Experimental Study on the Transient Disturbance Characteristics and Influence Factors of Pantograph–Catenary Discharge
Abstract
:1. Introduction
2. Experimental Setup and Measurement
2.1. Construction Details of the Setup
2.2. Measurement Arrangement
3. Experiment Results
3.1. Basic Characteristics of Discharge Current and EM Radiation
3.2. Effect of Applied Voltage on PCD
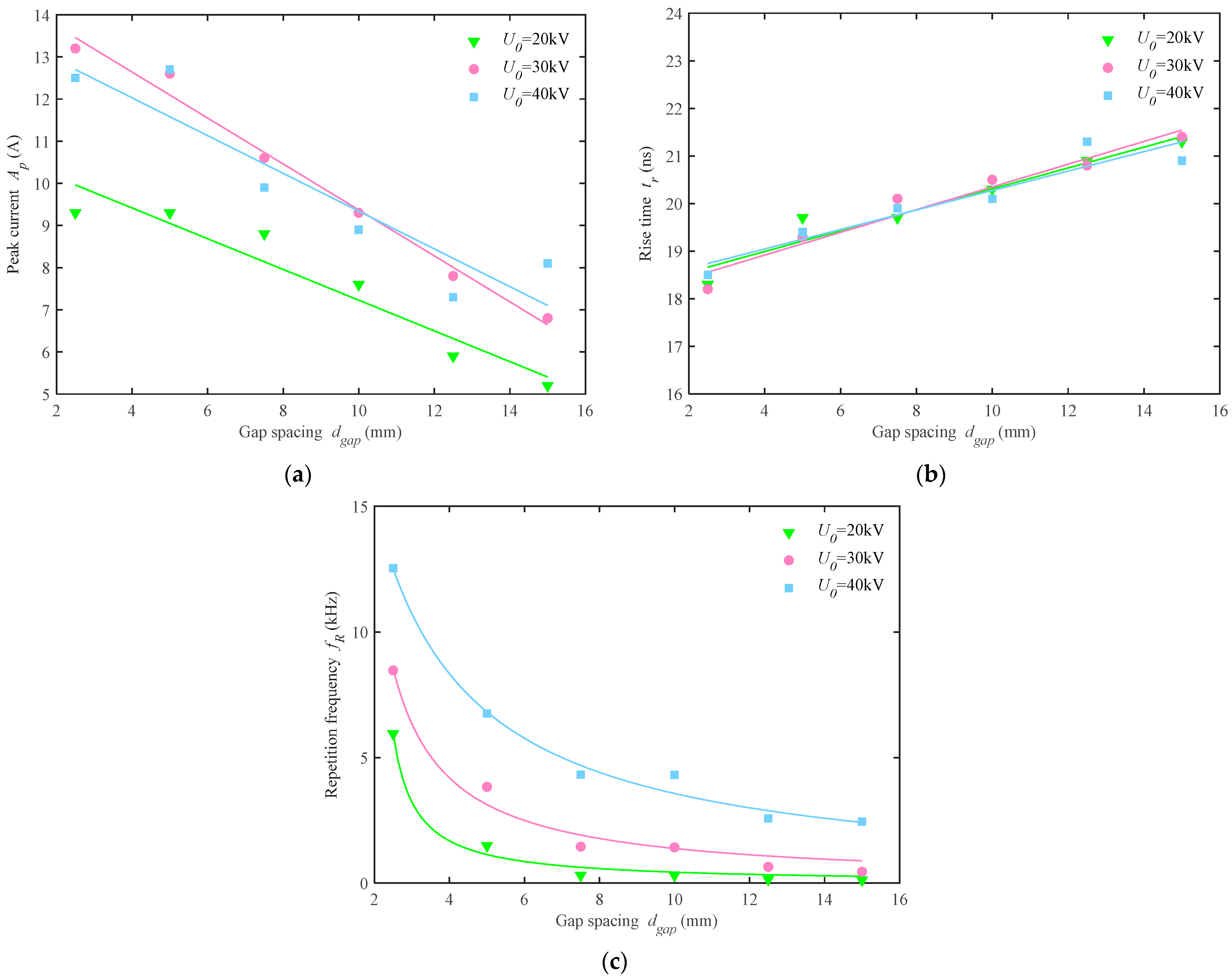
3.3. Effect of Gap Spacing on PCD
3.4. Effect of PC Relative Motion on PCD
3.4.1. Lateral Sliding Motion
3.4.2. Vertical Approaching Motion
4. Discussion
4.1. Correlation between Pulse Frequency, Applied Voltage and Gap Distance
4.2. Analysis on the Characteristics of Electromagnetic Radiation Signals
4.3. Mechanism of PC Relative Motion Affecting PCD Characteristics
5. Conclusions
- The discharge current pulse and the EM radiation pulse have a one-to-one relationship. The repetition frequency increases with the applied voltage and decreases as the gap spacing increases, which obeys the repetition frequency formula given in this paper. The peak current of a single pulse is related to the polarity of the high voltage applied to the catenary wire and has a positive relationship with the applied voltage;
- The characteristics of EM radiation generated by pantograph discharge are analyzed in this paper. It is found that the maximum amplitude in the radiation spectrum changes in a way that is similar to the rise rate of the pulse current under different experimental conditions. On the other hand, the characteristic frequency stays the same no matter what voltage is applied or how far apart the gaps are and is only affected by the polarity of the high voltage on the copper wire;
- The influence mechanism of PC electrodes’ relative motion on transient current and EM radiation was investigated. The different effects of the PC lateral sliding velocity and the PC vertical approaching velocity on the discharge characteristics were determined: the lateral sliding velocity has a negligible effect on the transient discharge, whereas a faster vertical approach will increase the pulse current peak, the rise edge steepness, and the radiation intensity. By comparing with the influence of gap distance, the influence mechanism of approaching velocity on discharge characteristics by affecting the arc length was explained.
Author Contributions
Funding
Institutional Review Board Statement
Informed Consent Statement
Data Availability Statement
Acknowledgments
Conflicts of Interest
References
- Midya, S.; Thottappillil, R. An Overview of Electromagnetic Compatibility Challenges in European Rail Traffic Management System. Transp. Res. Part C Emerg. Technol. 2008, 16, 515–534. [Google Scholar] [CrossRef]
- Mariscotti, A. Critical Review of EMC Standards for the Measurement of Radiated Electromagnetic Emissions from Transit Line and Rolling Stock. Energies 2021, 14, 759. [Google Scholar] [CrossRef]
- Seferi, Y.; Blair, S.M.; Mester, C.; Stewart, B.G. A Novel Arc Detection Method for DC Railway Systems. Energies 2021, 14, 444. [Google Scholar] [CrossRef]
- Li, M.; Wen, Y.; Sun, X.; Wang, G. Analysis of Propagation Characteristics of Electromagnetic Disturbance from the Off-Line of Pantograph-Catenary in High-Speed Railway Viaducts. Chin. J. Electron. 2020, 29, 966–972. [Google Scholar] [CrossRef]
- Wang, Y.; Liu, Z.; Mu, X.; Huang, K.; Wang, H.; Gao, S. An Extended Habedank’s Equation-Based EMTP Model of Pantograph Arcing Considering Pantograph-Catenary Interactions and Train Speeds. IEEE Trans. Power Deliv. 2016, 31, 1186–1194. [Google Scholar] [CrossRef]
- Song, Y.; Liu, Z.; Lu, X. Dynamic Performance of High-Speed Railway Overhead Contact Line Interacting With Pantograph Considering Local Dropper Defect. IEEE Trans. Veh. Technol. 2020, 69, 5958–5967. [Google Scholar] [CrossRef]
- Zhou, H.; Duan, F.; Liu, Z.; Chen, L.; Song, Y.; Zhang, Y. Study on Electric Spark Discharge between Pantograph and Catenary in Electrified Railway. IET Electr. Syst. Trans. 2022, 12, 128–142. [Google Scholar] [CrossRef]
- Ma, L.; Wen, Y.; Marvin, A.; Karadimou, E.; Armstrong, R.; Cao, H. A Novel Method for Calculating the Radiated Disturbance From Pantograph Arcing in High-Speed Railway. IEEE Trans. Veh. Technol. 2017, 66, 8734–8745. [Google Scholar] [CrossRef]
- Leva, S.; Morando, A.P.; Zich, R.E. On the Unwanted Radiated Fields Due to the Sliding Contacts in a Traction System. IEICE Trans. Commun. 2000, 83, 519–524. [Google Scholar]
- Tang, Y.; Zhu, F.; Cheng, Y. For Safer High-Speed Trains: A Comprehensive Research Method of Electromagnetic Interference on Speed Sensors. IEEE Instrum. Meas. Mag. 2021, 24, 96–103. [Google Scholar] [CrossRef]
- Crotti, G.; Femine, A.D.; Gallo, D.; Giordano, D.; Landi, C.; Luiso, M.; Mariscotti, A.; Roccato, P.E. Pantograph-to-OHL Arc: Conducted Effects in DC Railway Supply System. IEEE Trans. Instrum. Meas. 2019, 68, 3861–3870. [Google Scholar] [CrossRef]
- Xu, Z.; Gao, G.; Wei, W.; Yang, Z.; Xie, W.; Dong, K.; Ma, Y.; Yang, Y.; Wu, G. Characteristics of Pantograph-catenary Arc under Low Air Pressure and Strong Airflow. High Volt. 2021, 7, 369–381. [Google Scholar] [CrossRef]
- Midya, S.; Bormann, D.; Larsson, A.; Schutte, T.; Thottappillil, R. Understanding Pantograph Arcing in Electrified Railways—Influence of Various Parameters. In Proceedings of the 2008 IEEE International Symposium on Electromagnetic Compatibility, Detroit, MI, USA, 18–22 August 2008. [Google Scholar]
- Mariscotti, A.; Giordano, D. Experimental Characterization of Pantograph Arcs and Transient Conducted Phenomena in DC Railways. Acta Imeko 2020, 9, 10–17. [Google Scholar] [CrossRef]
- Pous, M.; Silva, F. APD Radiated Transient Measurements Produced by Electric Sparks Employing Time-Domain Captures. In Proceedings of the 2014 International Symposium on Electromagnetic Compatibility, Raleigh, NC, USA, 4–8 August 2014; IEEE: Piscataway, NJ, USA, 2014. [Google Scholar]
- Dudoyer, S.; Deniau, V.; Adriano, R.R.; Slimen, M.N.B.; Rioult, J.J.; Meyniel, B.; Berbineau, M.M. Study of the Susceptibility of the GSM-R Communications Face to the Electromagnetic Interferences of the Rail Environment. IEEE Trans. Electromagn. Compat. 2012, 54, 667–676. [Google Scholar] [CrossRef]
- Dudoyer, S.; Deniau, V.; Ambellouis, S.; Heddebaut, M.; Mariscotti, A. Classification of Transient EM Noises Depending on Their Effect on the Quality of GSM-R Reception. IEEE Trans. Electromagn. Compat. 2013, 55, 867–874. [Google Scholar] [CrossRef]
- Boschetti, G.; Mariscotti, A.; Deniau, V. Assessment of the GSM-R Susceptibility to Repetitive Transient Disturbance. Measurement 2012, 45, 2226–2236. [Google Scholar] [CrossRef]
- Romero, G.; Deniau, V.; Simon, E. Impact of the Measurement Methods on the Characterization of Transient Electromagnetic (EM) Interferences above 2 GHz in a Railway Environment. In Proceedings of the 2019 URSI Asia-Pacific Radio Science Conference (AP-RASC), New Delhi, India, 9–15 March 2019. [Google Scholar]
- Mariscotti, A.; Marrese, A.; Pasquino, N.; Schiano Lo Moriello, R. Time and Frequency Characterization of Radiated Disturbance in Telecommunication Bands Due to Pantograph Arcing. Measurement 2013, 46, 4342–4352. [Google Scholar] [CrossRef]
- Heddebaut, M.; Deniau, V.; Rioult, J. Wideband Analysis of Railway Catenary Line Radiation and New Applications of Its Unintentional Emitted Signals. Meas. Sci. Technol. 2018, 29, 065101. [Google Scholar] [CrossRef]
- Tellini, B.; Macucci, M.; Giannetti, R.; Antonacci, G.A. Conducted and Radiated Interference Measurements in the Line-Pantograph System. IEEE Trans. Instrum. Meas. 2001, 50, 4. [Google Scholar] [CrossRef]
- Midya, S.; Bormann, D.; Schutte, T.; Thottappillil, R. Pantograph Arcing in Electrified Railways—Mechanism and Influence of Various Parameters—Part I: With DC Traction Power Supply. IEEE Trans. Power Deliv. 2009, 24, 1931–1939. [Google Scholar] [CrossRef]
- Midya, S.; Bormann, D.; Schutte, T.; Thottappillil, R. Pantograph Arcing in Electrified Railways—Mechanism and Influence of Various Parameters—Part II: With AC Traction Power Supply. IEEE Trans. Power Deliv. 2009, 24, 1940–1950. [Google Scholar] [CrossRef]
- Wei, W.; Wu, J.; Gao, G.; Gu, Z.; Liu, X.; Zhu, G.; Wu, G. Study on Pantograph Arcing in a Laboratory Simulation System by High-Speed Photography. IEEE Trans. Plasma Sci. 2016, 44, 2438–2445. [Google Scholar] [CrossRef]
- Tellini, B.; Macucci, M.; Giannetti, R.; Antonacci, G.A. Line-Pantograph EMI in Railway Systems. IEEE Instrum. Meas. Mag. 2002, 4, 10–13. [Google Scholar] [CrossRef]
- Li, X.; Zhu, F.; Lu, H.; Qiu, R.; Tang, Y. Longitudinal Propagation Characteristic of Pantograph Arcing Electromagnetic Emission With High-Speed Train Passing the Articulated Neutral Section. IEEE Trans. Electromagn. Compat. 2018, 99, 1–8. [Google Scholar] [CrossRef]
- Jiang, R.; Zheng, Y. Series Arc Fault Detection Using Regular Signals and Time-Series Reconstruction. IEEE Trans. Ind. Electron. 2022. [Google Scholar] [CrossRef]
- Zhan, H.; Duan, S.; Li, C.; Yao, L.; Zhao, L. A Novel Arc Model for Very Fast Transient Overvoltage Simulation in a 252-KV Gas-Insulated Switchgear. IEEE Trans. Plasma Sci. 2014, 42, 3423–3429. [Google Scholar] [CrossRef]
- Zhu, G.; Gao, G.; Wu, G.; Gu, Z.; Wu, J.; Hao, J. Modeling Pantograph–Catenary Arcing. Proc. Inst. Mech. Eng. Part F J. Rail Rapid Transit. 2016, 230, 1687–1697. [Google Scholar] [CrossRef]
- Damas, M.C.; Robiscoe, R.T. Detection of Radio-frequency Signals Emitted by an Arc Discharge. J. Appl. Phys. 1988, 64, 566–574. [Google Scholar] [CrossRef]
- Gao, G.; Yan, X.; Yang, Z.; Wei, W.; Hu, Y.; Wu, G. Pantograph–Catenary Arcing Detection Based on Electromagnetic Radiation. IEEE Trans. Electromagn. Compat. 2019, 61, 983–989. [Google Scholar] [CrossRef]
- Fang, Q.; Jin, M.; Liu, W. Single-Arm Archimedean Spiral Antenna with Broadband Circular Polarization. Int. J. Antenn. Propag. 2021, 2021, 6623468. [Google Scholar] [CrossRef]
- Kim, C.J. Electromagnetic Radiation Behavior of Low-Voltage Arcing Fault. IEEE Trans. Power Deliv. 2009, 24, 416–423. [Google Scholar] [CrossRef]
- Xiong, Q.; Ji, S.; Liu, X.; Li, X.; Zhu, L.; Feng, X.; Gattozzi, A.L.; Hebner, R.E. Electromagnetic Radiation Characteristics of Series DC Arc Fault and Its Determining Factors. IEEE Trans. Plasma Sci. 2018, 46, 4028–4036. [Google Scholar] [CrossRef]
- Midya, S.; Bormann, D.; Schutte, T.; Thottappillil, R. DC Component From Pantograph Arcing in AC Traction System—Influencing Parameters, Impact, and Mitigation Techniques. IEEE Trans. Electromagn. Compat. 2011, 53, 18–27. [Google Scholar] [CrossRef]
- Yuan, Q.; Liu, S.; Zhang, X.; Wu, Z.; Wei, M. The Effect of Approach Speed and Charge Voltage on an Air Discharge. IEEE Trans. Electromagn. Compat. 2010, 52, 985–993. [Google Scholar] [CrossRef]
- Li, Z.; Zhang, B.; He, J.; Xu, Y. Influence of Gap Spacing on the Characteristics of Trichel Pulse Generated in Point-to-Plane Discharge Gaps. Phys. Plasmas 2014, 21, 1–7. [Google Scholar] [CrossRef]
- Guo, F.; Wang, Z.; Zheng, Z.; Zhang, J.; Wang, H. Electromagnetic Noise of Pantograph Arc under Low Current Conditions. Int. J. Appl. Electrom. 2017, 53, 397–408. [Google Scholar] [CrossRef]
- Pommerenke, D. On the Influence of the Speed of Approach, Humidity and Arc Length on ESD Breakdown. In Proceedings of the ESD Forum, Grainau, Germany, 2–3 December 1993. [Google Scholar]
















| Properties | Experimental Materials | |
|---|---|---|
| Carbon Contact Strip | Cu-Ag Alloy Catenary Wire | |
| Type Number | DSA200 | CTA120 |
| Resistivity (Ω·mm2·m−1) | 11.83 | 0.017 7 |
| Density (g·cm−3) | 2.38 | 8.94 |
| Cross-sectional area (mm3) | 700 | 120 |
| Length (m) | 0.4 | 1 |
| Swing Angle | Time Difference (s) | Relative Speed (m/s) |
|---|---|---|
| 15° | 0.33 | 0.79 |
| 30° | 0.18 | 1.47 |
| 45° | 0.12 | 2.15 |
| 60° | 0.1 | 2.62 |
| 90° | 0.07 | 3.64 |
| 135° | 0.06 | 4.52 |
| Controlled Parameters | Symbols | Values |
|---|---|---|
| Applied voltage | 10, 15, 20, 25, 30, 35, 40, 45, 50 kV | |
| Gap spacing | 2.5, 5, 7.5, 10, 12.5, 15 mm | |
| HV electrode polarity | Copper wire as Anode | |
| Copper wire as Cathode | ||
| PC relative velocity | 0, 0.79, 1.47, 2.15, 2.62, 3.64, 4.52 m/s |
| Polarity | Positive | Negative | |||
|---|---|---|---|---|---|
| Gap Spacing dgap | K | V0 | K | V0 | |
| 5.0 mm | 0.0081 | 8.523 | 0.0080 | 8.491 | |
| 7.5 mm | 0.0061 | 9.913 | 0.0061 | 10.122 | |
| 10.0 mm | 0.0057 | 11.497 | 0.0059 | 12.521 | |
| 12.5 mm | 0.0050 | 13.645 | 0.0049 | 13.452 | |
| 15.0 mm | 0.0046 | 16.509 | 0.0043 | 16.489 | |
Publisher’s Note: MDPI stays neutral with regard to jurisdictional claims in published maps and institutional affiliations. |
© 2022 by the authors. Licensee MDPI, Basel, Switzerland. This article is an open access article distributed under the terms and conditions of the Creative Commons Attribution (CC BY) license (https://creativecommons.org/licenses/by/4.0/).
Share and Cite
Jin, M.; Hu, M.; Li, H.; Yang, Y.; Liu, W.; Fang, Q.; Liu, S. Experimental Study on the Transient Disturbance Characteristics and Influence Factors of Pantograph–Catenary Discharge. Energies 2022, 15, 5959. https://doi.org/10.3390/en15165959
Jin M, Hu M, Li H, Yang Y, Liu W, Fang Q, Liu S. Experimental Study on the Transient Disturbance Characteristics and Influence Factors of Pantograph–Catenary Discharge. Energies. 2022; 15(16):5959. https://doi.org/10.3390/en15165959
Chicago/Turabian StyleJin, Mengzhe, Man Hu, Hao Li, Yixuan Yang, Weidong Liu, Qingyuan Fang, and Shanghe Liu. 2022. "Experimental Study on the Transient Disturbance Characteristics and Influence Factors of Pantograph–Catenary Discharge" Energies 15, no. 16: 5959. https://doi.org/10.3390/en15165959
APA StyleJin, M., Hu, M., Li, H., Yang, Y., Liu, W., Fang, Q., & Liu, S. (2022). Experimental Study on the Transient Disturbance Characteristics and Influence Factors of Pantograph–Catenary Discharge. Energies, 15(16), 5959. https://doi.org/10.3390/en15165959
