Next Article in Journal
A Practical Approach to Launch the Low-Cost Monitoring Platforms for Nearly Net-Zero Energy Buildings in Vietnam
Next Article in Special Issue
Online Failure Diagnostic in Full-Bridge Module for Optimum Setup of an IGBT-Based Multilevel Inverter
Previous Article in Journal
Interpretative Review of Diesel Spray Penetration Normalized by Length and Time of Breakup (Similarity Law of Diesel Spray and Its Application)
Previous Article in Special Issue
LCL Filter Parameter and Hardware Design Methodology for Minimum Volume Considering Capacitor Lifetimes
 
 
Font Type:
Arial Georgia Verdana
Font Size:
Aa Aa Aa
Line Spacing:
Column Width:
Background:
Article

Networked Microgrid Energy Management Based on Supervised and Unsupervised Learning Clustering

by
Navid Salehi
,
Herminio Martínez-García
* and
Guillermo Velasco-Quesada
Electronic Engineering Department, Universitat Politècnica de Catalunya—BarcelonaTech (UPC), 08019 Barcelona, Spain
*
Author to whom correspondence should be addressed.
Energies 2022, 15(13), 4915; https://doi.org/10.3390/en15134915
Submission received: 13 June 2022 / Revised: 27 June 2022 / Accepted: 30 June 2022 / Published: 5 July 2022

Abstract

:
Networked microgrid (NMG) is a novel conceptual paradigm that can bring multiple advantages to the distributed system. Increasing renewable energy utilization, reliability and efficiency of system operation and flexibility of energy sharing amongst several microgrids (MGs) are some specific privileges of NMG. In this paper, residential MGs, commercial MGs, and industrial MGs are considered as a community of NMG. The loads’ profiles are split into multiple sections to evaluate the maximum load demand (MLD). Based on the optimal operation of each MG, the operating reserve (OR) of the MGs is calculated for each section. Then, the self-organizing map as a supervised and a k-means algorithm as an unsupervised learning clustering method is utilized to cluster the MGs and effective energy-sharing. The clustering is based on the maximum load demand of MGs and the operating reserve of dispatchable energy sources, and the goal is to provide a more efficient system with high reliability. Eventually, the performance of this energy management and its benefits to the whole system is surveyed effectively. The proposed energy management system offers a more reliable system due to the possibility of reserved energy for MGs in case of power outage variation or shortage of power.

1. Introduction

Microgrids (MGs) are inevitably a prominent part of the power system due to the capability of diminishing concerns related to rapid energy growth. Therefore, an optimal design of MGs has been one of the main issues between researchers and electricians. An optimal design can bring the following benefits to the system: lower investment cost, lower maintenance and operation cost, lower power loss, and higher reliability [1,2]. These benefits can be achieved by utilizing an energy management system (EMS) to coordinate the production and consumption energies optimally. After the achieved successes in MGs performance, the idea of networked MG (NMG) came up to enhance MGs’ operation in grid-connected and specifically in an isolated system [3]. Although EMS in NMG is more complicated in comparison with individual MG, the flexibility of energy sharing amongst several MGs can offer extra benefits to the system. Increasing the reliability of the system, specifically in an isolated operation mode, and the possibility of power management in an interactive manner between MGs to provide the demand are some of the advantages that can be gained in NMG [4,5].
Besides MG and NMG, another structure to handle distributed energy resources (DERs) is known as a virtual power plant (VPP). Although a VPP is able to integrate demand response, renewable energy generation, and storage energy into the energy storage system (ESS) in the same way as MGs, there are some particular features in the association of VPP [6,7]:
-
VPPs often are considered as grid-connected systems,
-
Due to the non-isolated operation mode of VPP, the absence of ESS is possible in VPP,
-
Due to the dependency of VPP on information technology and data analysis, a wide variety of energy resources can combine regardless of their deployment distance,
-
Due to no particular restricted regulation being associated with VPP, they can participate in the wholesale trade market.
Like MGs and NMGs, the energy management system plays a crucial role in coordinating the power flows of various power generation units and power demand units in VPP. Several energy management strategies are proposed in the literature. Centralized and decentralized control are the most common strategies; however, distributed control schemes have recently received more attention [8,9]. A review of the cooperation and operation of microgrid clusters is performed in [10]. Several aspects of the interconnected MGs are investigated in this reference, such as control and energy-management strategies and architecture configurations in terms of layout, power conversion technology, and line frequency technology. Furthermore, energy trading and suitable energy-market designs for microgrids cluster implementation are addressed. In [11], the microgrid as a single entity and its possible interactions with external grids is defined. Moreover, the possible multi-microgrid architectures are defined in terms of layout, line technology, and interface technology. Parallel connected microgrids with an external grid, a grid of a series of interconnected microgrids, and mixed parallel-series connection are three layout architectures analyzed in [11]. Eventually, a comparison between the different architectures is performed from the aspect of cost, scalability, protection, reliability, stability, communications, and business models. A scalable and reconfigurable hybrid AC/DC microgrid clustering architecture is surveyed in [12]. The proposed energy networking unit (ENU) is used to interface the AC and DC subgrid in a single hybrid microgrid and also facilitates the connection with the external power grid. The ENU-based hybrid microgrid clustering architecture provides scalability, reconfigurability, and modularity architecture. Consequently, this architecture could realize flexible AC/DC interconnection between microgrids by the same converter modules with fewer power conversion units.
Based on the proposed energy management systems, various control methods for NMG and VPP have been presented recently. Blockchain technologies are utilized in [13] to optimize the financial and physical operations of power distribution systems by providing a powerful and reliable path for launching distributed data storage and management. The socioeconomic requirements of transactive energy management at the power distribution level are examined by blockchain technology. In addition, secure optimal energy transactions between networked microgrids and the local distribution grid are presented in [13].
A two-stage energy management strategy for networked microgrids with high renewable penetration is developed in [14]. In the first stage, a hierarchical hybrid control method is utilized for networked microgrids to minimize the system operation cost. In the second stage, the components in microgrids are adjusted optimally in order to minimize the imbalance cost between day-ahead and real-time markets. A cooperative energy management optimization based on distributed model predictive control (MPC) in grid-connected NMG is conducted in [15]. In this scheme, a virtual two-hierarchy NMG structure including MGs and distributed energy resources (DERs) is proposed such that all the DERs represent a virtual MG (VMG) as an upper level and the MGs belong to the lower level. The VMG can exchange power with the utility grid, and MGs at the lower level have to use VMS to share the energy. In [16], a three-level planning model for optimal sizing of networked microgrids is suggested. This research considers a trade-off between resilience and costs in the form of three levels. The first level is employed to tackle the normal sizing problem, while a time-coupled AC optimal power flow (OPF) is utilized to capture stability properties for accurate decision-making. The second and third levels are combined as a defender-attacker-defender model. First, the suggested adaptive genetic algorithm (AGA) is utilized to generate attacking plans that capture load profile uncertainty and contingencies for load shedding maximization. Then, a multi-objective optimization problem is suggested to obtain a trade-off between cost and resilience.
A novel cooperative MPC-based energy management for urban districts consisting of multiple microgrids is proposed in [17]. The proposed energy management coordinates the available flexibility sources of microgrids in order to obtain a common goal. MGs employ an MPC-based EMS to optimally control the loads and generation devices. The distributed proposed coordination algorithm guarantees cooperation amongst the microgrids. In [18], a community-based multi-party microgrid in grid-connected and islanded mode with different structures and a unique operating point is discussed. An iterative bi-level model simulates the interaction between the community microgrid operator and multiple parties for deriving good enough market-clearing results during the microgrid’s normal operation status. A multi-agent framework for the energy optimization of NMG is proposed in [19]. The game theory optimization model is applied to this paper in order to optimize the capacity configuration of the agents. In [20], a comprehensive overview of a multi-agent system-(MAS) based distributed coordinated control in NMG is presented.
This paper proposes a novel control strategy for NMG based on MGs clustering. The residential, commercial, and industrial MGs with various load patterns are involved in the NMG. The NMG is structured as a star connection such that all MGs are connected to the VPP. Therefore, the whole system can operate in either grid-connected or isolated mode. A similar structure is presented in [15]. However, the collaborative MGs are considered as a single cluster. In this paper, MGs are clustered by employing two different clustering algorithms. The k-means and self-organizing map (SOM) algorithms are two well-known methods of unsupervised and supervised learning clustering. The MGs clustering is based on the maximum load demand (MLD) and operating reserve (OR) of dispatchable energy sources such as diesel generators (DGs) for each time step. By determining the MG clusters, the EMS is responsible for supplying the demand economically. By this approach, the MLD of the MGs in a particular cluster can be met by the operating reserve of the dispatchable energy sources. Consequently, the reliability of the system increased significantly, and it could be concluded that the peak load alleviation in the clustered MG results in efficient changes in the design of MGs from the capital, replacement, and maintenance and operation (M&O) cost perspective. The clustering approach makes the performance of EMS more efficient, especially in large-scale NMG, by concentrating on some specific MGs.
The rest of this paper is organized as follows: in Section 2, the system configuration of the NMG is presented. Moreover, the k-means algorithm and SOM clustering method are discussed in this section. In Section 2.4, the applied control strategy and EMS is analyzed. The simulation results are presented in Section 3, and a comparative analysis is performed in Section 4. The paper ends with a discussion of conclusions reached.

2. System Configuration, Clustering Methods, and System Operation

2.1. System Configuration

The NMG under study in this paper involves three residential MGs, two commercial MGs, three industrial MGs, and a VPP. In [21], different types of NMG configurations with their potential pros and cons are reviewed. Star-connected NMG, ring-connected NMG, and mesh-connected NMG are the three usual configurations in NMG. As shown in Figure 1, the star-connected configuration is used for the NMG. In this configuration, all MGs are connected to the VPP as the central point at the point of common coupling (PCC). Therefore, the power transaction amongst MGs can be realized through the VPP. As mentioned, the VPPs are usually grid-connected systems. Therefore, the discussed configuration is connected to the main grid through the VPP.
Moreover, each MG consists of renewable energy sources (RESs) like photovoltaic (PV) and wind turbine (WT) conventional energy sources such as DG, and energy storage systems (ESSs) like batteries. In addition, the VPP is considered to consist of only renewable energies like PV and WT, a battery bank, and a group of loads. In Table 1, the component size of each MG is listed. The HOMER is utilized to obtain the size of components. To this end, the load profiles and geographical location are introduced to evaluate the renewable resources production.

2.2. K-Means Clustering Algorithm

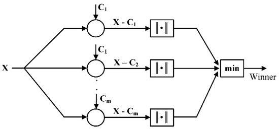
Unsupervised learning is one of the significant problems in artificial intelligence and machine learning. Clustering-based methods, feature extraction-based methods, and artificial neural network-(ANN) based methods are the three main approaches to unsupervised learning. The k-means problem is one of the well-known algorithms widely used in clustering [22]. In this algorithm, the data are clustered based on similarity. It has to be noted that similarity is a general concept, and it can be inferred as distance, size, etc. Figure 2 illustrates the k-means algorithm. As can be seen from Figure 2, each data x is compared with the center of clusters, and the norm of the vector is calculated by the norm function block to evaluate the distance of data and the cluster’s center. In this paper, the Euclidean norm is utilized as a distance metric. Therefore, the clustering problem can be stated as [22]:
min   E = 1 N i = 1 N x i c k ,
where N is the number of data, x is data, k is the number of clusters, and ck is the center of the cluster. To minimize this problem, the k-means algorithm assumed that the following equation is established for each cluster Sk with the center of ck:
c k = 1 | S k | x S k x
The k-means algorithm employs two steps to solve the problem: the competition step and the update step. Each observation is assigned to the cluster in the competition step with the nearest mean. In addition, in the update step, the clusters’ centers are updated with the mean value of the cluster’s members. This algorithm proceeds in an iterative interaction until the converging by observing no significant change in the clusters. This algorithm does not guarantee the finding of optimum solutions. In addition, the initial random cluster’s centers have a great effect on the final results. However, the k-means algorithm can provide a simple solution without mathematical complexity.

2.3. Self-Organizing Map Algorithm

The self-organizing map (SOM) is one of the artificial neural networks that, by employing supervised machine learning techniques, is widely used in clustering applications and dimension reduction of high-dimensional data [23]. Figure 3 presents the SOM algorithm structure. As observed, each data x is applied to the lattice involving a network of neurons. This stage is similar to the k-means algorithm at the phase of competition in order to evaluate the winner neuron. However, in SOM, the other neurons depending on the distance from the winner neuron will be stimulated as well. Eventually, the vector quantizer unit declares the winner neuron.
Three main phases are involved in designing a SOM, the competitive, cooperative, and adaptation phases. In the competitive phase, the winner neuron is evaluated by comparing the similarity of data and neurons. In the cooperative phase, the effect of the winner neuron on other neurons is evaluated. The neurons with a smaller distance from the winner neuron are stimulated more in comparison with most far neurons. To this end, the Gaussian function is an appropriate function to assess the stimulation of neurons [23]:
h i , j ( x , t ) = exp ( 1 2 d i , j σ ( t ) 2 ) ,
where i is the index of the winner neuron, j is the index of other neurons, d is the distance of the winner neuron with others, and σ is the standard deviation.
The adaptation phase is based on the Kohonen Learning Rule. This rule determines the clusters’ centers based on the winner neuron and the adjacent stimulation neurons as follows:
ω i ( t + 1 ) = ω i ( t ) η h i , j ( x , t ) × ( x ω i ( t ) ) ,
where ω is the cluster’s center, η is the Kohonen learning rate usually equal to 0.01, and the other parameters are defined in (3).

2.4. Control Strategy and Energy Management Algorithm

As mentioned, the proposed control strategy in this paper is based on MGs clustering by means of unsupervised and supervised algorithms. It means the MGs are clustered according to their similarities such that the MGs with higher load demand can be supplied by the operating reserve of dispatchable energy producers such as DGs and micro-gas turbines. Therefore, the MGs’ similarities are maximum load demand and the operating reserve of dispatchable energy producers of each MG at each time slot. With this control strategy, the system’s reliability will increase, and the size of energy production units will decrease as well. The proposed control strategy consists of three steps:
(1)
Load and energy generation units analysis in a certain time step;
(2)
MGs clustering by k-means and SOM algorithm;
(3)
MGs clustering optimization by EMS.

2.4.1. Load and Energy Generation Units Analysis

In each time step, the load and energy generation units are analyzed in order to evaluate the maximum load demand (MLD) and operating reserve (OR). MLD and OR amounts of each MG are essential data used by unsupervised and supervised learning clustering methods to cluster the MGs. The operating reserve is the difference between electric load and operating capacity. The maximum load for each time step can be obtained according to the MGs’ load profile in Figure 4. However, to obtain the OR of dispatchable energy generation units, the optimal operation of each individual MG is evaluated according to the control strategy illustrated in Figure 5.
As it can be seen from Figure 5, the optimal values of DG and Batteries of each MG are calculated by the PSO algorithm. In this control strategy, the loads are preferably met by renewable energies. However, in case of demanding more energy, the DG and battery power are used considering the state of charge (SoC) of batteries.

2.4.2. MGs Clustering by K-Means and SOM Algorithm

According to the MLD and OR of each MG obtained in the previous step, the k-means and SOM algorithms cluster the MGs in a manner that the MGs with higher MLD are clustered with the MGs with higher operating reserve. Therefore, the reliability of the system increases significantly due to the possibility of supplying the MLD by the operating reserve of the clustered MGs. The x for both supervised and unsupervised clustering methods introduced in this paper is considered (MLD, OR). However, the SOM algorithm is able to do the clustering by considering ultra-multi-criteria due to mapping the high dimensional data to reduce data. In order to enhance the performance of clustering algorithms, the MLD is normalized by considering the peak load (PL) of the load profile, as follows:
M L D ¯ = M L D P L
Furthermore, the clustering algorithms are based on similarities, and the similarity meters are the distance between the data. Euclidean distance is utilized for the clustering algorithms in this paper. Therefore, the ORs are applied to the clustering algorithm by means of the following equation:
O R ¯ = 1 O R O R max
The maximum number of clusters is theoretically equal to the number of MGs. However, in this case, MGs operate individually. In this paper, the clusters’ number is determined by considering the various load patterns in the NMG, i.e., three clusters.

2.5. MGs Clustering Optimization by EMS

An EMS is applied to each cluster in order to coordinate the MGs in an optimal manner. The EMS is responsible for supplying loads of the MGs involved in a particular cluster cost-effectively. Therefore, the performance of the EMS is based on the minimization of power generation cost functions. The optimization problem can be defined by the objective function below:
min   C F = min { C F ( i C n P V i ) + C F ( i C n W T i ) + C F ( i C n D G i ) + C F ( i C n B A T i ) }
This minimization is performed for the MGs involved in cluster Cn. The cost functions of the generation units are presented in [24,25]. Moreover, the optimization problem in MG applications is constrained to technical and practical considerations. These constraints are stated below:
i C n P D G i + i C n P B A T i + i C n P P V i + i C n P W T i + V P P = i C n P L o a d i
P D G min P D G P D G max
0 P B A T P D G max
S o C min S o C S o C max
(8) represents the power balance in the clustered MG. In (9) and (10), the power restriction of diesel generators and batteries is presented, respectively. In (11), the state of charge (SoC) restriction of batteries is stated. In addition, PV and WT also produce energy as non-dispatchable generators.
The minimization problem in (7) is solved using the particle swarm optimization (PSO) algorithm. Amongst different heuristic optimization methods, PSO proposes a robust and reliable solution over a short-time calculation. In the PSO algorithm, the particles are identified by position and velocity. At the initial phase, the particles’ position and par best position are initialized. Then over the several iterations, the particles’ position and velocity will be updated such that the particles propel toward the global best.
To apply the PSO, the introduced objective function (OF) in (7) has to convert to a closed-form formulation:
O F = { C F ( i C n D G i ) + C F ( i C n B A T i ) } × ( 1 + α × P B V ) ,
where PBV is power balance violation:
P B V = max [ 1 ( i C n P D G i + P B A T i ) i C n ( P L o a d i P P V i P W T i ) ,   0 ]
The power balance violation is considered as a multiplicative term for the OF equation expressed in (12). In addition, α is the co-state variable that determines the amount of penalty imposed on the OF in the case of existing PBV. The co-state α can be defined as a constant value, or it could be defined as a variable value in an adaptive problem. Here, α is considered as a constant value equal to 1000.
Consequently, the EMS determines the optimal operation of each generation unit in the corresponding cluster. And the same happens to other clusters.

3. Results Analysis

In order to analyze the proposed control strategy, the simulations are performed in MATLAB. In this paper, to reduce the burden of calculations, the simulation time step is considered to be 1 h. For instance, for the first step, the load analysis is carried out to determine the MLD of each MG. Figure 4 shows the load profile of MGs. As can be seen, the load patterns are different for residential, commercial, and industrial MGs. Therefore, in each time step, the maximum load power of the MGs is distinct. Afterward, according to the optimal operation of MGs, the operating reserve of the MGs is evaluated. In Table 2, the MLD and OR of the MGs for 24 h are presented.
According to the evaluated MLD and OR, the k-means and SOM algorithms are applied to cluster the MGs. Because [MLD, OR] are applied to both k-means and SOM, therefore the obtained results of clustering for these methods are similar. However, as mentioned, the SOM algorithm is potential to cluster the MGs by considering more criteria such as the produced power of each power generation unit, SoC, and depth of discharge (DoD) of batteries.
Higher MLD and higher OR define the similarity criteria of clustered MGs. In this simulation, the number of clusters is considered to be three due to the existing three different load patterns. The k-means and SOM clustering results for 24 h are presented in Table 3. As can be seen from Table 3, over the 24 h simulation period, 9 different clusters appear. Figure 6 illustrates the MGs clustering based on the defined similarities for the time step 1, 8, and 16.
Eventually, an EMS is exploited for each cluster to optimize the operation of MGs. By this optimization approach, the MLD of MGs can be met by the operating reserve of the clustered MGs even if the MGs’ power generation units are not capable of supplying the load. In other words, the reliability of the system increases significantly by clustering the MGs such that MGs with high MLD are grouped by MGs with high OR. To this end, the OR of individual MGs is compared with clustered MGs in next section. Moreover, increasing the reliability of the whole system can result in increasing the efficiency and enhancing the performance of NMG due to the possibility of reducing the component size of the power generation units and consequently reducing the capital, replacement, and M&O cost. However, the possibility of the effect of clustering on component sizing is not analyzed in this paper.
Furthermore, the virtual microgrid operates as an energy exchange node in this configuration. However, in the case of an existence shortage of energy or extra energy, the energy can be traded by the main grid.
Consequently, the proposed control strategy provides a reliable operation in NMG to supply the load. In this paradigm, even by accidentally losing the energy generators, the loads can supply efficiently by utilizing the operating reserve of adjacent MGs in the clustered MG.

4. A Comparative Analysis

The SOM clustering is able to cluster the MGs based on the multi-criteria considered in NMG. However, in this paper, the results of k-means and SOM are almost similar due to clustering 8 MGs and considering two criteria (MLD and OR) for both clustering methods. The PSO is utilized as an optimization method to obtain the optimal operation of MGs. The clustered MGs are able to exchange energy via VPP, and the extra energy or energy shortage can be compensated by VPP. In [14,15], the same structure is proposed to share the energy of MGs in the lower level via virtual MG as an upper level. In [10], an algorithm is proposed to allow multiple MGs to exchange their excess energy when one or more MGs require a supply of energy. The scalable networked microgrids in [13] are able to offer reserves for their peers to reduce the probability of power outages in the utility grid. Table 4 presents a comparison of proposed energy management.
Moreover, in order to investigate the NMG operation from the reliability point of view, Figure 7, Figure 8 and Figure 9 are provided to compare the operating reserve of MGs in individual operation mode and NMG operation mode. To this end, the OR is illustrated for the first time step. As can be seen from Figure 7, Figure 8 and Figure 9, in clustered operating mode, the MLD is the maximum MLD of MGs that existed in the cluster. However, the OR is the summation of OR that existed in the cluster.

5. Conclusions

This paper applies supervised and unsupervised learning clustering to an NMG consisting of residential, commercial, and industrial MGs. By means of the SOM and k-means algorithm, the MGs are clustered such that the higher peak load MGs collaborate with higher operating reserve MGs in order to supply the loads efficiently. This control strategy can also affect component sizing and, consequently, the capital, replacement, and M&O cost of components by reducing the MGs’ peak loads. The employed EMS offers several advantages to the system: the clustered MGs can perform effectively in this control strategy due to providing reliable and efficient operation for the clustered MGs even if losing power generation units accidentally; the efficiency, security, and dynamic in the proposed networked microgrids is improved due to contributing the MGs in case of encountering DER output variation; the system can expedite the restoration of electricity services in case of facing extreme event disruptions such as natural disasters and massive cyber or physical attacks.

Author Contributions

Conceptualization, N.S.; methodology, N.S., H.M.-G.; software, N.S.; validation, N.S., H.M.-G. and G.V.-Q.; investigation, N.S.; data curation, N.S., H.M.-G.; writing—original draft preparation, N.S.; writing—review and editing, N.S., H.M.-G. and G.V.-Q.; supervision, H.M.-G. and G.V.-Q. All authors have read and agreed to the published version of the manuscript.

Funding

Grant PGC2018-098946-B-I00 funded by: MCIN/AEI/10.13039/501100011033/ and by ERDF ERDF A way of making Europe.

Institutional Review Board Statement

Not applicable.

Informed Consent Statement

Not applicable.

Data Availability Statement

Not applicable.

Acknowledgments

The authors would like to thank the Spanish Ministerio de Ciencia, Innovación y Universidades (MICINN)-Agencia Estatal de Investigación (AEI) and the European Regional Development Funds (ERDF), by grant PGC2018-098946-B-I00 funded by MCIN/AEI/10.13039/501100011033/ and by ERDF A way of making Europe.

Conflicts of Interest

The authors declare no conflict of interest.

Nomenclature

The following abbreviations are used in this article:
AGAAdaptive Genetic Algorithm
ANNArtificial Neural Network
DERDistributed Energy Resource
DGDistributed Generation
DoDDepth of Discharge
EMSEnergy Management System
ENUEnergy Networking Unit
ESSEnergy Storage System
MASMulti-agent System
MGMicrogrid
MILPMixed Integer Linear Programming
MLDMaximum Load Demand
M&OMaintenance and Operation
MPCModel Predictive Control
NMGNetworked Microgrid
OFObjective Function
OPFOptimal Power Flow
OROperating Reserve
PBVPower Balance Violation
PCCPoint of Common Coupling
PSOParticle Swarm Optimization
PVPhotovoltaic
RESRenewable Energy Source
SOMSelf-organizing Map
SoCState of Charge
VPPVirtual Power Plant
WTWind Turbine

References

  1. Lou, G.; Gu, W.; Wang, J.; Sheng, W.; Sun, L. Optimal design for distributed secondary voltage control in islanded microgrids: Communication topology and controller. IEEE Trans. Power Syst. 2018, 34, 968–981. [Google Scholar] [CrossRef]
  2. Bracco, S.; Delfino, F.; Pampararo, F.; Robba, M.; Rossi, M. A mathematical model for the optimal operation of the University of Genoa Smart Polygeneration Microgrid: Evaluation of technical, economic and environmental performance indicators. Energy 2014, 64, 912–922. [Google Scholar] [CrossRef]
  3. Li, Z.; Shahidehpour, M.; Aminifar, F.; Alabdulwahab, A.; Al-Turki, Y. Networked microgrids for enhancing the power system resilience. Proc. IEEE 2017, 105, 1289–1310. [Google Scholar] [CrossRef]
  4. Schneider, K.P.; Miller, C.; Laval, S.; Du, W.; Ton, D. Networked Microgrid Operations: Supporting a Resilient Electric Power Infrastructure. IEEE Electrif. Mag. 2020, 8, 70–79. [Google Scholar] [CrossRef]
  5. Ahmadi, S.E.; Rezaei, N.; Khayyam, H. Energy management system of networked microgrids through optimal reliability-oriented day-ahead self-healing scheduling. Sustain. Energy Grids Netw. 2020, 23, 100387. [Google Scholar] [CrossRef]
  6. Saboori, H.; Mohammadi, M.; Taghe, R. Virtual power plant (VPP), definition, concept, components and types. In Proceedings of the 2011 Asia-Pacific Power and Energy Engineering Conference, Wuhan, China, 25–28 March 2011; pp. 1–4. [Google Scholar]
  7. Othman, M.M.; Hegazy, Y.G.; Abdelaziz, A.Y. A Review of virtual power plant definitions, components, framework and optimization. Int. Electr. Eng. J. 2015, 6, 2010–2024. [Google Scholar]
  8. Salehi, N.; Martinez-Garcia, H.; Velasco-Quesada, G.; Guerrero, J.M. A Comprehensive Review of Control Strategies and Optimization Methods for Individual and Community Microgrids. IEEE Access 2022, 10, 15935–15955. [Google Scholar] [CrossRef]
  9. Querini, P.L.; Chiotti, O.; Fernádez, E. Cooperative energy management system for networked microgrids. Sustain. Energy Grids Netw. 2020, 23, 100371. [Google Scholar] [CrossRef]
  10. Bandeiras, F.; Pinheiro, E.; Gomes, M.; Coelho, P.; Fernandes, J. Review of the cooperation and operation of microgrid clusters. Renew. Sustain. Energy Rev. 2020, 133, 110311. [Google Scholar] [CrossRef]
  11. Bullich-Massague, E.; Díaz-González, F.; Aragüés-Peñalba, M.; Girbau-Llistuella, F.; Olivella-Rosell, P.; Sumper, A. Microgrid clustering architectures. Appl. Energy 2018, 212, 340–361. [Google Scholar] [CrossRef]
  12. Yu, H.; Niu, S.; Shao, Z.; Jian, L. A scalable and reconfigurable hybrid AC/DC microgrid clustering architecture with decentralized control for coordinated operation. Int. J. Electr. Power Energy Syst. 2022, 135, 107476. [Google Scholar] [CrossRef]
  13. Li, Z.; Bahramirad, S.; Paaso, A.; Yan, M.; Shahidehpour, M. Blockchain for decentralized transactive energy management system in networked microgrids. Electr. J. 2019, 32, 58–72. [Google Scholar] [CrossRef]
  14. Wang, D.; Qiu, J.; Reedman, L.; Meng, K.; Lai, L.L. Two-stage energy management for networked microgrids with high renewable penetration. Appl. Energy 2018, 226, 39–48. [Google Scholar] [CrossRef]
  15. Xing, X.; Xie, L.; Meng, H. Cooperative energy management optimization based on distributed MPC in grid-connected microgrids community. Int. J. Electr. Power Energy Syst. 2018, 107, 186–199. [Google Scholar] [CrossRef]
  16. Wang, Y.; Rousis, A.O.; Strbac, G. A Three-Level Planning Model for Optimal Sizing of Networked Microgrids Considering a Trade-Off Between Resilience and Cost. IEEE Trans. Power Syst. 2021, 36, 5657–5669. [Google Scholar] [CrossRef]
  17. Parisio, A.; Wiezorek, C.; Kyntaja, T.; Elo, J.; Strunz, K.; Johansson, K.H. Cooperative MPC-based energy management for networked microgrids. IEEE Trans. Smart Grid 2017, 8, 3066–3074. [Google Scholar] [CrossRef]
  18. Li, J.; Liu, Y.; Wu, L. Optimal operation for community-based multi-party microgrid in grid-connected and islanded modes. IEEE Trans. Smart Grid 2016, 9, 756–765. [Google Scholar] [CrossRef]
  19. Jin, S.; Wang, S.; Fang, F. Game theoretical analysis on capacity configuration for microgrid based on multi-agent system. Int. J. Electr. Power Energy Syst. 2020, 125, 106485. [Google Scholar] [CrossRef]
  20. Han, Y.; Zhang, K.; Li, H.; Coelho, E.A.A.; Guerrero, J.M. MAS-based distributed coordinated control and optimization in microgrid and microgrid clusters: A comprehensive overview. IEEE Trans. Power Electron. 2017, 33, 6488–6508. [Google Scholar] [CrossRef] [Green Version]
  21. Islam, M.; Yang, F.; Amin, M. Control and optimisation of networked microgrids: A review. IET Renew. Power Gener. 2021, 15, 1133–1148. [Google Scholar] [CrossRef]
  22. Sinaga, K.P.; Yang, M.-S. Unsupervised K-means clustering algorithm. IEEE Access 2020, 8, 80716–80727. [Google Scholar] [CrossRef]
  23. Vesanto, J.; Alhoniemi, E. Clustering of the self-organizing map. IEEE Trans. Neural Netw. 2000, 11, 586–600. [Google Scholar] [CrossRef] [PubMed]
  24. Ramli, M.A.; Bouchekara, H.; Alghamdi, A.S. Optimal sizing of PV/wind/diesel hybrid microgrid system using multi-objective self-adaptive differential evolution algorithm. Renew. Energy 2018, 121, 400–411. [Google Scholar] [CrossRef]
  25. Fueyo, N.; Sanz, Y.; Rodrigues, M.; Montañés, C.; Dopazo, C. The use of cost-generation curves for the analysis of wind electricity costs in Spain. Appl. Energy 2011, 88, 733–740. [Google Scholar] [CrossRef]
Figure 1. Star-Connected Configuration of NMG.
Figure 1. Star-Connected Configuration of NMG.
Energies 15 04915 g001
Figure 2. K-means algorithm.
Figure 2. K-means algorithm.
Energies 15 04915 g002
Figure 3. SOM algorithm.
Figure 3. SOM algorithm.
Energies 15 04915 g003
Figure 4. Residential, commercial, and industrial load pattern. (a) Residential load profile, (b) Commercial load profile, (c) Industrial load profile.
Figure 4. Residential, commercial, and industrial load pattern. (a) Residential load profile, (b) Commercial load profile, (c) Industrial load profile.
Energies 15 04915 g004aEnergies 15 04915 g004b
Figure 5. Control strategy of individual MGs.
Figure 5. Control strategy of individual MGs.
Energies 15 04915 g005
Figure 6. K-means and SOM clustering for time steps 1, 8, and 16. (a) Time step 1, (b) Time step 8, (c) Time step 16.
Figure 6. K-means and SOM clustering for time steps 1, 8, and 16. (a) Time step 1, (b) Time step 8, (c) Time step 16.
Energies 15 04915 g006
Figure 7. MLD and OR of MG1 and MG2 in individual and clustered operating mode.
Figure 7. MLD and OR of MG1 and MG2 in individual and clustered operating mode.
Energies 15 04915 g007
Figure 8. MLD and OR of MG3, MG5, MG6, and MG8 in individual and clustered operating mode.
Figure 8. MLD and OR of MG3, MG5, MG6, and MG8 in individual and clustered operating mode.
Energies 15 04915 g008
Figure 9. MLD and OR of MG4 and MG7 in individual and clustered operating mode.
Figure 9. MLD and OR of MG4 and MG7 in individual and clustered operating mode.
Energies 15 04915 g009
Table 1. Component size of MGs and VPP.
Table 1. Component size of MGs and VPP.
PV (kW)WT (kW)DG (kW)Battery (kWh)
MG16.526.829
MG28.3139.138
MG316.841557
MG429.101786
MG52001256
MG620.602436
MG714.10292
MG81902330
VPP152-10
Table 2. Maximum load demand (MLD) and operating reserve (OR) of MGs for different step time.
Table 2. Maximum load demand (MLD) and operating reserve (OR) of MGs for different step time.
123456789101112131415161718192021222324
MG1MLD0.320.30.290.30.971.51.711.41.251.261.331.671.991.531.211.231.122.123.633.182.091.340.930.58
OR6.486.56.516.55.835.35.095.45.555.544.575.134.815.275.595.575.684.683.173.624.715.465.876.22
MG2MLD0.420.40.380.41.291.992.271.861.661.671.772.222.652.041.611.641.492.824.834.232.781.781.240.77
OR8.688.78.728.77.817.116.837.247.447.437.336.886.457.067.497.467.616.284.274.876.327.327.868.33
MG3MLD1.251.351.31.361.281.943.354.225.135.044.635.44.965.094.985.355.336.937.628.197.997.216.033.07
OR13.713.613.713.613.71311.610.79.879.9610.39.6109.91109.659.678.077.386.817.017.798.9711.9
MG4MLD222222248888899986542222
OR151515151515151399999888911121315151515
MG5MLD1.51.51.51.51.51.51.54666666.56.5665431.51.51.51.5
OR10.510510.510.510.510.510.58666665.55.56678910.510.510.510.5
MG6MLD12.512.512.512.512.512.5131313.213.213.213.213.213.213.213.213.2131313131312.712.5
OR11.511.511.511.511.511.5111110.810.810.810.810.810.810.810.810.8111111111111.311.5
MG7MLD15151515151515.515.515.715.715.715.715.715.715.715.715.715.515.515.515.515.515.215
OR14141414141413.513.513.313.313.313.313.313.313.313.313.313.513.513.513.513.513.814
MG8MLD10101010101011.211.211.711.212.512.512.512.512.512.5131312.512.512.511.21010
OR13131313131311.811.811.311.810.510.510.510.510.510.5101010.510.510.511.81313
Table 3. K-means and SOM clustering results.
Table 3. K-means and SOM clustering results.
123456789101112131415161718192021222324
Cluster 1MG1
MG2
MG1
MG2
MG1
MG2
MG1
MG2
MG1
MG2
MG1
MG2
MG1
MG2
MG1
MG2
MG5
MG1
MG2
MG5
MG1
MG2
MG5
MG1
MG2
MG5
MG1
MG2
MG5
MG1
MG2
MG5
MG1
MG2
MG5
MG1
MG2
MG5
MG1
MG2
MG5
MG1
MG2
MG5
MG1
MG2
MG3
MG5
MG1
MG2
MG3
MG1
MG2
MG3
MG1
MG2
MG3
MG1
MG2
MG3
MG1
MG2
MG3
MG1
MG2
MG3
Cluster 2MG3
MG5
MG6
MG8
MG3
MG5
MG6
MG8
MG3
MG5
MG6
MG8
MG3
MG5
MG6
MG8
MG5
MG6
MG8
MG5
MG6
MG8
MG3
MG5
MG6
MG8
MG3
MG6
MG8
MG3
MG4
MG6
MG3
MG4
MG6
MG3
MG4
MG6
MG8
MG3
MG4
MG6
MG8
MG3
MG4
MG6
MG8
MG3
MG4
MG3
MG4
MG3
MG4
MG3
MG4
MG6
MG8
MG4
MG6
MG8
MG5
MG6
MG8
MG5
MG6
MG8
MG5
MG6
MG8
MG5
MG6
MG8
MG5
MG6
MG5
MG6
Cluster 3MG4
MG7
MG4
MG7
MG4
MG7
MG4
MG7
MG3
MG4
MG7
MG3
MG4
MG7
MG4
MG7
MG4
MG7
MG7
MG8
MG7
MG8
MG7MG7MG7MG6
MG7
MG8
MG6
MG7
MG8
MG6
MG7
MG8
MG7MG7MG4
MG7
MG4
MG7
MG4
MG7
MG4
MG7
MG4
MG7
MG8
MG4
MG7
MG8
Table 4. Energy management comparison.
Table 4. Energy management comparison.
k-MeansSOMRef [15]Ref [14]Ref [10]Ref [13]
Num. of MGs + VPP8 + 18 + 13 + 13 + 157
Num. of clusters331121
Optimization methodPSOPSOLogarithmic-barrier method Mixed integer linear programming Linear programmingBlockchain technologies
Operation modeGrid-connected & isolatedGrid-connected & isolatedGrid-connectedGrid-connectedGrid-connected & isolated Grid-connected
Publisher’s Note: MDPI stays neutral with regard to jurisdictional claims in published maps and institutional affiliations.

Share and Cite

MDPI and ACS Style

Salehi, N.; Martínez-García, H.; Velasco-Quesada, G. Networked Microgrid Energy Management Based on Supervised and Unsupervised Learning Clustering. Energies 2022, 15, 4915. https://doi.org/10.3390/en15134915

AMA Style

Salehi N, Martínez-García H, Velasco-Quesada G. Networked Microgrid Energy Management Based on Supervised and Unsupervised Learning Clustering. Energies. 2022; 15(13):4915. https://doi.org/10.3390/en15134915

Chicago/Turabian Style

Salehi, Navid, Herminio Martínez-García, and Guillermo Velasco-Quesada. 2022. "Networked Microgrid Energy Management Based on Supervised and Unsupervised Learning Clustering" Energies 15, no. 13: 4915. https://doi.org/10.3390/en15134915

APA Style

Salehi, N., Martínez-García, H., & Velasco-Quesada, G. (2022). Networked Microgrid Energy Management Based on Supervised and Unsupervised Learning Clustering. Energies, 15(13), 4915. https://doi.org/10.3390/en15134915

Note that from the first issue of 2016, this journal uses article numbers instead of page numbers. See further details here.

Article Metrics

Back to TopTop