PV Power Forecasting Based on Relevance Vector Machine with Sparrow Search Algorithm Considering Seasonal Distribution and Weather Type
Abstract
:1. Introduction
- (1)
- The proposed method incorporates the SSA into an RVM to achieve parameter optimization, which takes advantage of SSA’s superior search ability, high precision, and fast convergence. The prediction effect is better than the other outstanding methods.
- (2)
- The relevant influencing factors of PV output power are analyzed in many aspects, and the relevant influencing factors are proved by the Pearson correlation coefficient method and maximum information coefficient analysis, which can be used to effectively determine the main input variables to reduce the complexity of the model.
- (3)
- Using historical power data, the seasonal and weather distribution of PV power is analyzed, and prediction models are established for various seasons to improve the prediction accuracy.
2. Methodology
2.1. Relevance Vector Machine
- (1)
- The RVM can be used not only for single-point but also for probability prediction;
- (2)
- Unlike the SVM, the choice of kernel function of the RVM may not satisfy Mercer’s theorem;
- (3)
- The penalty factor does not need to be set for the RVM. Only the kernel function parameters are set, which significantly simplifies the training process;
- (4)
- The RVM has sparsity characteristic, i.e., the number of relevance vectors in the RVM is less than that of the support vector in the SVM;
- (5)
- For unlearned samples, the generalization ability of the RVM is better than the SVM on the whole.
2.2. Sparrow Search Algorithm (SSA)
- (1)
- The producer and the scrounger are two types of sparrows in the population. The root mean square error (RMSE) is commonly used as the fitness function during the RVM training process, and a smaller fitness value of the sparrow means that it has a richer energy store. The main task of producers is to find areas where food is abundant and to guide whole scroungers into the foraging areas.
- (2)
- When the predator is selected by the sparrow, the individuals start chirping as warning signals. Once the warning value exceeds the safety level, all scroungers are led by the producers to a safe area for foraging.
- (3)
- With each iteration, the identities of the producer and the scrounger change. Their identities can be switchable, and the scroungers with more resources can become the producers. In order to get a better position, the scroungers and producers have to change their position and swap their identities constantly, but the proportion of the two to the total population remains the same.
- (4)
- The fewer the scrounger’s resources, the worse his position in the population. It is easier to travel to other areas to obtain resources;
- (5)
- During a group search, the scrounger will always surround the producer, forage in the vicinity of the producer, and compete with the producer for resources.
3. PV Power Forecasting Model via the SSA-RVM
3.1. SSA-Optimized RVM (SSA-RVM)
- (1)
- Select experimental data.
- (2)
- Set the parameters of the SSA algorithm: ST = 0.6 (the early warning value), SD = 0.2 (the number of the sparrows who perceive the danger), PD = 0.7 (the number of the producers); the initial parameters of the RVM model: = 0.1; = 1.
- (3)
- Initialize the individual positions of the population in the SSA algorithm by calculating the fitness function to determine the current optimal individual and the optimal global individual.
- (4)
- Starting the iteration.
- (5)
- The optimal parameters are output if the constraint is met; otherwise, the iteration continues.
- (6)
- Establish and train the SSA-RVM model.
- (7)
- The prediction experiment is carried out with the SSA-RVM model.
- (8)
- End the program.
3.2. SSA-RVM-Based Forecasting Model
- (1)
- Source and type of dataset
- (2)
- Analysis of influencing factors
- (3)
- Seasonal distribution and weather types characteristics of PV output
- (4)
- Correlation analysis of influencing factors
- (5)
- Data Processing and Evaluation Indexes
- Root Mean Square Error (RMSE)
- Mean Absolute Error (MAE)
- Theil Inequality Coefficient (TIC)
- R-Squared (R2)
- (6)
- Forecasting Model based on SSA-RVM
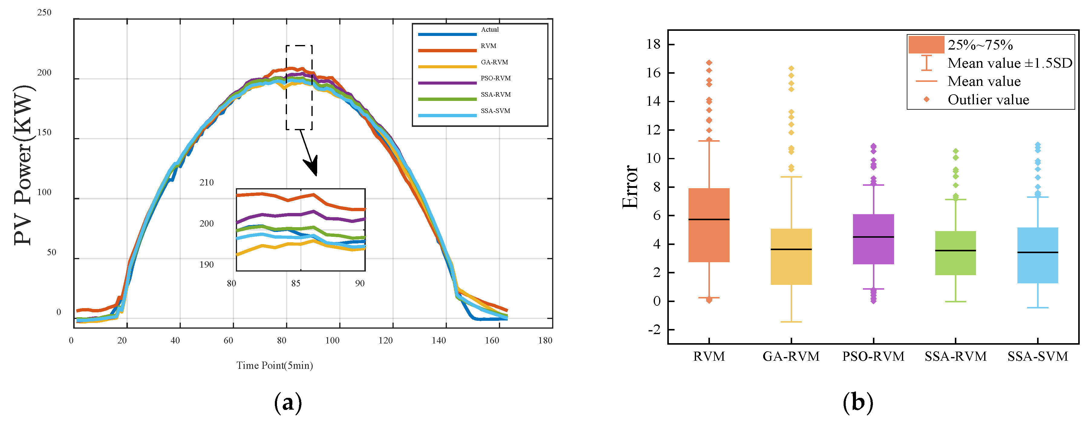
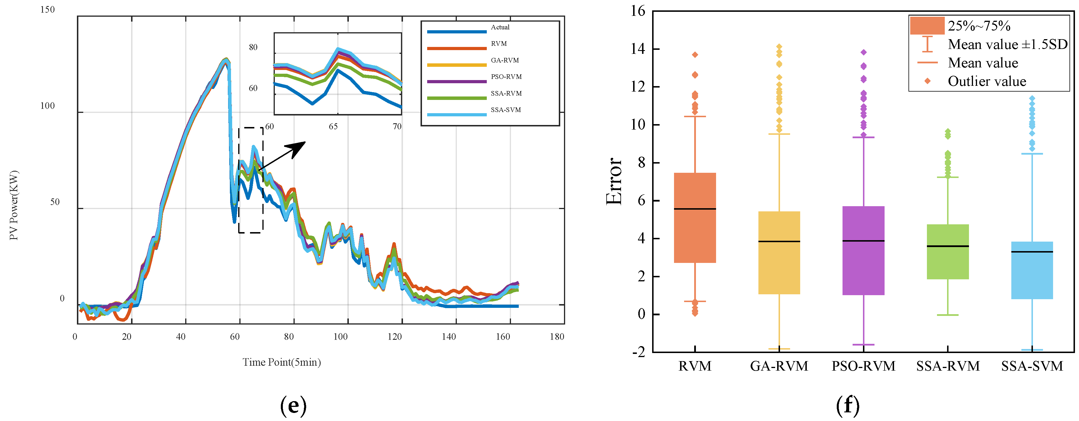
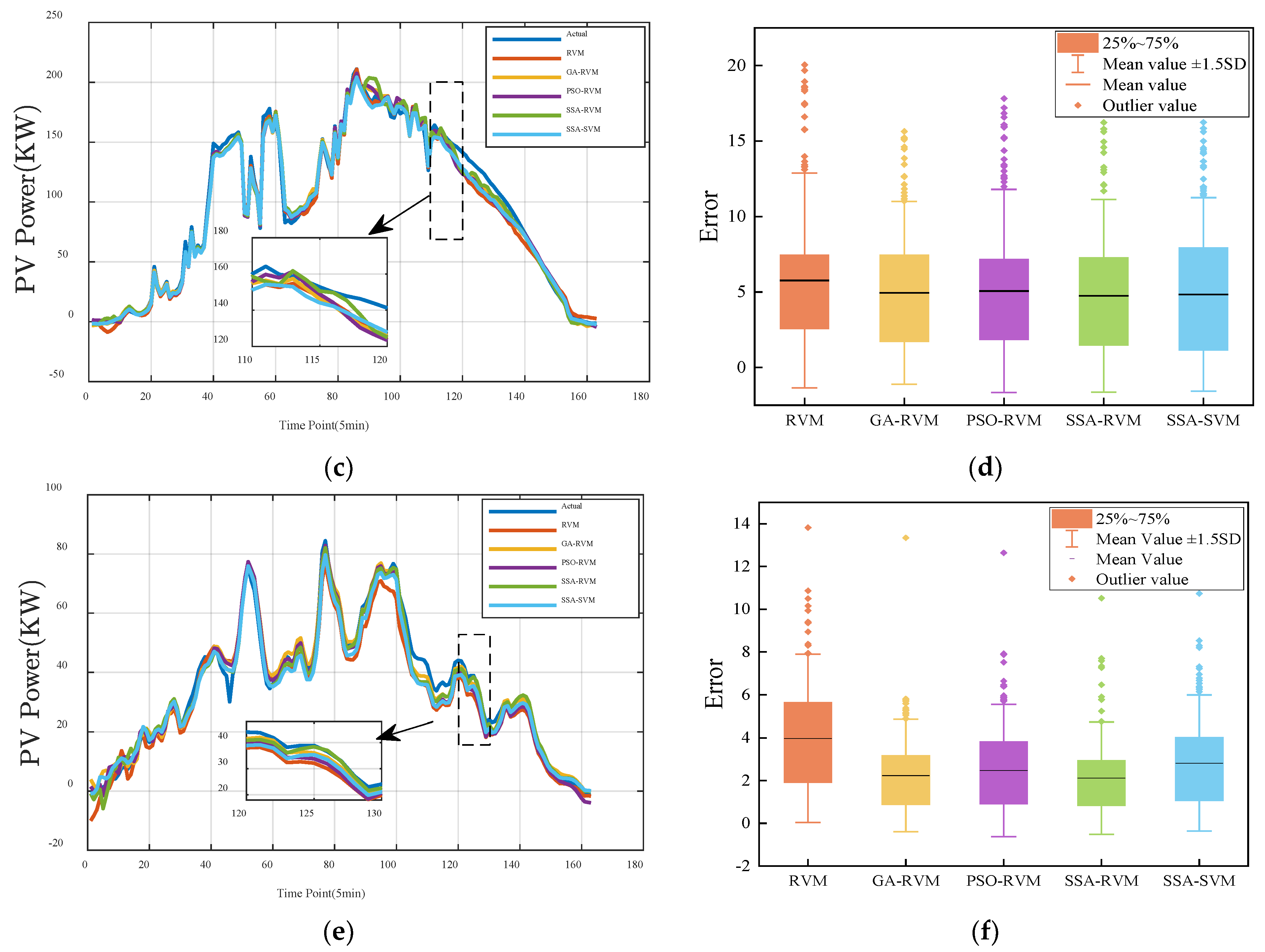
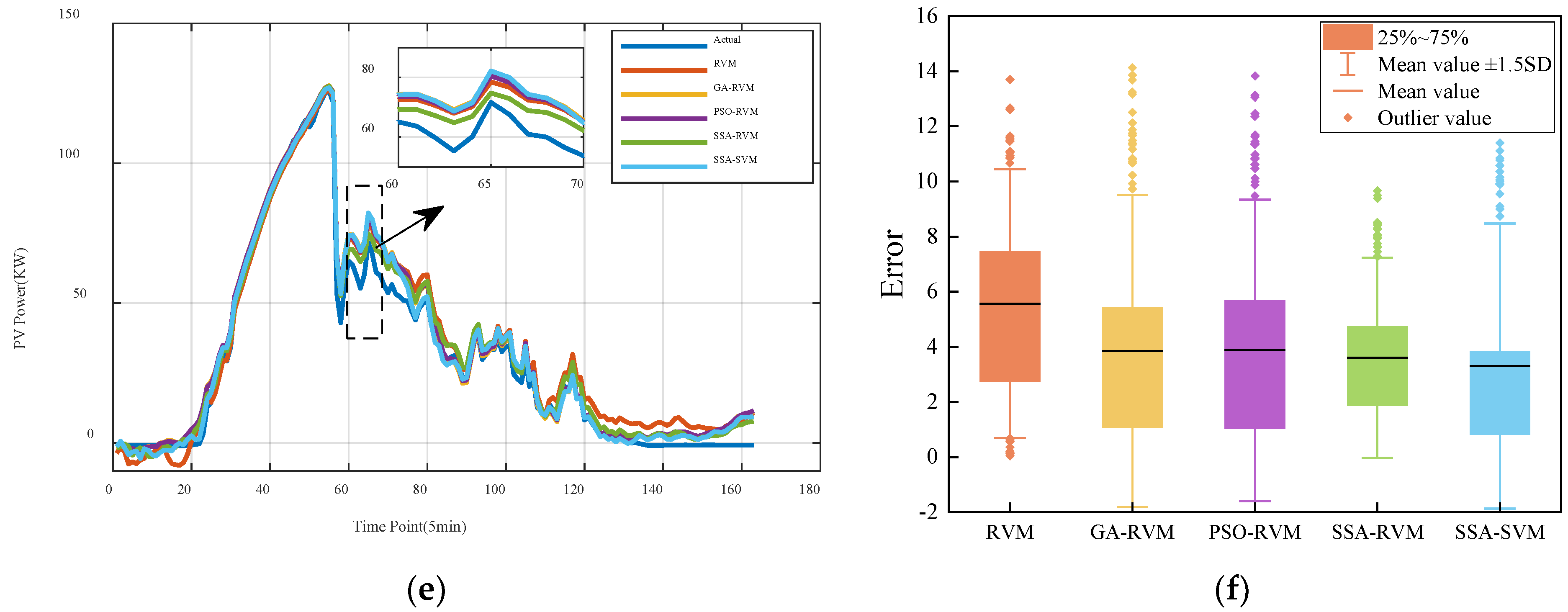
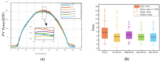
4. Results and Discussion
4.1. Forecasting Results in Summer
4.2. Forecasting Results in Autumn
4.3. Forecasting Results in Winter
4.4. Forecasting Results in Spring
4.5. Calculation Efficiency Analysis
5. Conclusions
Author Contributions
Funding
Institutional Review Board Statement
Informed Consent Statement
Acknowledgments
Conflicts of Interest
References
- Elum, Z.A.; Momodu, A.S. Climate change mitigation and Renewable energy for sustainable development in Nigeria: A discourse approach. Renew. Sustain. Energy Rev. 2017, 2017, 72–80. [Google Scholar] [CrossRef]
- Olabi, A.G.; Abdelkareem, M.A. Renewable energy and climate change. Renew. Sustain. Energy Rev. 2022, 158, 112111. [Google Scholar] [CrossRef]
- Wang, B.; Wang, Q.; Wei, Y.M.; Li, Z.P. Role of Renewable energy in China’s energy security and climate change mitigation: An index decomposition analysis. Renew. Sustain. Energy Rev. 2018, 90, 187–194. [Google Scholar] [CrossRef]
- Luo, Z.M.; He, J.Q.; Hu, S.Y. Driving force model to evaluate China’s PV industry: Historical and future trends. J. Clean. Prod. 2021, 311, 127637. [Google Scholar] [CrossRef]
- Wen, L.; Zhou, K.; Yang, S.; Lu, X. Optimal load dispatch of community microgrid with deep learning based solar power and load forecasting. Energy 2019, 171, 53–65. [Google Scholar] [CrossRef]
- Zhou, Y.; Nanrun Zhou, N.R.; Gong, L.H.; Jiang, M.L. Prediction of PV power output based on similar day analysis, genetic algorithm and extreme learning machine. Energy 2020, 204, 117894. [Google Scholar] [CrossRef]
- Pierro, M.; Bucci, F.; de Felice, M.; Maggioni, E.; Moser, D.; Perotto, A.; Spada, F.; Cornaro, C. Multi-Model Ensemble for day ahead prediction of PV power generation. Sol. Energy 2016, 134, 132–146. [Google Scholar] [CrossRef]
- Si, Z.Y.; Yang, M.; Yixiao Yu, Y.X.; Ding, T.T. PV power forecast based on satellite images considering effects of solar position. Appl. Energy 2021, 302, 117514. [Google Scholar] [CrossRef]
- Boata, R.S.; Gravila, P. Functional fuzzy approach for forecasting daily global solar irradiation. Atmos. Res. 2012, 112, 79–88. [Google Scholar] [CrossRef]
- Sobrina, S.; Sam, K.K.; Nasrudin, A.R. Solar PV generation forecasting methods: A review. Energy Convers. Manag. 2018, 156, 459–497. [Google Scholar] [CrossRef]
- Perpiñán, O.; Lorenzo, E. Analysis and synthesis of the variability of irradiance and PV power time series with the wavelet transform. Sol. Energy 2011, 85, 188–197. [Google Scholar] [CrossRef] [Green Version]
- Miao, S.; Ning, G.; Gu, Y.; Yan, J.; Ma, B. Markov chain model for solar farm generation and its application to generation performance evaluation. J. Clean. Prod. 2018, 186, 905–917. [Google Scholar] [CrossRef]
- Sheng, H.; Xiao, J.; Cheng, Y.; Ni, Q.; Wang, S. Short-Term Solar Power Forecasting Based on Weighted Gaussian Process Regression. IEEE Trans. Indust. Electron. 2018, 65, 300–308. [Google Scholar] [CrossRef]
- Ghadah, A.; Rashid, M. A review and taxonomy of wind and solar energy forecasting methods based on deep learning. Energy AI 2021, 4, 100060. [Google Scholar]
- Moreira, M.O.; Balestrassi, P.P.; Paiva, A.P.; Ribeiro, P.F.; Bonatto, B.D. Design of experiments using artificial neural network ensemble for PV generation forecasting. Renew. Sustain. Energy Rev. 2021, 135, 110450. [Google Scholar] [CrossRef]
- Cervone, G.; Clemente-Harding, L.; Alessandrini, S.; delle Monache, L. Short-term PV power forecasting using artificial neural networks and an analog ensemble. Renew. Energy 2017, 108, 274–286. [Google Scholar] [CrossRef] [Green Version]
- Bouzerdoum, M.; Mellit, A.; Pavan, A.M. A hybrid model (SARIMA-SVM) for short-term power forecasting of a small-scale grid-connected PV plant. Sol. Energy 2013, 98, 226–235. [Google Scholar] [CrossRef]
- Eseye, A.T.; Zhang, J.; Zheng, D. Short-term photovoltaic solar power forecasting using a hybrid Wavelet-PSO-SVM model based on SCADA and Meteorological information. Renew. Energy 2018, 118, 357–367. [Google Scholar] [CrossRef]
- Liu, L.Y.; Liu, D.; Sun, Q.; Li, H.L. Ronald Wennersten, Forecasting Power Output of PV System Using A BP Network Method. Energy Procedia 2017, 142, 780–786. [Google Scholar] [CrossRef]
- Mellit, A.; Pavan, A.M.; Lughi, V. Deep learning neural networks for short-term PV power forecasting. Renew. Energy 2021, 172, 276–288. [Google Scholar] [CrossRef]
- Fu, W.L.; Fang, P.; Wang, K.; Li, Z.X.; Xiong, D.X.; Zhang, K. Multi-step ahead short-term wind speed forecasting approach coupling variational mode decomposition, improved beetle antennae search algorithm-based synchronous optimization and Volterra series model. Renew. Energy 2021, 79, 1122–1139. [Google Scholar] [CrossRef]
- Agga, A.; Abbou, A.; Labbadi, M.; El Houm, Y. Short-term self-consumption PV plant power production forecasts based on hybrid CNN-LSTM, ConvLSTM models. Renew. Energy 2021, 177, 101–112. [Google Scholar] [CrossRef]
- Lin, P.J.; Peng, Z.N.; Lai, Y.F.; Cheng, S.Y.; Chen, Z.C.; Wu, L.J. Short-term power prediction for PV power plants using a hybrid improved Kmeans-GRA-Elman model based on multivariate meteorological factors and historical power datasets. Energy Convers. Manag. 2018, 177, 704–717. [Google Scholar] [CrossRef]
- Chen, X.; Ding, K.; Zhang, J.W.; Han, W.; Liu, Y.; Yang, Z.; Weng, S. Online prediction of ultra-short-term PV power using chaotic characteristic analysis, improved PSO and KELM. Energy 2022, 248, 123574. [Google Scholar] [CrossRef]
- Hassan, M.A.; Bailek, N.; Bouchouicha, K.; Nwokolo, S.C. Ultra-short-term exogenous forecasting of PV power production using genetically optimized nonlinear auto-regressive recurrent neural networks. Renew. Energy 2021, 171, 191–209. [Google Scholar] [CrossRef]
- Ma, X.Y.; Zhang, X.H. A short-term prediction model to forecast power of PV based on MFA-Elman. Energy Rep. 2022, 8, 495–507. [Google Scholar] [CrossRef]
- Wang, K.; Qi, X.X.; Liu, H.D.; Song, J.K. Deep belief network based k-means cluster approach for short-term wind power forecasting. Energy 2018, 165, 840–852. [Google Scholar] [CrossRef]
- Monteiro, V.A.R.; Guimarães, C.G.; Moura, F.A.M.; Albertini, M.R.M.C.; Albertini, M.K. Estimating PV power generation: Performance analysis of artificial neural networks, Support Vector Machine and Kalman filter. Electr. Power Syst. Res. 2017, 143, 643–656. [Google Scholar] [CrossRef]
- Jang, H.S.; Bae, K.Y.; Park, H.-S.; Sung, D.K. Solar Power Prediction Based on Satellite Images and Support Vector Machine. IEEE Trans. Sustain. Energy 2016, 7, 1255–1263. [Google Scholar] [CrossRef]
- Zhou, H.; Zhang, Y.; Yang, L.; Liu, Q. Short-Term PV Power Forecasting Based on Stacking-SVM. In Proceedings of the 9th International Conference on Information Technology in Medicine and Education (ITME), Hangzhou, China, 19–21 October 2018; pp. 994–998. [Google Scholar]
- Van Deventer, W.; Jamei, E.; Thirunavukkarasu, G.S.; Seyedmahmoudian, M.; Soon, T.K.; Horan, B.; Mekhilef, S.; Stojcevski, A. Short-term PV power forecasting using hybrid GASVM technique. Renew. Energy 2019, 140, 367–379. [Google Scholar] [CrossRef]
- Li, L.; Wen, S.; Tseng, M.; Wang, C. Renewable energy prediction: A novel short-term prediction model of PV output power. J. Clean. Product. 2019, 228, 359–375. [Google Scholar] [CrossRef]
- Pan, M.Z.; Li, C.; Gao, R.; Huang, Y.; You, H.; Gu, T.S.; Qin, F.R. PV power forecasting based on a support vector machine with improved ant colony optimization. J. Clean. Prod. 2020, 277, 123948. [Google Scholar] [CrossRef]
- Vapnik, V.N. The Nature of Statistical Learning Theory; Springer: New York, NY, USA, 1995. [Google Scholar]
- Tipping, M.E. Sparse bayesian learning and the relevance vector machine. J. Mach. Learn. Res. 2001, 1, 211–244. [Google Scholar]
- Jia, S.; Ma, B.; Guo, W.; Li, Z.J. A sample entropy based prognostics method for lithium-ion batteries using relevance vector machine. J. Manuf. Syst. 2021, 61, 773–781. [Google Scholar] [CrossRef]
- Simone, M.A.; Anderson, L.A.; Angelo, M.O.S.A.; Osiris, C.J. Relevance vector machine with tuning based on self-adaptive differential evolution approach for predictive modelling of a chemical process. Appl. Math. Model. 2021, 95, 125–142. [Google Scholar]
- Hai, T.; Najah, K.A.B.; Khaled, M.K.; Shamsuddin, S.; Zaher, M.Y. River water level prediction in coastal catchment using hybridized relevance vector machine model with improved grasshopper optimization. J. Hydrol. 2021, 598, 126477. [Google Scholar]
- Zhang, J.H.; Yan, J.; Wu, W.J.; Liu, Y.Q. Research on Short-term Forecasting and Uncertainty of Wind Turbine Power Based on Relevance Vector Machine. Energy Proc. 2019, 158, 229–236. [Google Scholar]
- Ding, J.; Wang, M.L.; Ping, Z.W.; Fu, D.F.; Vassilios, S.V. An integrated method based on relevance vector machine for short-term load forecasting. Eur. J. Oper. Res. 2020, 28, 497–510. [Google Scholar] [CrossRef]
- Xue, J.K.; Shen, B. A novel swarm intelligence optimization approach: Sparrow search algorithm. Syst. Sci. Control Eng. 2020, 8, 22–34. [Google Scholar] [CrossRef]
- Gai, J.B.; Zhong, K.Y.; Du, X.J.; Yan, K.; Shen, J.X. Detection of gear fault severity based on parameter-optimized deep belief network using sparrow search algorithm. Measurement 2021, 185, 110079. [Google Scholar] [CrossRef]
- Ahmed, F.; Turki, M.A.; Hegazy, R.; Dalia, Y. Optimal energy management of micro-grid using sparrow search algorithm. Energy Rep. 2022, 8, 758–773. [Google Scholar]
- Hu, Y.; Lian, W.; Han, Y.; Dai, S.; Zhu, H. A seasonal model using optimized multi-layer neural networks to forecast power output of PV plants. Energies 2018, 11, 326. [Google Scholar] [CrossRef] [Green Version]
- Barnard, C.J.; Sibly, R.M. Producers and scroungers: A general model and its application to captive flocks of house sparrows. Anim. Behav. 1981, 29, 543–550. [Google Scholar] [CrossRef]
- Barta, Z.; Liker, A.; Monus, F. The effects of predation risk on the use of social foraging tactics. Anim. Behav. 2004, 67, 301–308. [Google Scholar] [CrossRef]
- Lendvai, A.Z.; Barta, Z.; Liker, A.; Bokony, V. The effect of energy reserves on social foraging: Hungry sparrows scrounge more. Proc. Biol. Sci. 2014, 271, 2467–2472. [Google Scholar] [CrossRef] [Green Version]












| Influencing Factors | PCC | MIC |
|---|---|---|
| Global Horizontal Radiation | 0.9913 | 0.9723 |
| Diffuse Horizontal Radiation | 0.3700 | 0.4162 |
| Weather Temperature Celsius | 0.5359 | 0.2983 |
| Weather Relative Humidity | −0.5022 | 0.2587 |
| Wind Speed | −0.0219 | 0.1737 |
| Wind Direction | −0.0846 | 0.0929 |
| Time Lags | ACC | Time Lags | ACC |
|---|---|---|---|
| 1 | 0.9283 | 7 | 0.7300 |
| 2 | 0.8815 | 8 | 0.6973 |
| 3 | 0.8614 | 9 | 0.6623 |
| 4 | 0.8324 | 10 | 0.6344 |
| 5 | 0.7961 | 11 | 0.5969 |
| 6 | 0.7656 | 12 | 0.5490 |
| Weather Type | MODEL | RMSE (kW) | MAE (kW) | R2 | TIC |
|---|---|---|---|---|---|
| RVM | 6.9325 | 5.3288 | 0.9889 | 0.0276 | |
| GA-RVM | 5.3906 | 4.1634 | 0.9935 | 0.0213 | |
| Sunny | PSO-RVM | 5.7086 | 4.4314 | 0.9925 | 0.0226 |
| SSA-RVM | 5.1316 | 3.6530 | 0.9940 | 0.0202 | |
| SSA-SVM | 5.2811 | 3.9255 | 0.9937 | 0.0209 | |
| RVM | 7.4578 | 5.7612 | 0.9866 | 0.0323 | |
| GA-RVM | 6.3765 | 4.9414 | 0.9903 | 0.0275 | |
| Cloudy | PSO-RVM | 6.7581 | 5.0653 | 0.9892 | 0.0291 |
| SSA-RVM | 6.3663 | 4.7442 | 0.9905 | 0.0273 | |
| SSA-SVM | 6.4478 | 4.8360 | 0.9897 | 0.0280 | |
| RVM | 4.7526 | 3.9706 | 0.9517 | 0.0589 | |
| GA-RVM | 2.8344 | 2.2353 | 0.9828 | 0.0340 | |
| Rainy | PSO-RVM | 3.2106 | 2.4682 | 0.9788 | 0.0389 |
| SSA-RVM | 2.7407 | 2.1136 | 0.9835 | 0.0331 | |
| SSA-SVM | 3.5181 | 2.8168 | 0.9712 | 0.0432 |
| Weather Type | Model | RMSE (kW) | MAE (kW) | R2 | TIC |
|---|---|---|---|---|---|
| RVM | 6.8008 | 5.7367 | 0.9915 | 0.0250 | |
| GA-RVM | 4.9616 | 3.6361 | 0.9955 | 0.0184 | |
| Sunny | PSO-RVM | 5.0965 | 4.4755 | 0.9955 | 0.0186 |
| SSA-RVM | 4.2693 | 3.5480 | 0.9968 | 0.0157 | |
| SSA-SVM | 4.2874 | 3.4277 | 0.9967 | 0.0158 | |
| RVM | 7.6165 | 6.0149 | 0.9745 | 0.0547 | |
| GA-RVM | 4.4167 | 3.2078 | 0.9911 | 0.0315 | |
| Cloudy | PSO-RVM | 4.4294 | 3.3071 | 0.9912 | 0.0317 |
| SSA-RVM | 3.5339 | 2.6331 | 0.9945 | 0.0253 | |
| SSA-SVM | 4.3035 | 3.3919 | 0.9919 | 0.0307 | |
| RVM | 6.4150 | 6.0769 | 0.9000 | 0.1055 | |
| GA-RVM | 5.7107 | 4.8494 | 0.9310 | 0.0973 | |
| Rainy | PSO-RVM | 5.5373 | 4.9849 | 0.9181 | 0.0930 |
| SSA-RVM | 2.2454 | 1.8673 | 0.9869 | 0.0398 | |
| SSA-SVM | 2.7156 | 2.2540 | 0.9788 | 0.0484 |
| Weather Type | Model | RMSE (kW) | MAE (kW) | R2 | TIC |
|---|---|---|---|---|---|
| RVM | 4.4131 | 3.3833 | 0.9952 | 0.0212 | |
| GA-RVM | 3.3025 | 2.3766 | 0.9972 | 0.0160 | |
| Sunny | PSO-RVM | 4.1156 | 3.1589 | 0.9958 | 0.0199 |
| SSA-RVM | 2.3598 | 1.5401 | 0.9985 | 0.0115 | |
| SSA-SVM | 2.7264 | 1.6975 | 0.9981 | 0.0133 | |
| RVM | 5.9463 | 4.5177 | 0.9837 | 0.0428 | |
| GA-RVM | 5.7761 | 4.3252 | 0.9845 | 0.0418 | |
| Cloudy | PSO-RVM | 5.9209 | 4.6648 | 0.9840 | 0.0426 |
| SSA-RVM | 4.8491 | 3.6379 | 0.9890 | 0.0352 | |
| SSA-SVM | 6.1136 | 4.6421 | 0.9829 | 0.0440 | |
| RVM | 6.4418 | 5.5682 | 0.9677 | 0.0668 | |
| GA-RVM | 5.3828 | 3.8496 | 0.9785 | 0.0556 | |
| Rainy | PSO-RVM | 5.3135 | 3.8768 | 0.9788 | 0.0549 |
| SSA-RVM | 4.3384 | 3.6039 | 0.9854 | 0.0452 | |
| SSA-SVM | 4.7662 | 3.3036 | 0.9831 | 0.0496 |
| Weather Type | Model | RMSE (kW) | MAE (kW) | R2 | TIC |
|---|---|---|---|---|---|
| RVM | 5.1153 | 3.6873 | 0.9933 | 0.0239 | |
| GA-RVM | 4.9403 | 3.3115 | 0.9939 | 0.0229 | |
| Sunny | PSO-RVM | 4.3451 | 2.5504 | 0.9952 | 0.0202 |
| SSA-RVM | 3.7202 | 2.5052 | 0.9966 | 0.0172 | |
| SSA-SVM | 4.0737 | 2.7668 | 0.9959 | 0.0189 | |
| RVM | 9.9411 | 6.9481 | 0.9656 | 0.0624 | |
| GA-RVM | 9.0461 | 6.9949 | 0.9739 | 0.0555 | |
| Cloudy | PSO-RVM | 8.8935 | 7.2184 | 0.9733 | 0.0547 |
| SSA-RVM | 6.1017 | 4.5915 | 0.9872 | 0.0378 | |
| SSA-SVM | 7.9497 | 5.7871 | 0.9781 | 0.0495 | |
| RVM | 11.8802 | 10.8441 | 0.6729 | 0.3122 | |
| GA-RVM | 9.8578 | 8.7714 | 0.7838 | 0.1962 | |
| Rainy | PSO-RVM | 4.4644 | 3.6290 | 0.8983 | 0.1171 |
| SSA-RVM | 2.9969 | 2.5280 | 0.9633 | 0.0699 | |
| SSA-SVM | 5.6112 | 4.6563 | 0.8576 | 0.1497 |
| Season Type | VECTORS | |
|---|---|---|
| SVM | RVM | |
| Summer | 3527 | 198 |
| Autumn | 3225 | 177 |
| Winter | 2785 | 153 |
| Spring | 3418 | 186 |
| Methods | RVM | PSO-RVM | GA-RVM | SSA-SVM | SSA-RVM |
|---|---|---|---|---|---|
| Training time(s) | 0.6169 | 6.4930 | 7.8612 | 5.0761 | 5.0182 |
| Testing time(s) | 2.03 × 10−³ | 0.0045 | 0.0057 | 0.1875 | 0.0029 |
Publisher’s Note: MDPI stays neutral with regard to jurisdictional claims in published maps and institutional affiliations. |
© 2022 by the authors. Licensee MDPI, Basel, Switzerland. This article is an open access article distributed under the terms and conditions of the Creative Commons Attribution (CC BY) license (https://creativecommons.org/licenses/by/4.0/).
Share and Cite
Ma, W.; Qiu, L.; Sun, F.; Ghoneim, S.S.M.; Duan, J. PV Power Forecasting Based on Relevance Vector Machine with Sparrow Search Algorithm Considering Seasonal Distribution and Weather Type. Energies 2022, 15, 5231. https://doi.org/10.3390/en15145231
Ma W, Qiu L, Sun F, Ghoneim SSM, Duan J. PV Power Forecasting Based on Relevance Vector Machine with Sparrow Search Algorithm Considering Seasonal Distribution and Weather Type. Energies. 2022; 15(14):5231. https://doi.org/10.3390/en15145231
Chicago/Turabian StyleMa, Wentao, Lihong Qiu, Fengyuan Sun, Sherif S. M. Ghoneim, and Jiandong Duan. 2022. "PV Power Forecasting Based on Relevance Vector Machine with Sparrow Search Algorithm Considering Seasonal Distribution and Weather Type" Energies 15, no. 14: 5231. https://doi.org/10.3390/en15145231
APA StyleMa, W., Qiu, L., Sun, F., Ghoneim, S. S. M., & Duan, J. (2022). PV Power Forecasting Based on Relevance Vector Machine with Sparrow Search Algorithm Considering Seasonal Distribution and Weather Type. Energies, 15(14), 5231. https://doi.org/10.3390/en15145231

