Characterization of Dioxins and Heavy Metals in Chelated Fly Ash
Abstract
:1. Introduction
2. Materials and Methods
2.1. Basic Situation of Sampling Power Plants
2.2. Sample Extraction and Analysis
3. Results
3.1. Dioxin Emission Concentration and TEQ Level in Fly Ash
3.2. Toxic Dioxin Distribution in the Samples
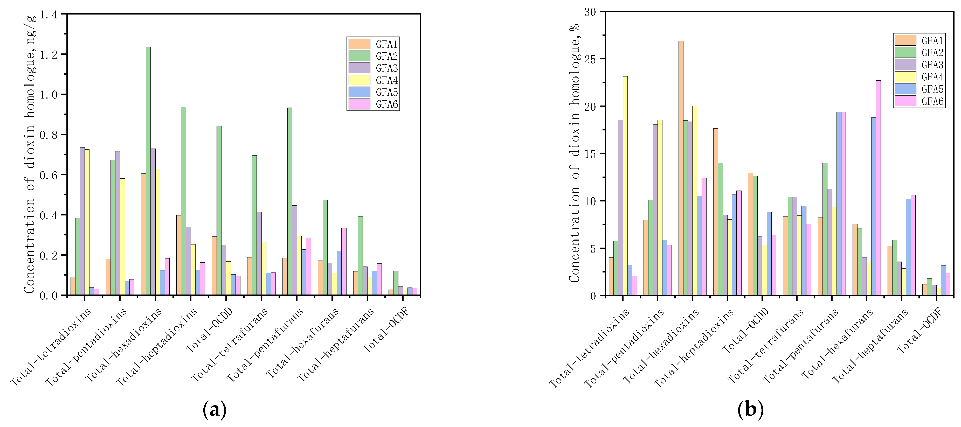
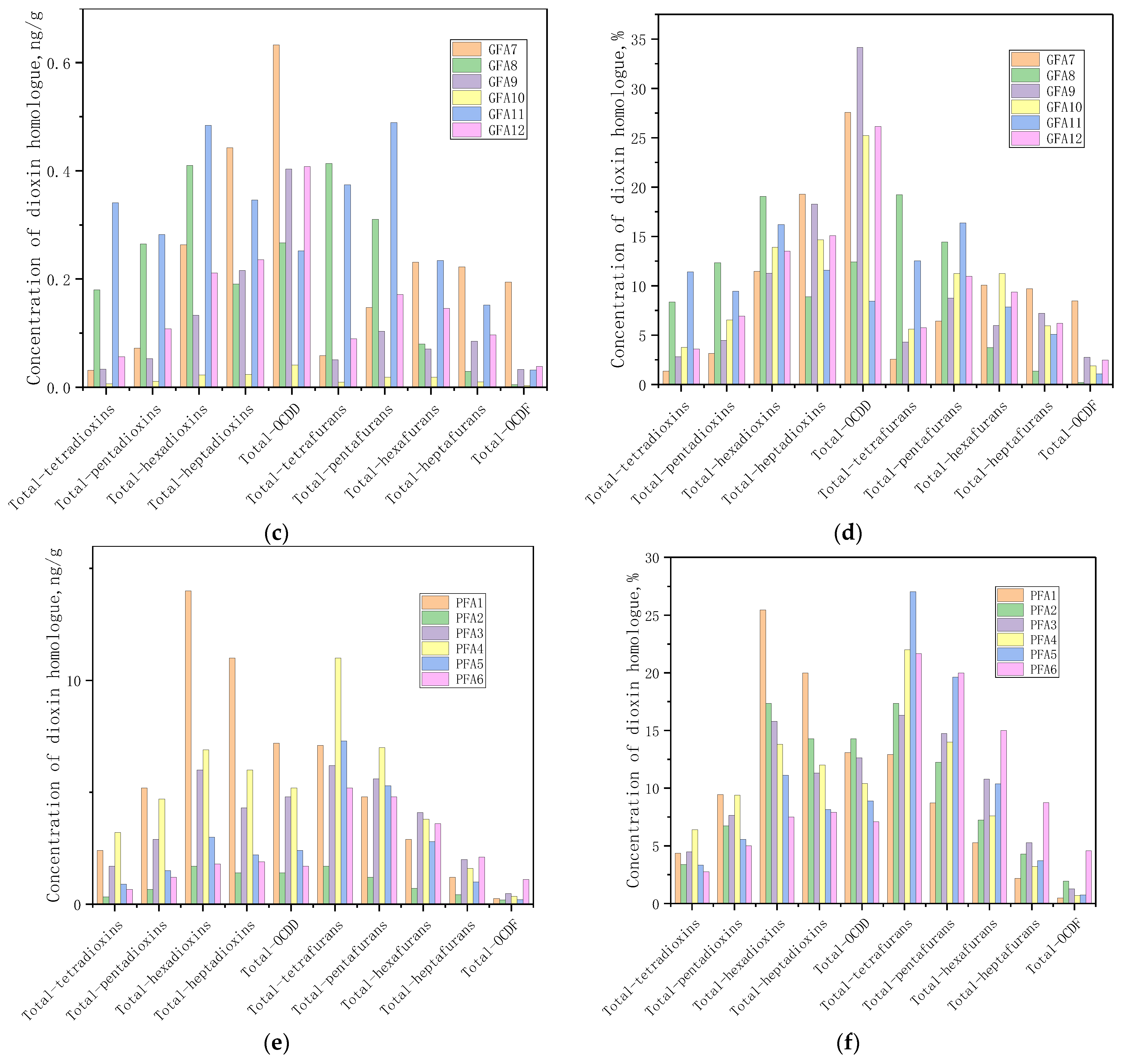
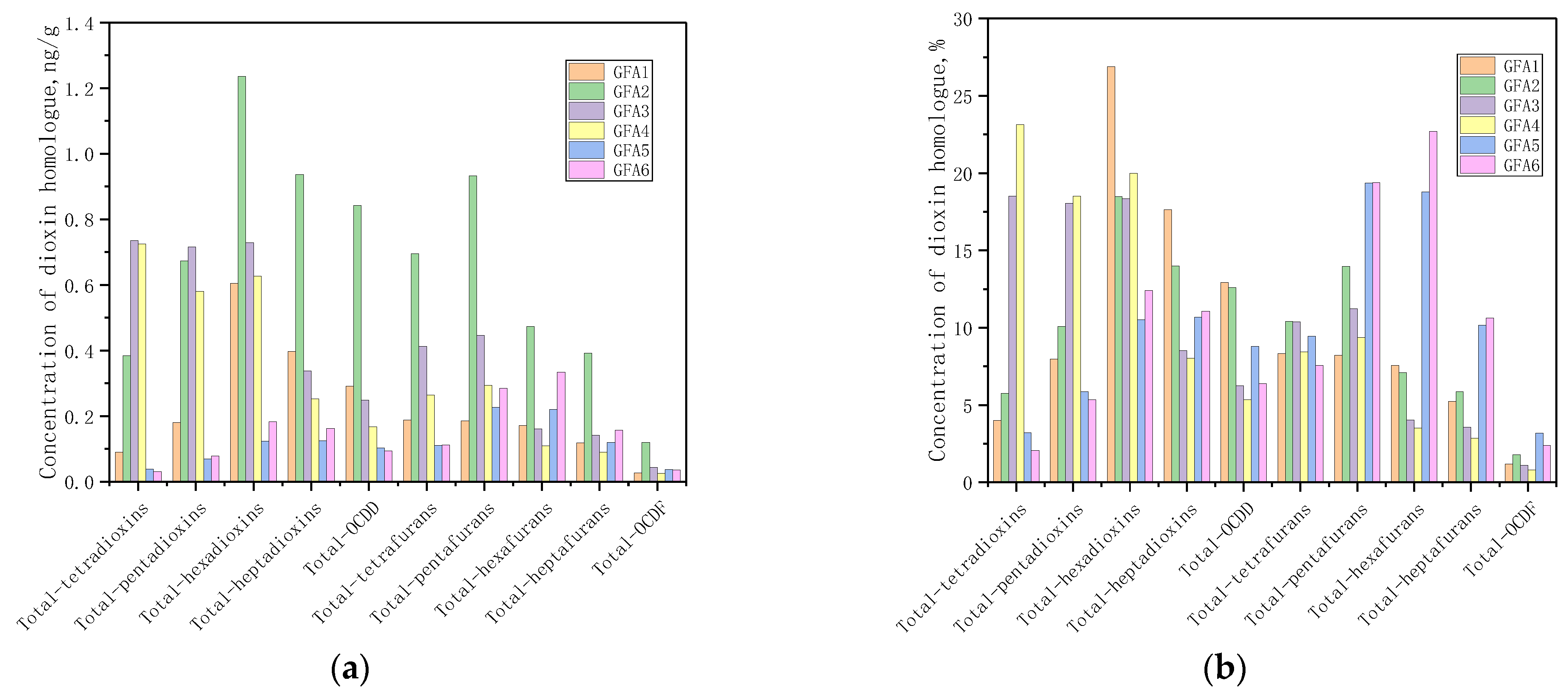
3.3. Distribution of 10 Dioxin Homologues in the Samples
3.4. Analysis of Dioxin Toxicity and Correlation of 17 Homologues
3.5. Distribution of Heavy Metals in Fly Ash Leaching Fluid
4. Conclusions
Author Contributions
Funding
Data Availability Statement
Conflicts of Interest
References
- Song, J.; Sun, Y.; Jin, L. PESTEL analysis of the development of the waste-to-energy incineration industry in China. Renew. Sustain. Energ. Rev. 2017, 80, 276–289. [Google Scholar] [CrossRef]
- Zhao, F.; Bian, R.; Zhang, T.; Fang, X.; Chai, X.; Xin, M.; Li, W.; Sun, Y.; Yuan, L.; Chen, J.; et al. Characteristics of polychlorinated dibenzodioxins/dibenzofurans from a full-scale municipal solid waste (MSW) incinerator in China by MSW classification. Process Saf. Environ. 2022, 161, 50–57. [Google Scholar] [CrossRef]
- Yearbook, C.S. National Bureau of Statistics of China; China Statistics Press: Beijing, China, 2021. [Google Scholar]
- Zhu, J.; Wei, Z.; Luo, Z.; Yu, L.; Yin, K. Phase changes during various treatment processes for incineration bottom ash from municipal solid wastes: A review in the application-environment nexus. Environ. Pollut. 2021, 287, 117618. [Google Scholar] [CrossRef]
- Allegrini, E.; Butera, S.; Kosson, D.S.; Van Zomeren, A.; Van der Sloot, H.A.; Astrup, T.F. Life cycle assessment and residue leaching: The importance of parameter, scenario and leaching data selection. Waste Manag. 2015, 38, 474–485. [Google Scholar] [CrossRef] [PubMed]
- Kulkarni, P.S.; Crespo, J.G.; Afonso, C.A.M. Dioxins sources and current remediation technologies—A review. Environ. Int. 2008, 34, 139–153. [Google Scholar] [CrossRef]
- Buekens, A.; Huang, H. Comparative evaluation of techniques for controlling the formation and emission of chlorinated dioxins/furans in municipal waste incineration. J. Hazard. Mater. 1998, 62, 1–33. [Google Scholar] [CrossRef]
- Xue, Y.; Liu, X. Detoxification, solidification and recycling of municipal solid waste incineration fly ash: A review. Chem. Eng. J. 2021, 420, 1303493. [Google Scholar] [CrossRef]
- Qiu, Q.; Chen, Q.; Jiang, X.; Lv, G.; Chen, Z.; Lu, S.; Ni, M.; Yan, J.; Lin, X.; Song, H.; et al. Improving microwave-assisted hydrothermal degradation of PCDD/Fs in fly ash with added Na2HPO4 and water-washing pretreatment. Chemosphere 2019, 220, 1118–1125. [Google Scholar] [CrossRef]
- Liu, H.; Zeng, T.; Wei, G.; Zhang, R.; Liu, F.; Wang, H. Comparison of Dioxin Destruction in the Fly Ash and Froths under Microwave Irradiation. Aerosol Air Qual. Res. 2019, 19, 925–936. [Google Scholar] [CrossRef] [Green Version]
- Yap, H.C.; Pang, Y.L.; Lim, S.; Abdullah, A.Z.; Ong, H.C.; Wu, C.H. A comprehensive review on state-of-the-art photo-, sono-, and sonophotocatalytic treatments to degrade emerging contaminants. Int. J. Environ. Sci. Technol. 2019, 16, 601–628. [Google Scholar] [CrossRef]
- Li, W.; Gu, K.; Yu, Q.; Sun, Y.; Wang, Y.; Xin, M.; Bian, R.; Wang, H.; Wang, Y.; Zhang, D. Leaching behavior and environmental risk assessment of toxic metals in municipal solid waste incineration fly ash exposed to mature landfill leachate environment. Waste Manag. 2021, 120, 68–75. [Google Scholar] [CrossRef] [PubMed]
- Takasuga, T.; Makino, T.; Tsubota, K.; Takeda, N. Formation of dioxins (PCDDs/PCDFs) by dioxin-free fly ash as a catalyst and relation with several chlorine-sources. Chemosphere 2000, 40, 1003–1007. [Google Scholar] [CrossRef]
- He, H.; Lu, S.; Peng, Y.; Tang, M.; Zhan, M.; Lu, S.; Xu, L.; Zhong, W.; Xu, L. Emission characteristics of dioxins during iron ore Co-sintering with municipal solid waste incinerator fly ash in a sintering pot. Chemosphere 2022, 287, 131884. [Google Scholar] [CrossRef] [PubMed]
- Chen, T.; Yan, J.H.; Lu, S.Y.; Li, X.D.; Gu, Y.L.; Dai, H.F.; Ni, M.J.; Cen, K.F. Characteristic of polychlorinated dibenzo-p-dioxins and dibenzofurans in fly ash from incinerators in china. J. Hazard. Mater. 2008, 150, 510–514. [Google Scholar] [CrossRef] [PubMed]
- Pan, Y.; Yang, L.; Zhou, J.; Liu, J.; Qian, G.; Ohtsuka, N.; Motegi, M.; Oh, K.; Hosono, S. Characteristics of dioxins content in fly ash from municipal solid waste incinerators in China. Chemosphere 2013, 92, 765–771. [Google Scholar] [CrossRef]
- Ni, Y.; Zhang, H.; Fan, S.; Zhang, X.; Zhang, Q.; Chen, J. Emissions of PCDD/Fs from municipal solid waste incinerators in China. Chemosphere 2009, 75, 1153–1158. [Google Scholar] [CrossRef]
- Chen, Z.; Mao, Q.; Lu, S.; Buekens, A.; Xu, S.; Wang, X.; Yan, J. Dioxins degradation and reformation during mechanochemical treatment. Chemosphere 2017, 180, 130–140. [Google Scholar] [CrossRef]
- Chang, Y.; Fan, W.; Dai, W.; Hsi, H.; Wu, C.; Chen, C. Characteristics of PCDD/F content in fly ash discharged from municipal solid waste incinerators. J. Hazard. Mater. 2011, 192, 521–529. [Google Scholar] [CrossRef]
- Wikstrom, E.; Tysklind, M.; Marklund, S. Influence of variation in combustion conditions on the primary formation of chlorinated organic micropollutants during municipal solid waste combustion. Environ. Sci. Technol. 1999, 33, 4263–4269. [Google Scholar] [CrossRef]
- Everaert, K.; Baeyens, J. The formation and emission of dioxins in large scale thermal processes. Chemosphere 2002, 46, 439–448. [Google Scholar] [CrossRef]
- Zhang, G.; Huang, X.; Liao, W.; Kang, S.; Ren, M.; Hai, J. Measurement of Dioxin Emissions from a Small-Scale Waste Incinerator in the Absence of Air Pollution Controls. Int. J. Environ. Res. Public Health 2019, 16, 1267. [Google Scholar] [CrossRef] [PubMed] [Green Version]
- Minomo, K.; Ohtsuka, N.; Nojiri, K.; Hosono, S.; Kawamura, K. A Simplified Determination Method of Dioxin Toxic Equivalent (TEQ) by Single GC/MS Measurement of Five Indicative Congeners. Anal. Sci. 2011, 27, 421–426. [Google Scholar] [CrossRef] [PubMed] [Green Version]
- Li, R.; Nie, Y.; Wang, L.; Li, A.; Chi, Y.; Cen, K. Trace Pollutant in MSW Incinerator Fly Ash:Heavy Metals and Dioxins. J. Combust. Sci. Technol. 2004, 10, 479–483. [Google Scholar]
- Tanigaki, N.; Fujinaga, Y.; Kajiyama, H.; Ishida, Y. Operating and environmental performances of commercial-scale waste gasification and melting technology. Waste Manag. Res. 2013, 31, 1118–1124. [Google Scholar] [CrossRef]
- Xiong, Y.; Zhu, F.; Zhao, L.; Jiang, H.; Zhang, Z. Heavy metal speciation in various types of fly ash from municipal solid waste incinerator. J. Mater. Cycles Waste 2014, 16, 608–615. [Google Scholar] [CrossRef]
- Zhu, Z.; Guo, Y.; Zhao, Y.; Zhou, T. A novel waste-recycled chelating agent for the stabilization of lead in municipal solid waste incineration fly ash: Preparation, feasibility, and mechanism analysis. J. Hazard. Mater. 2022, 427, 127914. [Google Scholar] [CrossRef]
- Chen, D.; Zhang, Y.; Xu, Y.; Nie, Q.; Yang, Z.; Sheng, W.; Qian, G. Municipal solid waste incineration residues recycled for typical construction materials—A review. Rsc. Adv. 2022, 12, 6279–6291. [Google Scholar] [CrossRef]





| Sample Number | Power Plant | Capacity | Sample Number | Power Plant | Capacity |
|---|---|---|---|---|---|
| GFA1 | 1 | 3 × 350 ton/d | GFA10 | 7 | 3 × 225 ton/d |
| GFA2 | GFA11 | 8 | 2 × 225 ton/d | ||
| GFA3 | 2 | 2 × 500 ton/d | GFA12 | 9 | 3 × 350 ton/d |
| GFA4 | PFA1 * | 10 | 1000 ton/d | ||
| GFA5 | 3 | 2 × 600 ton/d | PFA2 | 11 | 2 × 600 ton/d |
| GFA6 | PFA3 | 12 | 3 × 350 ton/d | ||
| GFA7 | 4 | 400 ton/d | PFA4 | 13 | 1500 ton/d |
| GFA8 | 5 | 4 × 750 ton/d | PFA5 | 14 | 1000 ton/d |
| GFA9 | 6 | 2 × 400 ton/d | PFA6 | 15 | 600 ton/d |
| PCDD/Fs | GFA1 | GFA2 | GFA3 | GFA4 | GFA5 | GFA6 | GFA7 | GFA8 | GFA9 | GFA10 | GFA11 | GFA12 | PFA1 | PFA2 | PFA3 | PFA4 | PFA5 | PFA6 |
|---|---|---|---|---|---|---|---|---|---|---|---|---|---|---|---|---|---|---|
| 2,3,7,8-TetraCDD | 0.004 | 0.008 | 0.004 | 0.003 | 0.001 | 0.001 | 0.002 | 0.003 | 0.001 | 0.000 | 0.003 | 0.001 | 0.039 | 0.0087 | 0.037 | 0.044 | 0.046 | 0.04 |
| 1,2,3,7,8-PentaCDD | 0.010 | 0.018 | 0.014 | 0.010 | 0.003 | 0.005 | 0.005 | 0.005 | 0.002 | 0.000 | 0.010 | 0.004 | 0.11 | 0.02 | 0.14 | 0.15 | 0.11 | 0.11 |
| 1,2,3,4,7,8-HexaCDD | 0.011 | 0.022 | 0.017 | 0.014 | 0.004 | 0.006 | 0.006 | 0.003 | 0.003 | 0.001 | 0.011 | 0.005 | 0.086 | 0.021 | 0.13 | 0.14 | 0.066 | 0.067 |
| 1,2,3,6,7,8-HexaCDD | 0.026 | 0.057 | 0.028 | 0.021 | 0.008 | 0.013 | 0.019 | 0.020 | 0.009 | 0.002 | 0.024 | 0.013 | 0.64 | 0.075 | 0.27 | 0.42 | 0.13 | 0.13 |
| 1,2,3,7,8,9-HexaCDD | 0.017 | 0.038 | 0.022 | 0.018 | 0.005 | 0.008 | 0.012 | 0.010 | 0.006 | 0.001 | 0.014 | 0.008 | 0.36 | 0.044 | 0.18 | 0.24 | 0.1 | 0.1 |
| 1,2,3,4,6,7,8-HeptaCDD | 0.193 | 0.459 | 0.172 | 0.130 | 0.056 | 0.072 | 0.219 | 0.084 | 0.100 | 0.012 | 0.142 | 0.115 | 5 | 0.7 | 1.9 | 2.9 | 1.1 | 0.91 |
| OCDD | 0.291 | 0.843 | 0.248 | 0.167 | 0.103 | 0.094 | 0.632 | 0.267 | 0.403 | 0.041 | 0.252 | 0.408 | 7.2 | 1.4 | 4.8 | 5.2 | 2.4 | 1.7 |
| 2,3,7,8-TetraCDF | 0.027 | 0.043 | 0.021 | 0.015 | 0.006 | 0.009 | 0.004 | 0.023 | 0.002 | 0.001 | 0.018 | 0.006 | 0.28 | 0.062 | 0.17 | 0.3 | 0.3 | 0.17 |
| 1,2,3,7,8-PentaCDF | 0.027 | 0.061 | 0.027 | 0.019 | 0.011 | 0.018 | 0.008 | 0.019 | 0.005 | 0.001 | 0.031 | 0.009 | 0.42 | 0.099 | 0.44 | 0.55 | 0.48 | 0.41 |
| 2,3,4,7,8-PentaCDF | 0.017 | 0.076 | 0.033 | 0.023 | 0.010 | 0.015 | 0.007 | 0.019 | 0.010 | 0.001 | 0.022 | 0.007 | 0.3 | 0.072 | 0.37 | 0.43 | 0.32 | 0.27 |
| 1,2,3,4,7,8-HexaCDF | 0.029 | 0.067 | 0.031 | 0.020 | 0.020 | 0.031 | 0.019 | 0.011 | 0.012 | 0.002 | 0.036 | 0.016 | 0.35 | 0.076 | 0.47 | 0.42 | 0.35 | 0.42 |
| 1,2,3,6,7,8-HexaCDF | 0.031 | 0.083 | 0.035 | 0.023 | 0.022 | 0.034 | 0.024 | 0.015 | 0.011 | 0.002 | 0.042 | 0.018 | 0.35 | 0.075 | 0.44 | 0.43 | 0.33 | 0.42 |
| 2,3,4,6,7,8-HexaCDF | 0.041 | 0.115 | 0.028 | 0.021 | 0.032 | 0.048 | 0.048 | 0.017 | 0.018 | 0.003 | 0.046 | 0.023 | 0.25 | 0.079 | 0.39 | 0.37 | 0.21 | 0.31 |
| 1,2,3,7,8,9-HexaCDF | 0.006 | 0.057 | 0.012 | 0.008 | 0.005 | 0.007 | 0.007 | 0.002 | 0.006 | 0.000 | 0.007 | 0.004 | 0.055 | 0.0096 | 0.04 | 0.051 | 0.038 | 0.04 |
| 1,2,3,4,6,7,8-HeptaCDF | 0.077 | 0.234 | 0.092 | 0.057 | 0.073 | 0.095 | 0.120 | 0.016 | 0.059 | 0.006 | 0.097 | 0.057 | 0.61 | 0.23 | 1.3 | 1 | 0.6 | 1.1 |
| 1,2,3,4,7,8,9-HeptaCDF | 0.011 | 0.052 | 0.017 | 0.010 | 0.013 | 0.017 | 0.034 | 0.003 | 0.008 | 0.001 | 0.016 | 0.013 | 0.15 | 0.05 | 0.17 | 0.16 | 0.1 | 0.24 |
| OCDF | 0.027 | 0.120 | 0.043 | 0.025 | 0.037 | 0.035 | 0.194 | 0.005 | 0.033 | 0.003 | 0.032 | 0.039 | 0.26 | 0.19 | 0.48 | 0.35 | 0.2 | 1.1 |
| Total-tetradioxins | 0.090 | 0.384 | 0.735 | 0.725 | 0.037 | 0.030 | 0.031 | 0.180 | 0.033 | 0.006 | 0.341 | 0.056 | 2.4 | 0.33 | 1.7 | 3.2 | 0.9 | 0.66 |
| Total-pentadioxins | 0.180 | 0.673 | 0.716 | 0.580 | 0.069 | 0.079 | 0.072 | 0.265 | 0.053 | 0.011 | 0.282 | 0.108 | 5.2 | 0.66 | 2.9 | 4.7 | 1.5 | 1.2 |
| Total-hexadioxins | 0.605 | 1.236 | 0.729 | 0.627 | 0.123 | 0.182 | 0.263 | 0.410 | 0.133 | 0.023 | 0.484 | 0.211 | 14 | 1.7 | 6 | 6.9 | 3 | 1.8 |
| Total-heptadioxins | 0.397 | 0.936 | 0.338 | 0.252 | 0.125 | 0.162 | 0.442 | 0.191 | 0.216 | 0.024 | 0.346 | 0.236 | 11 | 1.4 | 4.3 | 6 | 2.2 | 1.9 |
| Total-OCDD | 0.291 | 0.843 | 0.248 | 0.167 | 0.103 | 0.094 | 0.632 | 0.267 | 0.403 | 0.041 | 0.252 | 0.408 | 7.2 | 1.4 | 4.8 | 5.2 | 2.4 | 1.7 |
| Total-PCDDs | 1.563 | 4.073 | 2.767 | 2.351 | 0.458 | 0.548 | 1.441 | 1.312 | 0.838 | 0.104 | 1.704 | 1.019 | 39 | 5.6 | 20 | 26 | 10 | 7.3 |
| Total-tetrafurans | 0.188 | 0.695 | 0.413 | 0.264 | 0.111 | 0.111 | 0.058 | 0.413 | 0.051 | 0.009 | 0.374 | 0.090 | 7.1 | 1.7 | 6.2 | 11 | 7.3 | 5.2 |
| Total-pentafurans | 0.185 | 0.933 | 0.446 | 0.294 | 0.227 | 0.285 | 0.147 | 0.310 | 0.103 | 0.018 | 0.489 | 0.171 | 4.8 | 1.2 | 5.6 | 7 | 5.3 | 4.8 |
| Total-hexafurans | 0.171 | 0.473 | 0.160 | 0.110 | 0.220 | 0.334 | 0.231 | 0.080 | 0.071 | 0.018 | 0.234 | 0.146 | 2.9 | 0.71 | 4.1 | 3.8 | 2.8 | 3.6 |
| Total-heptafurans | 0.118 | 0.391 | 0.141 | 0.089 | 0.119 | 0.156 | 0.222 | 0.029 | 0.085 | 0.010 | 0.152 | 0.097 | 1.2 | 0.42 | 2 | 1.6 | 1 | 2.1 |
| Total-OCDF | 0.027 | 0.120 | 0.043 | 0.025 | 0.037 | 0.035 | 0.194 | 0.005 | 0.033 | 0.003 | 0.032 | 0.038 | 0.26 | 0.19 | 0.48 | 0.35 | 0.2 | 1.1 |
| Total-PCDFs | 0.688 | 2.612 | 1.204 | 0.782 | 0.714 | 0.921 | 0.854 | 0.837 | 0.342 | 0.058 | 1.281 | 0.542 | 16 | 4.2 | 18 | 24 | 17 | 17 |
| Total(PCDDs+PCDFs) | 2.251 | 6.685 | 3.970 | 3.134 | 1.172 | 1.469 | 2.295 | 2.149 | 1.180 | 0.162 | 2.985 | 1.561 | 55 | 9.8 | 38 | 50 | 27 | 24 |
| PCDDs/PCDFs ratio | 2.272 | 1.559 | 2.299 | 3.005 | 0.641 | 0.594 | 1.688 | 1.567 | 2.450 | 1.782 | 1.331 | 1.880 | 2.438 | 1.333 | 1.111 | 1.083 | 0.589 | 0.4294 |
| I-TEQ | 0.041 | 0.011 | 0.051 | 0.036 | 0.020 | 0.029 | 0.026 | 0.027 | 0.016 | 0.002 | 0.043 | 0.018 | 0.567 | 0.115 | 0.562 | 0.645 | 0.458 | 0.442 |
| PCDD/Fs Congeners | 18 Sets of Data | |
|---|---|---|
| Regression Equation | R2 | |
| 2,3,7,8-TetraCDD | 12.851x − 0.00187 | 0.9472 |
| 1,2,3,7,8-PentaCDD | 4.2870x + 0.000031 | 0.9819 |
| 1,2,3,4,7,8-HexaCDD | 5.0952x − 0.00050 | 0.9263 |
| 1,2,3,6,7,8-HexaCDD | 1.1691x + 0.04904 | 0.7288 |
| 1,2,3,7,8,9-HexaCDD | 2.1281x + 0.03297 | 0.8007 |
| 1,2,3,4,6,7,8-HeptaCDD | 0.1510x + 0.05254 | 0.6969 |
| OCDD | 0.1016x + 0.02329 | 0.8252 |
| 2,3,7,8-TetraCDF | 2.0379x + 0.00806 | 0.9086 |
| 1,2,3,7,8-PentaCDF | 1.1447x + 0.00515 | 0.9741 |
| 2,3,4,7,8-PentaCDF | 1.5586x − 0.00062 | 0.9735 |
| 1,2,3,4,7,8-HexaCDF | 1.3175x − 0.0014 | 0.9554 |
| 1,2,3,6,7,8-HexaCDF | 1.3584x − 0.00732 | 0.9571 |
| 2,3,4,6,7,8-HexaCDF | 1.7225x − 0.02329 | 0.9104 |
| 1,2,3,7,8,9-HexaCDF | 8.9856x − 0.00372 | 0.6124 |
| 1,2,3,4,6,7,8-HeptaCDF | 0.5239x + 0.00321 | 0.8475 |
| 1,2,3,4,7,8,9-HeptaCDF | 2.9356x − 0.00110 | 0.8147 |
| OCDF | 0.5866x + 0.06933 | 0.4402 |
| Num | Be | Cr | Ni | Cu | Zn | Se | Cd | Ba | Pb | Cr6+ | Hg | As |
|---|---|---|---|---|---|---|---|---|---|---|---|---|
| GFA3 | ND 1 | 0.37 | ND | ND | 0.23 | 0.0022 | ND | 4.21 | 0.15 | 0.128 | ND | 0.0048 |
| GFA4 | ND | 0.5 | ND | ND | 0.23 | 0.0031 | ND | 3.25 | ND | 0.124 | ND | 0.0065 |
| GFA5 | ND | 1.06 | 0.101 | 0.017 | 0.02 | 0.019 | ND | 0.506 | ND | 1.05 | 0.0001 | 0.003 |
| GFA6 | ND | 1.1 | 0.096 | 0.016 | 0.03 | 0.018 | ND | 0.508 | ND | 1.1 | 0.0001 | 0.004 |
| GFA7 | ND | ND | 0.23 | 0.15 | ND | ND | 4.21 | ND | 0.0048 | 0.37 | 0.128 | 0.0022 |
| GFA10 | 0.004 | 0.154 | 0.282 | 0.16 | 4 | 0.013 | 0.039 | 0.86 | 0.204 | ND | 0.0002 | 0.127 |
| GFA11 | ND | 0.065 | 0.108 | 0.024 | 0.14 | 0.068 | 0.002 | 1.46 | 0.186 | ND | 0.0004 | 0.009 |
| GFA12 | ND | 0.03 | 0.064 | 0.018 | 0.24 | 0.029 | 0.0029 | 0.68 | 0.0050 | ND | 0.0002 | ND |
| GB 2 | 0.02 | 4.5 | 0.5 | 40 | 100 | 0.1 | 0.15 | 25 | 0.25 | 1.5 | 0.05 | 0.3 |
Publisher’s Note: MDPI stays neutral with regard to jurisdictional claims in published maps and institutional affiliations. |
© 2022 by the authors. Licensee MDPI, Basel, Switzerland. This article is an open access article distributed under the terms and conditions of the Creative Commons Attribution (CC BY) license (https://creativecommons.org/licenses/by/4.0/).
Share and Cite
Pan, S.; Yao, Q.; Cai, W.; Peng, Y.; Luo, Y.; Wang, Z.; Jiang, C.; Li, X.; Lu, S. Characterization of Dioxins and Heavy Metals in Chelated Fly Ash. Energies 2022, 15, 4868. https://doi.org/10.3390/en15134868
Pan S, Yao Q, Cai W, Peng Y, Luo Y, Wang Z, Jiang C, Li X, Lu S. Characterization of Dioxins and Heavy Metals in Chelated Fly Ash. Energies. 2022; 15(13):4868. https://doi.org/10.3390/en15134868
Chicago/Turabian StylePan, Shuping, Qi Yao, Wenxiang Cai, Yaqi Peng, Yuhao Luo, Zhizhen Wang, Caiping Jiang, Xiaodong Li, and Shengyong Lu. 2022. "Characterization of Dioxins and Heavy Metals in Chelated Fly Ash" Energies 15, no. 13: 4868. https://doi.org/10.3390/en15134868
APA StylePan, S., Yao, Q., Cai, W., Peng, Y., Luo, Y., Wang, Z., Jiang, C., Li, X., & Lu, S. (2022). Characterization of Dioxins and Heavy Metals in Chelated Fly Ash. Energies, 15(13), 4868. https://doi.org/10.3390/en15134868
