Optimized Takagi–Sugeno Fuzzy Mixed H2/H∞ Robust Controller Design Based on CPSOGSA Optimization Algorithm for Hydraulic Turbine Governing System
Abstract
1. Introduction
2. System Description
2.1. Hydraulic Turbine Model
2.2. Penstock Model
2.3. Generator Model
2.4. Actuator Model
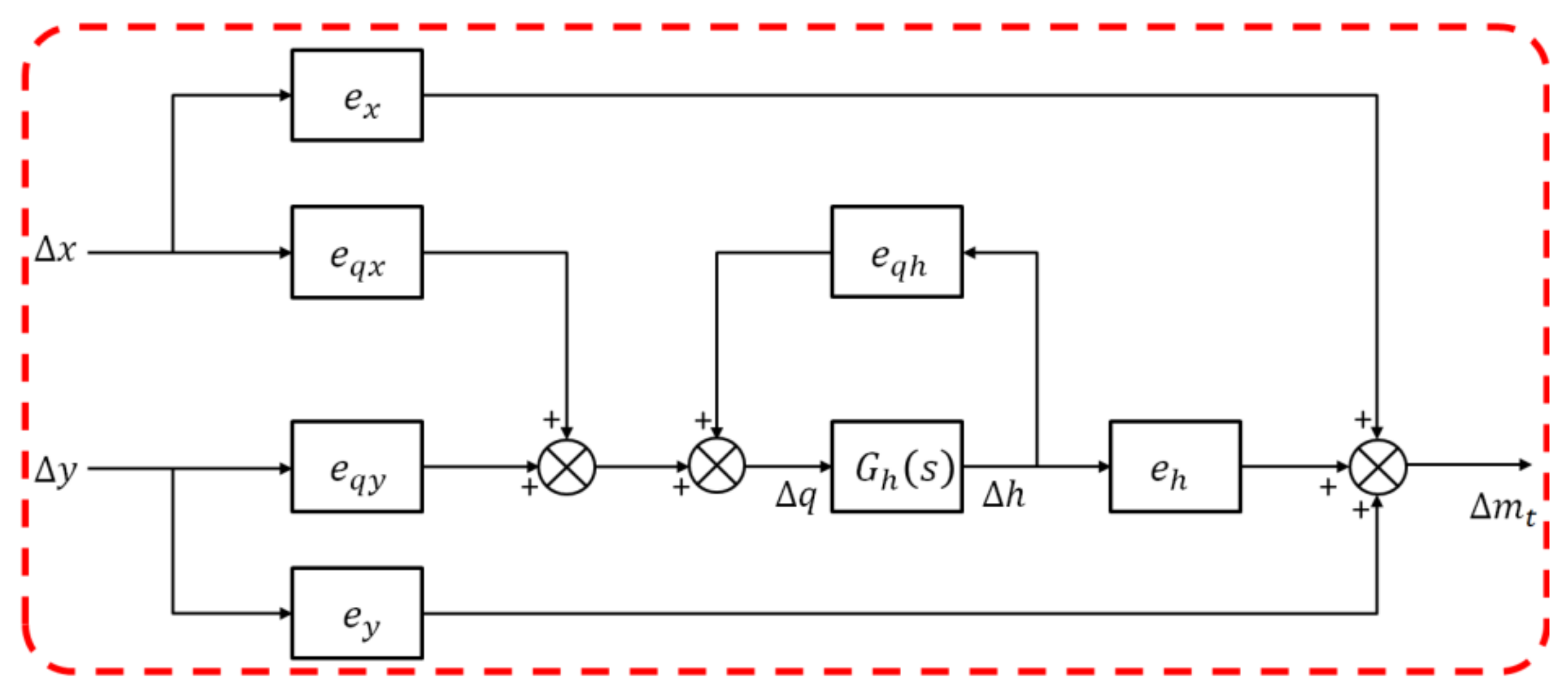
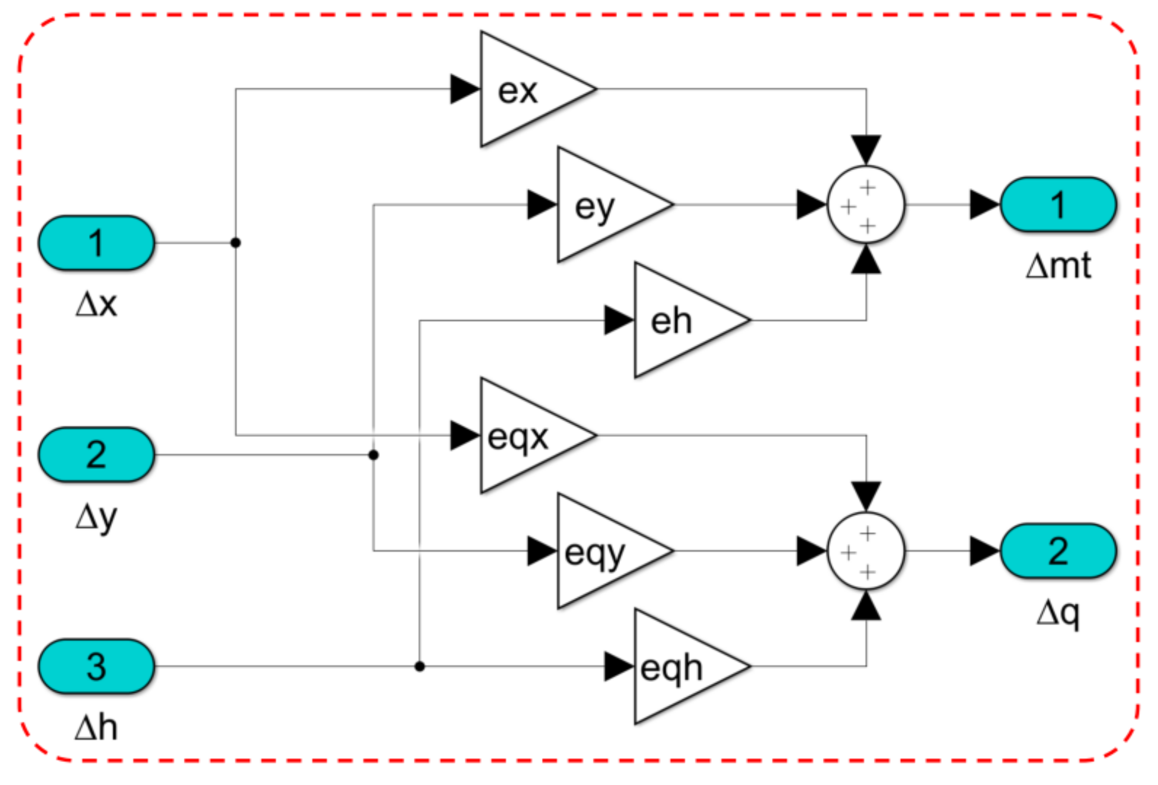
2.5. HTGS Model
3. T-S Fuzzy Local Linearization and Controller Proposal
3.1. Fuzzy Local Linearization
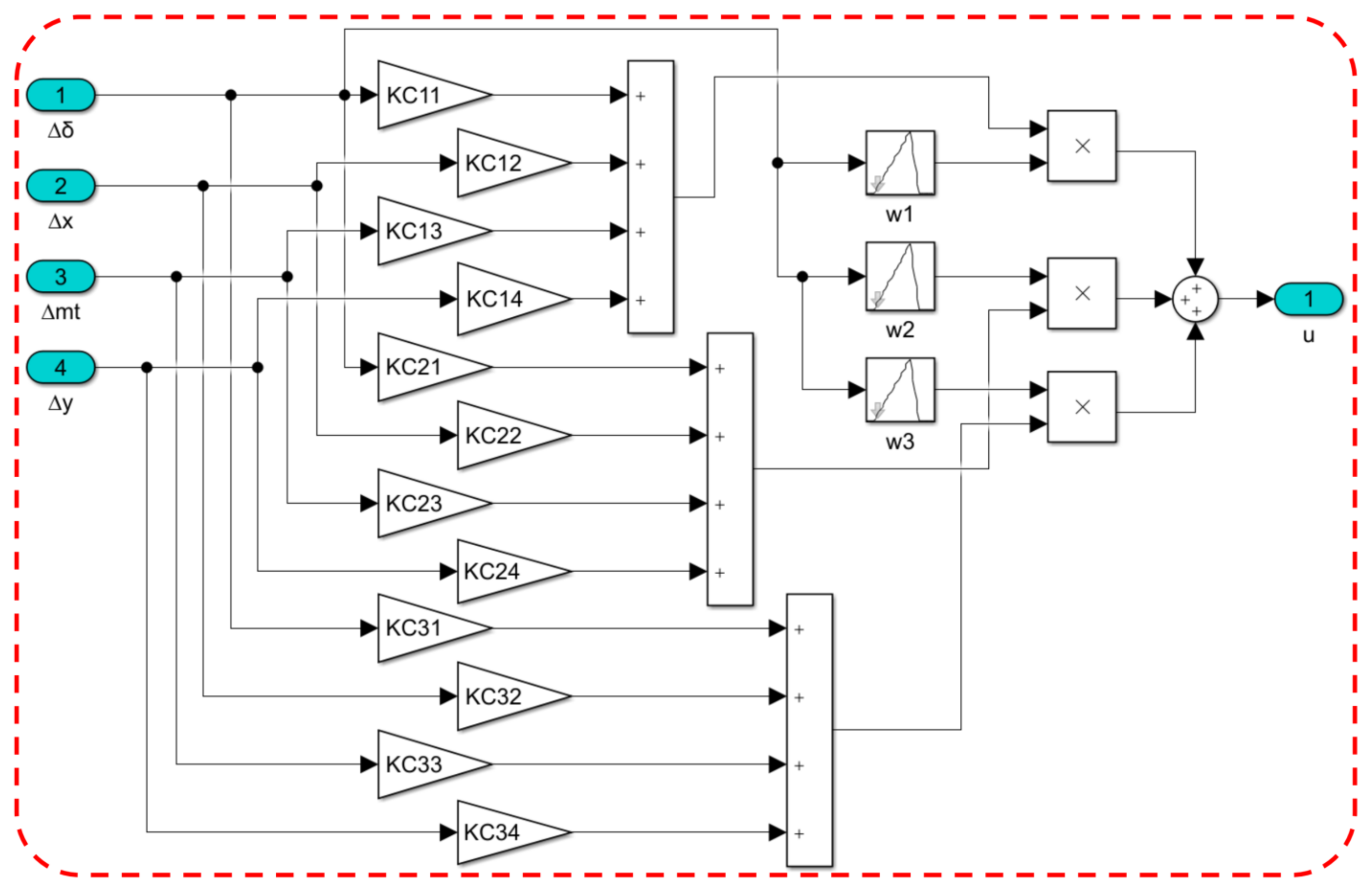
3.2. T-S Fuzzy Controller
4. Design of the Mixed H2/H∞ Controller
- -optimal design;
 
- 2.
 - -optimal design;
 
- 3.
 - Mixed -optimal design.
 
5. A Chaotic Map-Based Improved PSOGSA Optimization Algorithm (CPSOGSA) and Its Application in HTGS
5.1. Particle Swarm Optimization
5.2. Gravitational Search Algorithm
5.3. Modified Hybrid Particle Swarm Optimization and Gravitational Search Algorithm with Chaotic Maps (CPSOGSA)
5.4. Optimal Feedback Coefficients for State Feedback Controller
6. Simulation Studies
6.1. Model
6.2. Parameters
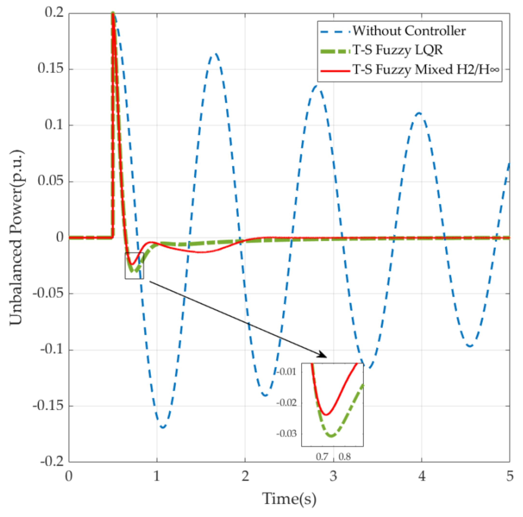
6.3. Simulation and Validation Results
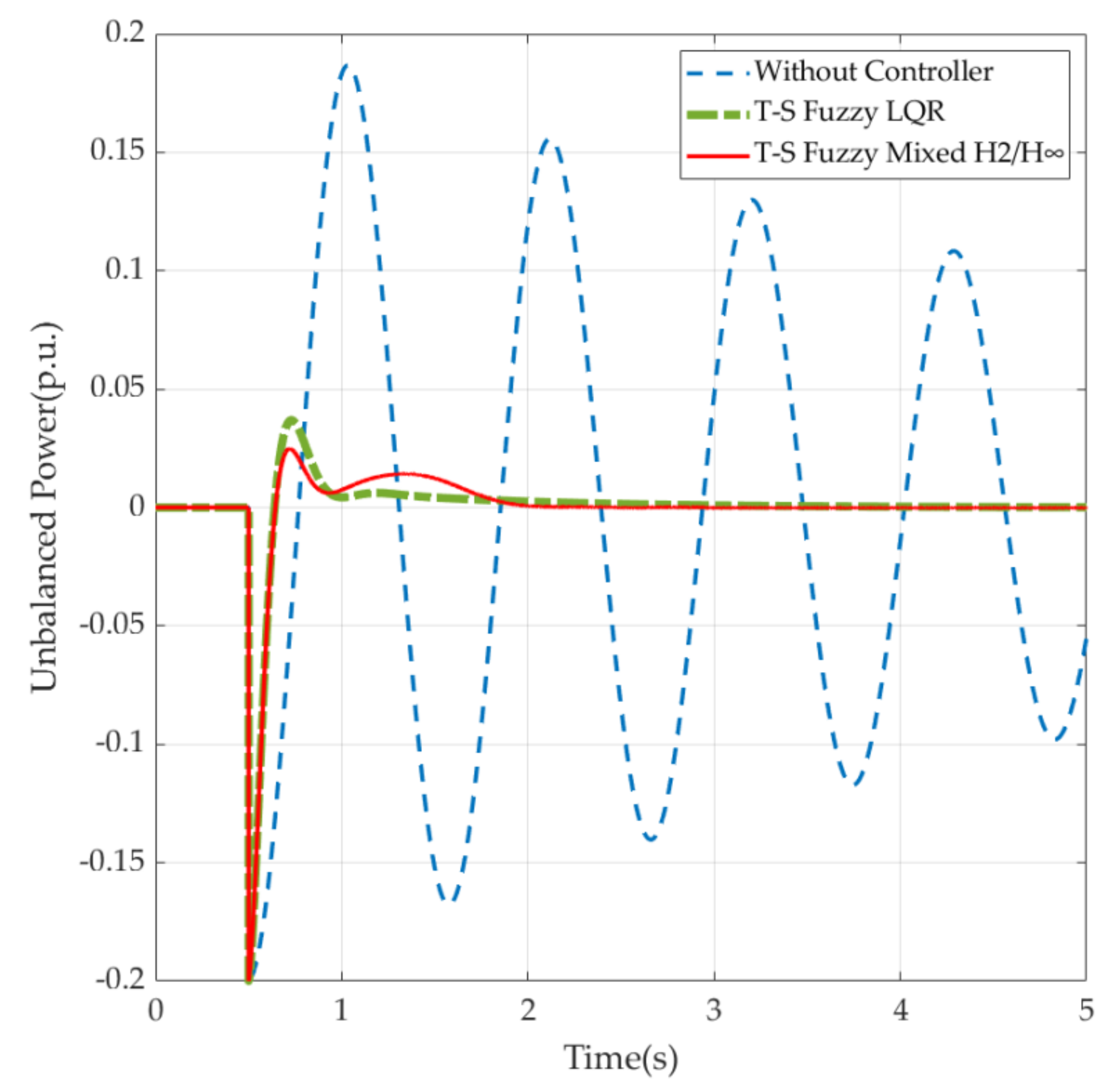
6.3.1. Case 1. Sudden Load Reduction
6.3.2. Case 2. Sudden Load Increase
6.3.3. Case 3. Perturbation from Wind Power
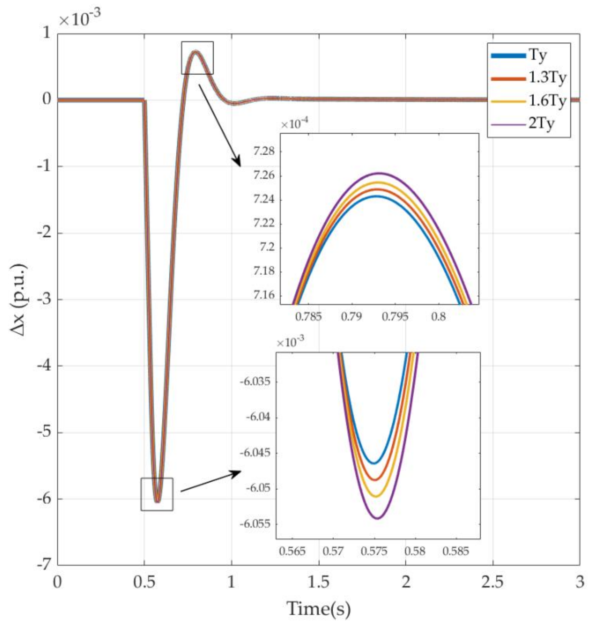
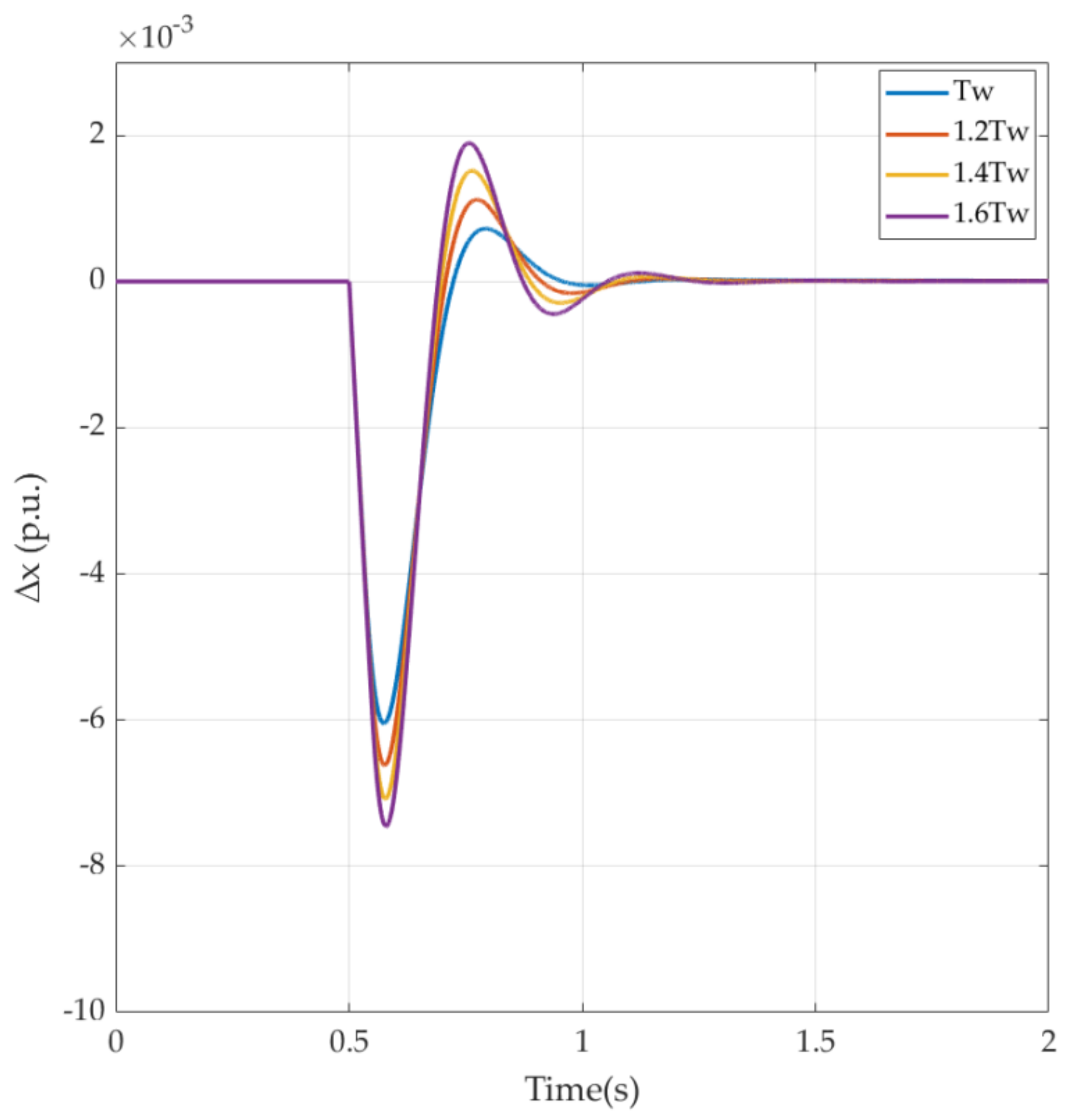
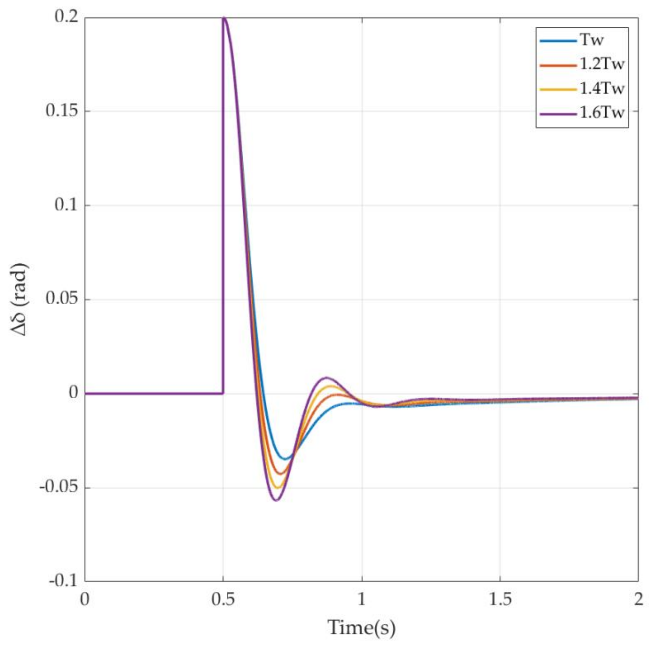
6.3.4. Case 4. System Parameters Change
7. Conclusions
Author Contributions
Funding
Institutional Review Board Statement
Informed Consent Statement
Data Availability Statement
Conflicts of Interest
Abbreviations
| HTGS | Hydraulic turbine governing system | 
| T-S | Takagi–Sugeno | 
| LMI | Linear matrix inequality | 
| CPSOGSA | Modified hybrid particle swarm optimization and gravitational search algorithm with chaotic maps | 
| LQR | Linear quadratic regulator | 
| PID | Proportional-integral-derivative | 
| PDC | Parallel distributed compensation | 
| GSA | Gravitational search algorithm | 
| PSO | Particle swarm optimization | 
| GA | Genetic algorithm | 
| LFC | Load frequency control | 
References
- Zhang, D.; Wang, J.; Lin, Y.; Si, Y.; Huang, C.; Yang, J.; Huang, B.; Li, W. Present situation and future prospect of renewable energy in China. Renew. Sustain. Energy Rev. 2017, 76, 865–871. [Google Scholar] [CrossRef]
 - Li, X.-z.; Chen, Z.-j.; Fan, X.-c.; Cheng, Z.-j. Hydropower development situation and prospects in China. Renew. Sustain. Energy Rev. 2018, 82, 232–239. [Google Scholar] [CrossRef]
 - Guo, W.; Yang, J.; Wang, M.; Lai, X. Nonlinear modeling and stability analysis of hydro-turbine governing system with sloping ceiling tailrace tunnel under load disturbance. Energy Convers. Manag. 2015, 106, 127–138. [Google Scholar] [CrossRef]
 - Yang, J.; Wang, M.; Wang, C.; Guo, W. Linear Modeling and Regulation Quality Analysis for Hydro-Turbine Governing System with an Open Tailrace Channel. Energies 2015, 8, 11702–11717. [Google Scholar] [CrossRef]
 - Wang, C.; Wang, D.K.; Zhang, J.M. Experimental Study on the Optimal Strategy for of Governing System of Hydropower Station. Water 2021, 13, 421. [Google Scholar] [CrossRef]
 - Xu, B.; Jun, H.-B.; Chen, D.; Li, H.; Zhang, J.; Blanco, C.J.C.; Shen, H. Stability analysis of a hydro-turbine governing system considering inner energy losses. Renew. Energy 2019, 134, 258–266. [Google Scholar] [CrossRef]
 - Li, H.; Xu, B.; Arzaghi, E.; Abbassi, R.; Chen, D.; Aggidis, G.; Zhang, J.; Patelli, E. Transient safety assessment and risk mitigation of a hydroelectric generation system. Energy 2020, 196, 117135. [Google Scholar] [CrossRef]
 - Zeng, Y.; Qian, J.; Guo, Y.; Yu, S. Differential equation model of single penstock multi-machine system with hydraulic coupling. IET Renew. Power Gener. 2019, 13, 1153–1159. [Google Scholar] [CrossRef]
 - Zhang, H.; Chen, D.; Xu, B.; Wang, F. Nonlinear modeling and dynamic analysis of hydro-turbine governing system in the process of load rejection transient. Energy Convers. Manag. 2015, 90, 128–137. [Google Scholar] [CrossRef]
 - Wang, F.; Chen, D.; Xu, B.; Zhang, H. Nonlinear dynamics of a novel fractional-order Francis hydro-turbine governing system with time delay. Chaos Solitons Fractals 2016, 91, 329–338. [Google Scholar] [CrossRef]
 - Lai, X.; Li, C.; Zhou, J.; Zhang, Y.; Li, Y. A multi-objective optimization strategy for the optimal control scheme of pumped hydropower systems under successive load rejections. Appl. Energy 2020, 261, 114474. [Google Scholar] [CrossRef]
 - Fang, H.; Chen, L.; Shen, Z. Application of an improved PSO algorithm to optimal tuning of PID gains for water turbine governor. Energy Convers. Manag. 2011, 52, 1763–1770. [Google Scholar] [CrossRef]
 - Chen, Z.; Yuan, Y.; Yuan, X.; Huang, Y.; Li, X.; Li, W. Application of multi-objective controller to optimal tuning of PID gains for a hydraulic turbine regulating system using adaptive grid particle swam optimization. ISA Trans. 2015, 56, 173–187. [Google Scholar] [CrossRef]
 - Li, C.; Zhang, N.; Lai, X.; Zhou, J.; Xu, Y. Design of a fractional-order PID controller for a pumped storage unit using a gravitational search algorithm based on the Cauchy and Gaussian mutation. Inf. Sci. 2017, 396, 162–181. [Google Scholar] [CrossRef]
 - Junyi, L.; Chen, Q. Fractional Order Controller Designing with Firefly Algorithm and Parameter Optimization for Hydroturbine Governing System. Math. Probl. Eng. 2015, 2015, 1–11. [Google Scholar] [CrossRef][Green Version]
 - Wang, B.; Xue, J.; Wu, F.; Zhu, D. Robust Takagi-Sugeno fuzzy control for fractional order hydro-turbine governing system. Isa Trans. 2016, 72. [Google Scholar] [CrossRef]
 - Chen, Z.; Yuan, X.; Yuan, Y.; Lei, X.; Zhang, B. Parameter estimation of fuzzy sliding mode controller for hydraulic turbine regulating system based on HICA algorithm. Renew. Energy 2019, 133, 551–565. [Google Scholar] [CrossRef]
 - Chen, D.; Ding, C.; Do, Y.; Ma, X.; Zhao, H.; Wang, Y. Nonlinear dynamic analysis for a Francis hydro-turbine governing system and its control. J. Frankl. Inst. 2014, 351, 4596–4618. [Google Scholar] [CrossRef]
 - Zhang, Y.; Chen, T.; Li, J.; Yu, J. Experimental Study of Load Variations on Pressure Fluctuations in a Prototype Reversible Pump Turbine in Generating Mode. J. Fluids Eng. 2017, 139, 074501. [Google Scholar] [CrossRef]
 - Xu, B.; Chen, D.; Tolo, S.; Patelli, E.; Jiang, Y. Model validation and stochastic stability of a hydro-turbine governing system under hydraulic excitations. Int. J. Electr. Power Energy Syst. 2018, 95, 156–165. [Google Scholar] [CrossRef]
 - Li, H.; Chen, D.; Arzaghi, E.; Abbassi, R.; Kilicman, A.; Caraballo, T.; Patelli, E.; Gao, X.; Xu, B. Dynamic safety assessment of a nonlinear pumped-storage generating system in a transient process. Commun. Nonlinear Sci. Numer. Simul. 2019, 67, 192–202. [Google Scholar] [CrossRef]
 - Guo, B.; Xu, B.; Chen, D.; Ye, W.; Guo, P.; Luo, X. Dynamic modeling and energy distribution analysis in a hydroelectric generating system considering the stochastic turbine flow. Int. J. Electr. Power Energy Syst. 2018, 103, 611–621. [Google Scholar] [CrossRef]
 - Guo, W.; Yang, J. Modeling and dynamic response control for primary frequency regulation of hydro-turbine governing system with surge tank. Renew. Energy 2018, 121, 173–187. [Google Scholar] [CrossRef]
 - Rajendran, M.; Parthasarathy, P.; Anbumozhi, R. Robust Analysis of T-S Fuzzy Controller for Nonlinear System Using H-Infinity. In Advanced Engineering Optimization Through Intelligent Techniques. Advances in Intelligent Systems and Computing; Springer: Singapore, 2020; Volume 949, pp. 643–651. [Google Scholar] [CrossRef]
 - Hosseinzadeh, M.; Sadati, N.; Zamani, I. H∞ disturbance attenuation of fuzzy large-scale systems. In Proceedings of the 2011 IEEE International Conference on Fuzzy Systems (FUZZ-IEEE 2011), Taipei, Taiwan, 27–30 June 2011. [Google Scholar]
 - Taniguchi, T.; Tanaka, K.; Ohtake, H.; Wang, H.O. Model construction, rule reduction, and robust compensation for generalized form of Takagi-Sugeno fuzzy systems. IEEE Trans. Fuzzy Syst. 2002, 9, 525–538. [Google Scholar] [CrossRef]
 - Wang, B.; Xue, J.; Wu, F.; Zhu, D. Finite time takagi-sugeno fuzzy control for hydro-turbine governing system. J. Vib. Control. 2018, 24, 1001–1010. [Google Scholar] [CrossRef]
 - Gao, Q.; Zeng, X.J.; Feng, G.; Wang, Y.; Qiu, J. T-S-Fuzzy-Model-Based Approximation and Controller Design for General Nonlinear Systems. IEEE Trans. Syst. Man Cybern. Part B Cybern. 2012, 42, 1143–1154. [Google Scholar] [CrossRef]
 - Li, Y.; Yuan, H.; Yu, J.; Zhang, G.; Liu, K. A review of the application of genetic algorithms to optimization problems. Shandong Ind. Technol. 2019, 12, 242–243. [Google Scholar] [CrossRef]
 - Cheng, L.; Xue, Y. Optimization of Primary Frequency Modulation PID Parameters of Hydropower Unit Based on Particle Swarm Optimization. Qinghai Electr. Power 2019, 38, 27–30. [Google Scholar] [CrossRef]
 - Jiang, C.; Ma, Y.; Wang, C. PID controller parameters optimization of hydro-turbine governing systems using deterministic-chaotic-mutation evolutionary programming (DCMEP). Energy Convers. Manag. 2006, 47, 1222–1230. [Google Scholar] [CrossRef]
 - Yang, W.; Norrlund, P.; Saarinen, L.; Yang, J.; Lundin, U. Wear Reduction for Hydropower Turbines Considering Frequency Quality of Power Systems: A Study on Controller Filters. IEEE Trans. Power Syst. 2016, 32, 1191–1201. [Google Scholar] [CrossRef]
 - Guo, W.; Yang, J. Stability performance for primary frequency regulation of hydro-turbine governing system with surge tank. Appl. Math. Model. 2018, 54, 446–466. [Google Scholar] [CrossRef]
 - Wang, L.; Han, Q.; Chen, D.; Wu, C.; Wang, X. Non-linear modelling and stability analysis of the PTGS at pump mode. Iet Renew. Power Gener. 2017, 11, 827–836. [Google Scholar] [CrossRef]
 - Castronuovo, E.; Usaola, J.; Bessa, R.; Matos, M.; Costa, I.C.; Bremermann, L.; Lugaro, J.; Kariniotakis, G. An integrated approach for optimal coordination of wind power and hydro pumping storage. Wind. Energy 2014, 17, 829–852. [Google Scholar] [CrossRef]
 - Guo, B.; Guo, J. Feedback Linearization and Reaching Law Based Sliding Mode Control Design for Nonlinear Hydraulic Turbine Governing System. Energies 2019, 12, 2273. [Google Scholar] [CrossRef]
 - Yan, D.; Wang, W.; Chen, Q. Nonlinear Modeling and Dynamic Analyses of the Hydro–Turbine Governing System in the Load Shedding Transient Regime. Energies 2018, 11, 1244. [Google Scholar] [CrossRef]
 - Yang, Y.; Wang, B.; Tian, Y.; Chen, P. Fractional-Order Finite-Time, Fault-Tolerant Control of Nonlinear Hydraulic-Turbine-Governing Systems with an Actuator Fault. Energies 2020, 13, 3812. [Google Scholar] [CrossRef]
 - Tian, T.; Liu, C.; Guo, Q.; Yuan, Y.; Li, W.; Yan, Q. An Improved Ant Lion Optimization Algorithm and Its Application in Hydraulic Turbine Governing System Parameter Identification. Energies 2018, 11, 95. [Google Scholar] [CrossRef]
 - Takagi, T.; Sugeno, M. Fuzzy identification of systems and its applications to modeling and control. IEEE Trans. Syst. Man Cybern. 1985, SMC-15, 116–132. [Google Scholar] [CrossRef]
 - Gahinet, P.; Nemirovskii, A.; Laub, A.J.; Chilali, M. The LMI control toolbox. In Proceedings of the IEEE Conference on Decision & Control, Las Vegas, NV, USA, 10–13 December 2002. [Google Scholar]
 - Gahinet, P.; Nemirovski, A.; Laub, A.J.; Chilali, M. LMI Control Toolbox—For Use with MATLAB; The MathWorks, Inc.: Natick, MA, USA, 1995. [Google Scholar]
 - Kennedy, J.; Eberhart, R. Particle Swarm Optimization. In Proceedings of the Icnn95-international Conference on Neural Networks, Perth, WA, Australia, 27 November–1 December 1995. [Google Scholar]
 - Cheng, X.; Chi, J. Optimization of Multi-core Task Scheduling based on Improved Particle Swarm Optimization Algorithm. In Proceedings of the ICIIP 2019 4th International Conference on Intelligent Information Processing, Guilin, China, 16–17 November 2019. [Google Scholar]
 - Rashedi, E.; Nezamabadi-pour, H.; Saryazdi, S. GSA: A Gravitational Search Algorithm. Inf. Sci. 2009, 179, 2232–2248. [Google Scholar] [CrossRef]
 - Zibanezhad, B.; Zamanifar, K.; Sadjady, R.S.; Rastegari, Y. Applying gravitational search algorithm in the QoS-based Web service selection problem. J. Zhejiang Univ. Sci. C 2011, 12, 730–742. [Google Scholar] [CrossRef]
 - Ma, L.; Zhang, P.; Ma, J. Mathematical Model for an Electrode-Type Electric Boiler Based on GSA-optimized Neural Network. In Proceedings of the 2018 14th International Conference on Natural Computation, Fuzzy Systems and Knowledge Discovery (ICNC-FSKD), Anhui, China, 28–30 July 2018. [Google Scholar]
 - Mirjalili, S.; Hashim, S. A new hybrid PSOGSA algorithm for function optimization. In Proceedings of the International Conference on Computer & Information Application, Taiyuan, China, 22–24 October 2010. [Google Scholar]
 - Gandomi, A.; Yang, X.-S.; Talatahari, S.; Alavi, A. Firefly algorithm with chaos. Commun. Nonlinear Sci. Numer. Simul. 2013, 18, 89–98. [Google Scholar] [CrossRef]
 - Gandomi, A.H.; Yang, X.-S. Chaotic bat algorithm. J. Comput. Sci. 2014, 5, 224–232. [Google Scholar] [CrossRef]
 - Duman, S.; Li, J.; Wu, L.; Guvenc, U. Optimal power flow with stochastic wind power and FACTS devices: A modified hybrid PSOGSA with chaotic maps approach. Neural Comput. Appl. 2020, 32, 8463–8492. [Google Scholar] [CrossRef]
 - Barisal, A.K. Comparative performance analysis of teaching learning based optimization for automatic load frequency control of multi-source power systems. Int. J. Electr. Power Energy Syst. 2015, 66, 67–77. [Google Scholar] [CrossRef]
 - Boulkaibet, I.; Belarbi, K.; Bououden, S.; Marwala, T.; Chadli, M. A new T-S fuzzy model predictive control for nonlinear processes. Expert Syst. Appl. 2017, 88, 132–151. [Google Scholar] [CrossRef]
 - Zou, Y.; Qian, J.; Zeng, Y.; Guo, Y.; Wu, M.; Wang, F.; Mei, H. Eigen-Structure Assignment-Based Differential Evolution Algorithm for T-S Fuzzy Control Tuning Applied to Water-Turbine Governing System. IEEE Access 2021, 9, 39322–39332. [Google Scholar] [CrossRef]
 























| No | Chaotic Map | Function | Range | 
|---|---|---|---|
| 1 | Chebyshev | [−1, 1] | |
| 2 | Circle | [0, 1] | |
| 3 | Gauss/Mouse | [0, 1] | |
| 4 | Iterative | [−1, 1] | |
| 5 | Logistic | [0, 1] | |
| 6 | Piecewise | [0, 1] | |
| 7 | Sine | [0, 1] | |
| 8 | Singer | [0, 1] | |
| 9 | Sinusoidal | [0, 1] | |
| 10 | Tent | [0, 1] | 
| Parameters | Value | Parameters | Value | 
|---|---|---|---|
| −1.0 | 2.0 | ||
| 1.0 | 1.35 | ||
| 1.5 | 1.0 | ||
| 0 | 1.15 | ||
| 1.0 | 1.47 | ||
| 0.5 | 30 | ||
| 1.0 | (s) | 1.0 | |
| (s) | 9.0 | (s) | 0.1 | 
| Parameters | Value | Parameters | Value | Parameters | Value | 
|---|---|---|---|---|---|
| 0.0001 | 0.5441 | 0.8000 | |||
| 0.6607 | 0.6039 | 0.3319 | |||
| 0.7500 | 0.0134 | 0.0490 | |||
| 0.1500 | 0.4867 | 0.0915 | |||
| 0.0002 | 0.0288 | 0.0165 | |||
| 1.0000 | 0.4352 | 0.4000 | |||
| 0.0001 | 0.5438 | 0.9824 | |||
| 0.0010 | 0.0001 | 0.0001 | |||
| 0.1500 | 0.0008 | 0.0020 | |||
| 0.0001 | 0.0001 | 0.0001 | 
| T-S Fuzzy LQR Controller | ||
|---|---|---|
| Overshoot (p.u.) | 1.00155 | 1.00153 | 
| Transient time (s) | 3.5 | 1.5 | 
| T-S Fuzzy LQR Controller | ||
|---|---|---|
| Overshoot (p.u.) | 0.9985 | 0.9985 | 
| Transient time (s) | 4.5 | 1.3 | 
Publisher’s Note: MDPI stays neutral with regard to jurisdictional claims in published maps and institutional affiliations.  | 
© 2022 by the authors. Licensee MDPI, Basel, Switzerland. This article is an open access article distributed under the terms and conditions of the Creative Commons Attribution (CC BY) license (https://creativecommons.org/licenses/by/4.0/).
Share and Cite
Li, L.; Qian, J.; Zou, Y.; Tian, D.; Zeng, Y.; Cao, F.; Li, X. Optimized Takagi–Sugeno Fuzzy Mixed H2/H∞ Robust Controller Design Based on CPSOGSA Optimization Algorithm for Hydraulic Turbine Governing System. Energies 2022, 15, 4771. https://doi.org/10.3390/en15134771
Li L, Qian J, Zou Y, Tian D, Zeng Y, Cao F, Li X. Optimized Takagi–Sugeno Fuzzy Mixed H2/H∞ Robust Controller Design Based on CPSOGSA Optimization Algorithm for Hydraulic Turbine Governing System. Energies. 2022; 15(13):4771. https://doi.org/10.3390/en15134771
Chicago/Turabian StyleLi, Lisheng, Jing Qian, Yidong Zou, Danning Tian, Yun Zeng, Fei Cao, and Xiang Li. 2022. "Optimized Takagi–Sugeno Fuzzy Mixed H2/H∞ Robust Controller Design Based on CPSOGSA Optimization Algorithm for Hydraulic Turbine Governing System" Energies 15, no. 13: 4771. https://doi.org/10.3390/en15134771
APA StyleLi, L., Qian, J., Zou, Y., Tian, D., Zeng, Y., Cao, F., & Li, X. (2022). Optimized Takagi–Sugeno Fuzzy Mixed H2/H∞ Robust Controller Design Based on CPSOGSA Optimization Algorithm for Hydraulic Turbine Governing System. Energies, 15(13), 4771. https://doi.org/10.3390/en15134771
        
                                                
