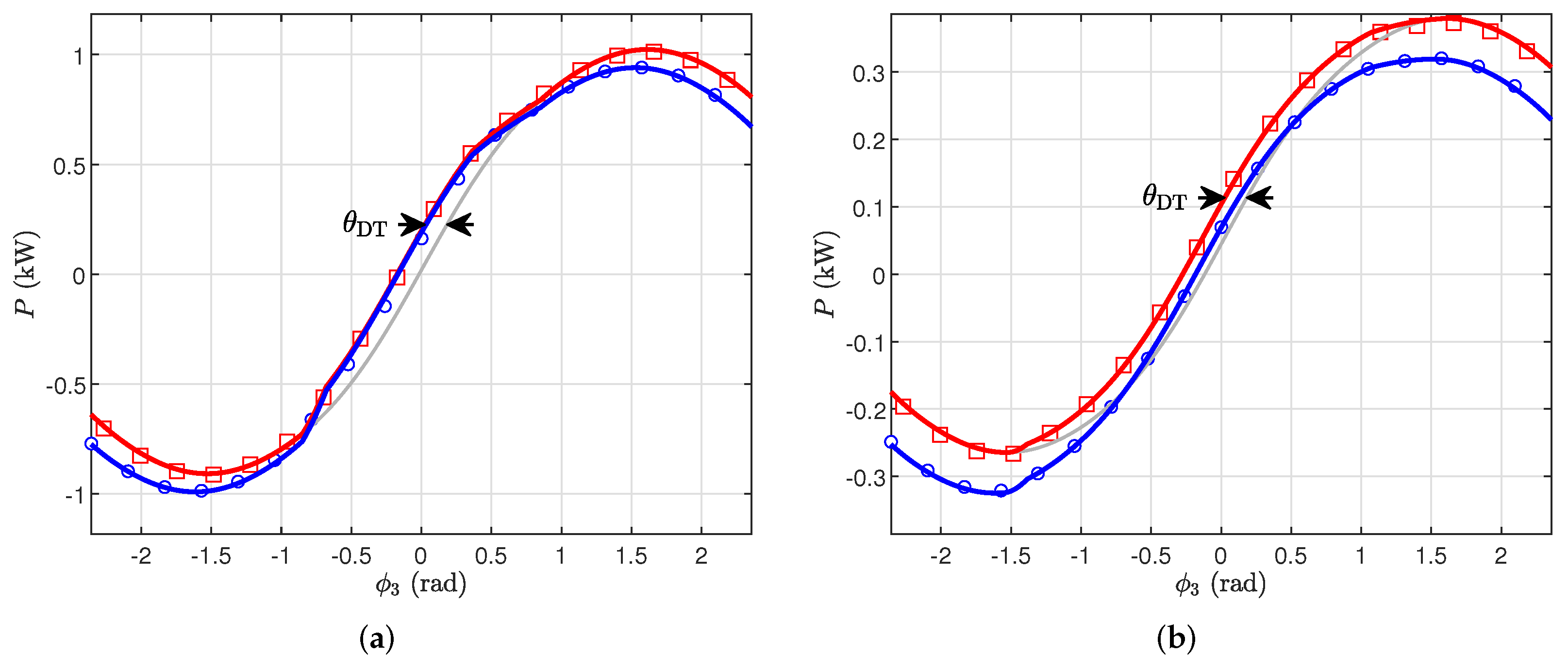
3.2.2. Power Characteristics
4. Conclusions
Author Contributions
Funding
Institutional Review Board Statement
Informed Consent Statement
Data Availability Statement
Conflicts of Interest
Abbreviations
| DAB | Dual Active Bridge |
| SPS | Single Phase Shift modulation |
| TPS | Triple Phase Shift modulation |
| LTP | linear-time-periodic |
| GAM | General Average Modeling |
| ODE | Ordinary Differential Equation |
| ESR | Equivalent Series Resistance |
Appendix A. Fourier Expansions of Switching Signals
| Parameter | Symbol | Value | Unit |
|---|---|---|---|
| DAB max. power | 1500 | ||
| HV voltage | 270 | V | |
| Energy Storage voltage range | 60 to 270 | V | |
| Switching frequency | f | 100 | |
| Auxiliary inductance | 62 | ||
| Lumped inductance | L | 63 | |
| Windings’ lumped resistance | 14 | m | |
| Total lumped resistance | R | 1.5 | |
| Dead-time | 250 | ||
| Transformer winding ratio | n | 1:1 | |
| MOSFET’s gate resistor | 4 | ||
| DC-links capacity | , | 1.5 | |
| DC-links ESRs | , | 5 | m |
| input/output inductance | , | 2.45 | |
| input/output inductance’s resistance | , | 10 | m |
| MOSFET’s channel resistance | 65 | m |
References
- Liu, T.; Yang, X.; Chen, W.; Xuan, Y.; Li, Y.; Huang, L.; Hao, X. High-Efficiency Control Strategy for 10-kV/1-MW Solid-State Transformer in PV Application. IEEE Trans. Power Electron. 2020, 35, 11770–11782. [Google Scholar] [CrossRef]
- Zhao, B.; Song, Q.; Liu, W.; Sun, Y. Overview of dual-active-bridge isolated bidirectional DC-DC converter for high-frequency-link power-conversion system. IEEE Trans. Power Electron. 2014, 29, 4091–4106. [Google Scholar] [CrossRef]
- Shao, S.; Chen, L.; Shan, Z.; Gao, F.; Chen, H.; Sha, D.; Member, S.; Dragičevi, T. Modeling and Advanced Control of Dual-Active-Bridge DC-DC Converters: A Review. IEEE Trans. Power Electron. 2022, 37, 1524–1547. [Google Scholar] [CrossRef]
- Doncker, W.A.A.D.; Divan, D.M. A Three-phase Soft-Switched High-Power-Density dc/dc Converter for High-Power Applications. IEEE Trans. Ind. Appl. 1991, 27, 63–73. [Google Scholar] [CrossRef]
- Segaran, D.; Holmes, D.G.; McGrath, B.P. Enhanced load step response for a bidirectional DCDC converter. IEEE Trans. Power Electron. 2013, 28, 371–379. [Google Scholar] [CrossRef]
- Song, W.; Hou, N.; Wu, M. Virtual Direct Power Control Scheme of Dual Active Bridge DC-DC Converters for Fast Dynamic Response. IEEE Trans. Power Electron. 2018, 33, 1750–1759. [Google Scholar] [CrossRef]
- Gierczynski, M.; Grzesiak, L.M.; Kaszewski, A. A dual rising edge shift algorithm for eliminating the transient dc-bias current in transformer for a dual active bridge converter. Energies 2021, 14, 4264. [Google Scholar] [CrossRef]
- Choi, W.; Lee, M.; Cho, B.H. Fundamental Duty Modulation of Dual-Active-Bridge Converter for Wide-Range Operation. IEEE Trans. Power Electron. 2016, 31, 1416–1423. [Google Scholar] [CrossRef]
- Tong, A.; Hang, L.; Li, G.; Huang, J. Nonlinear characteristics of DAB converter and linearized control method. In Proceedings of the IEEE Applied Power Electronics Conference and Exposition—APEC, San Antonio, TX, USA, 4–8 March 2018; pp. 331–337. [Google Scholar] [CrossRef]
- Gu, Q.; Yuan, L.; Nie, J.; Sun, J.; Zhao, Z. Current Stress Minimization of Dual-Active-Bridge DC-DC Converter within the Whole Operating Range. IEEE J. Emerg. Sel. Top. Power Electron. 2019, 7, 129–142. [Google Scholar] [CrossRef]
- Rolak, M.; Sobol, C.; Malinowski, M.; Stynski, S. Efficiency Optimization of Two Dual Active Bridge Converters Operating in Parallel. IEEE Trans. Power Electron. 2020, 35, 6523–6532. [Google Scholar] [CrossRef]
- Erickson, R.W.; Maksimovic, D. Fundamentals of Power Electronics, 2nd ed.; Springer Science+Business Media, LLC: Berlin/Heidelberg, Germany, 2001; pp. 1–881. [Google Scholar] [CrossRef]
- Sanders, S.R.; Noworolski, J.M.; Liu, X.Z.; Verghese, G.C. Generalized Averaging Method for Power Conversion Circuits. IEEE Trans. Power Electron. 1991, 6, 251–259. [Google Scholar] [CrossRef] [Green Version]
- Erni, I.R.; Vidal-Idiarte, E.; Calvente, J.; Guasch-Pesquer, L. Small Signal Modelling for Variable Frequency Control with Maximum Efficiency Point Tracking of DAB Converter. IEEE Access 2021, 9, 85289–85299. [Google Scholar] [CrossRef]
- Shah, S.S.; Bhattacharya, S. Large & small signal modeling of dual active bridge converter using improved first harmonic approximation. In Proceedings of the IEEE Applied Power Electronics Conference and Exposition—APEC, Tampa, FL, USA, 26–30 March 2017; pp. 1175–1182. [Google Scholar] [CrossRef]
- Uicich, S.; Gauthier, J.Y.; Lin-Shi, X.; Allard, B.; Plat, A. General DAB 1stHarmonic TPS State Space Model. In Proceedings of the IECON 2021—47th Annual Conference of the IEEE Industrial Electronics Society, Toronto, ON, Canada, 13–16 October 2021. [Google Scholar] [CrossRef]
- Mueller, J.A.; Kimball, J.W. An Improved Generalized Average Model of DC-DC Dual Active Bridge Converters. IEEE Trans. Power Electron. 2018, 33, 9975–9988. [Google Scholar] [CrossRef]
- Cupelli, M.; Member, S.; Gurumurthy, S.K.; Monti, A.; Member, S. Modelling and Control of Single Phase DAB based MVDC Shipboard Power System Institute for Automation of Complex Power Systems. In Proceedings of the IECON 2017—43rd Annual Conference of the IEEE Industrial Electronics Society, Beijing, China, 29 October–1 November 2017; Volume 1, pp. 6813–6819. [Google Scholar]
- Bhattacharjee, A.; Batarseh, I. A PI Based Simplified Closed Loop Controller for Dual Active Bridge DC-AC Converter for Standalone Applications. In Proceedings of the 2020 IEEE Applied Power Electronics Conference and Exposition (APEC), New Orleans, LA, USA, 15–19 March 2020. [Google Scholar]
- Zygmund, A. Trigonometrical Series; Dover Publications: New York, NY, USA, 1955. [Google Scholar]
- Tolstov, G. Fourier Series; Dover Publications: New York, NY, USA, 2012. [Google Scholar]
- Lin, J.; Su, M.; Sun, Y.; Li, X.; Xie, S.; Zhang, G.; Blaabjerg, F.; Feng, J. Accurate Loop Gain Modeling of Digitally Controlled Buck Converters. IEEE Trans. Ind. Electron. 2022, 69, 725–739. [Google Scholar] [CrossRef]
- Takagi, K.; Fujita, H. Dynamic Control and Dead-Time Compensation Method of an Isolated Dual-Active-Bridge DC-DC Converter. In Proceedings of the 2015 17th European Conference on Power Electronics and Applications (EPE’15 ECCE-Europe), Geneva, Switzerland, 8–10 September 2015. [Google Scholar] [CrossRef]











Publisher’s Note: MDPI stays neutral with regard to jurisdictional claims in published maps and institutional affiliations. |
© 2022 by the authors. Licensee MDPI, Basel, Switzerland. This article is an open access article distributed under the terms and conditions of the Creative Commons Attribution (CC BY) license (https://creativecommons.org/licenses/by/4.0/).
Share and Cite
Rolak, M.; Twardy, M.; Soból, C. Generalized Average Modeling of a Dual Active Bridge DC-DC Converter with Triple-Phase-Shift Modulation. Energies 2022, 15, 6092. https://doi.org/10.3390/en15166092
Rolak M, Twardy M, Soból C. Generalized Average Modeling of a Dual Active Bridge DC-DC Converter with Triple-Phase-Shift Modulation. Energies. 2022; 15(16):6092. https://doi.org/10.3390/en15166092
Chicago/Turabian StyleRolak, Michał, Maciej Twardy, and Cezary Soból. 2022. "Generalized Average Modeling of a Dual Active Bridge DC-DC Converter with Triple-Phase-Shift Modulation" Energies 15, no. 16: 6092. https://doi.org/10.3390/en15166092
APA StyleRolak, M., Twardy, M., & Soból, C. (2022). Generalized Average Modeling of a Dual Active Bridge DC-DC Converter with Triple-Phase-Shift Modulation. Energies, 15(16), 6092. https://doi.org/10.3390/en15166092

