Experimental Study on the Effect of Temperature Up-Step on Human Thermal Perception and Skin Temperature between Activity Intensities at Low Ambient Temperatures
Abstract
:1. Introduction
1.1. Background
1.2. Study Goals
2. Materials and Methods
2.1. Experimental Platform
2.2. Subjects
2.3. Measurements
2.4. Experimental Procedures
2.5. Data Analysis
3. Results
3.1. Thermal Sensation
3.2. Thermal Comfort
3.3. Skin Temperature
4. Discussion
4.1. Time Taken to Reach Steady State
4.2. Difference Analysis of Subjective Evaluation
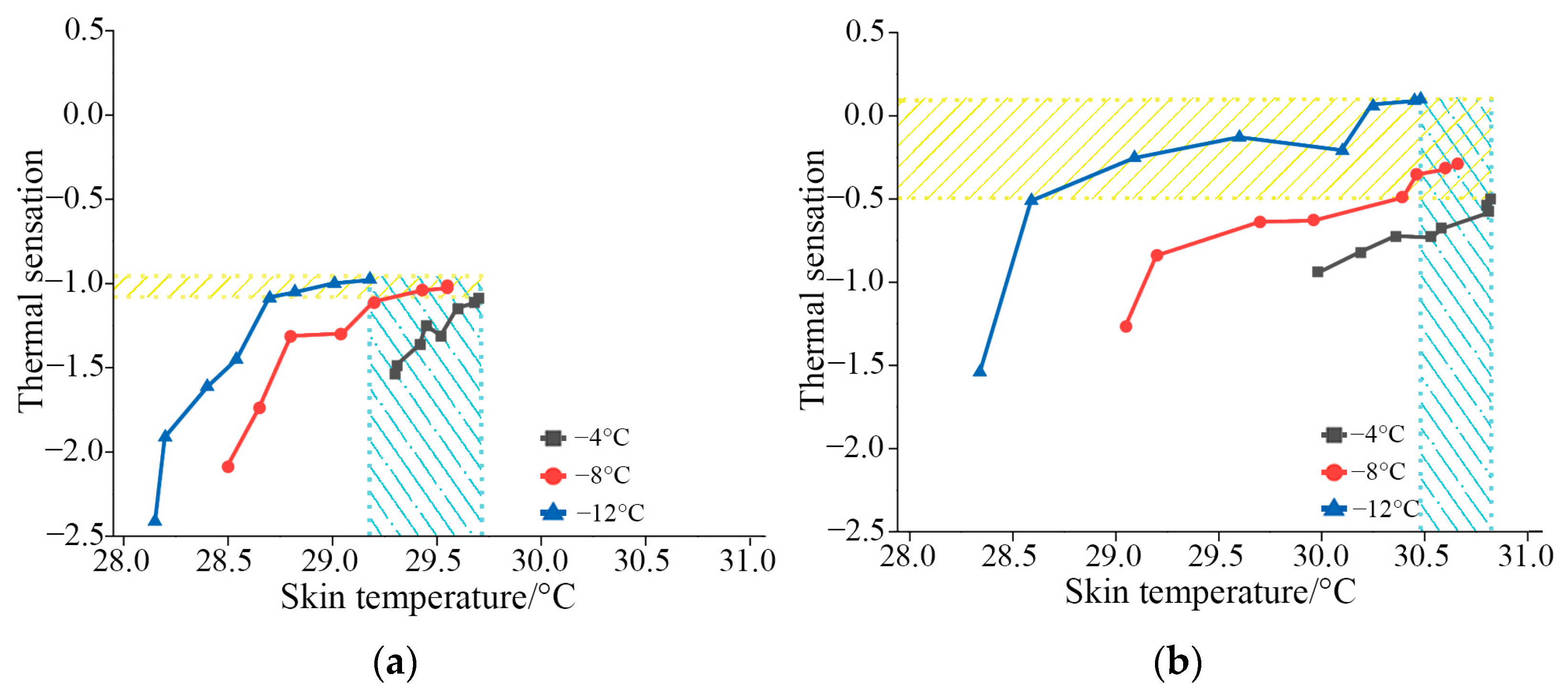
4.3. Relationship between Mean Skin Temperature and Thermal Sensation
5. Conclusions
- (1)
- The analysis of experiment data showed that: for different temperature up-steps, the results for thermal sensation and skin temperatures reach steady state after 30 min. However, the change in human skin temperature caused by a short-term thermal experience did not disappear completely within 40 min.
- (2)
- After temperature up-steps, an “overshooting phenomenon” caused by a short-term thermal experience may appear in thermal sensation and thermal comfort, but not in skin temperature.
- (3)
- The analysis results show that asynchrony exists between psychological and subjective responses. Thermal sensation quickly tended towards steady state under the low activity condition. However, under the high activity condition, the time taken to reach steady state for thermal sensation and skin temperature was almost the same.
- (4)
- Activity intensity plays an important role in the thermal environment design of buildings, as well as temporary rest spaces with a shelter effect. Under the low activity condition, a temperature up-step change had less influence on thermal sensation, but had a greater influence on skin temperature. Under the high activity condition, a temperature up-step change had a greater influence on thermal sensation, but had less influence on skin temperature.
Author Contributions
Funding
Institutional Review Board Statement
Informed Consent Statement
Data Availability Statement
Acknowledgments
Conflicts of Interest
References
- Xi, T.; Li, Q.; Mochida, A.; Meng, Q. Study on the outdoor thermal environment and thermal comfort around campus clusters in subtropical urban areas. Build. Environ. 2012, 52, 162–170. [Google Scholar] [CrossRef]
- Zeng, Y.; Dong, L. Thermal human biometeorological conditions and subjective thermal sensation in pedestrian streets in Chengdu, China. Int. J. Biometeorol. 2015, 59, 99–108. [Google Scholar] [CrossRef] [PubMed]
- Lai, D.; Zhou, C.; Huang, J.; Yi, J.; Long, Z.; Chen, Q. Outdoor space quality: A field study in an urban residential community in central China. Energy Build. 2014, 68, 713–720. [Google Scholar] [CrossRef]
- Wei, Y.; Wong, N.H.; Jusuf, S.K. Thermal comfort in outdoor urban spaces in Singapore. Build. Environ. 2013, 59, 426–435. [Google Scholar]
- Aljawabra, F.; Nikolopoulou, M. Influence of hot arid climate on the use of outdoor urban spaces and thermal comfort: Do cultural and social backgrounds matter? Intell. Build. Int. 2010, 2, 198–207. [Google Scholar]
- Tsitoura, M.; Tsoutsos, T.; Daras, T. Evaluation of comfort conditions in urban open spaces. Application in the island of Crete. Energy Convers. Manag. 2014, 86, 250–258. [Google Scholar] [CrossRef]
- Ozarisoy, B.; Altan, H. Regression forecasting of ‘neutral’ adaptive thermal comfort: A field study investigation in the south-eastern Mediterranean climate of Cyprus. Build. Environ. 2021, 202, 108013. [Google Scholar] [CrossRef]
- Altan, H.; Ozarisoy, B. Dynamic evaluation method for assessing households’ thermal sensation using parametric statistical analysis: A longitudinal field study in the South-eastern Mediterranean climate. In Proceedings of the 14th REHVA HVAC World Congress, Rotterdam, NL, The Netherlands, 22–25 May 2022. [Google Scholar]
- Ozarisoy, B. Assessing the Domestic Energy Use and Thermal Comfort of Occupants in a Post-war Social Housing Development Estate in Famagusta, Northern Cyprus. Ph.D. Thesis, the University of East London, London, UK, February 2022. [Google Scholar]
- Chen, X.; Xue, P.; Liu, L.; Gao, L.; Liu, J. Outdoor thermal comfort and adaptation in severe cold area: A longitudinal survey in Harbin, China. Build. Environ. 2018, 143, 548–560. [Google Scholar] [CrossRef]
- Lu, M.; Hou, T.; Fu, J.; Wei, Y. The effects of microclimate parameters on outdoor thermal sensation in severe cold cities. Sustainability 2019, 11, 1572. [Google Scholar] [CrossRef] [Green Version]
- Gagge, A.P.; Stolwijk, J.A.; Hardy, J.D. Comfort and thermal sensations and associated physiological responses at various ambient temperatures. Environ. Res. 1967, 1, 1–20. [Google Scholar] [CrossRef]
- Velt, K.B.; Daanen, H.A.M. Thermal sensation and thermal comfort in changing environments. J. Build. Eng. 2017, 10, 42–46. [Google Scholar] [CrossRef]
- Xiong, J.; Zhou, X.; Lian, Z.; You, J.; Lin, Y. Thermal perception and skin temperature in different transient thermal environments in summer. Energy Build. 2016, 128, 155–163. [Google Scholar] [CrossRef]
- Mihara, K.; Sekhar, C.; Tham, K.W.; Takemasa, Y.; Lasternas, B. Effects of temperature, air movement and initial metabolic rate on thermal sensation during transient state in the tropics. Build. Environ. 2019, 155, 70–82. [Google Scholar] [CrossRef]
- Qi, L.; Wu, Q.; Zhang, L.; Liu, J. Effect of environmental parameters on heat transfer characteristics and thermal sensation of human body with step change of temperature. Heat Mass Transf. 2021, 58, 873–885. [Google Scholar] [CrossRef]
- Nagano, K.; Takaki, A.; Hirakawa, M.; Tochihara, Y. Effects of ambient temperature steps on thermal comfort requirements. Int. J. Biometeorol. 2005, 50, 33–39. [Google Scholar] [CrossRef] [PubMed]
- Liu, H.; Liao, J.; Yang, D.; Du, X.; Hu, P.; Yang, Y.; Li, B. The response of human thermal perception and skin temperature to step-change transient thermal environments. Build. Environ. 2014, 73, 232–238. [Google Scholar] [CrossRef]
- Xiong, J.; Lian, Z.; Zhou, X.; You, J.; Lin, Y. Effects of temperature steps on human health and thermal comfort. Build. Environ. 2015, 94, 144–154. [Google Scholar] [CrossRef]
- Xiong, J.; Lian, Z.; Zhou, X.; You, J.; Lin, Y. Potential indicators for the effect of temperature steps on human health and thermal comfort. Energy Build. 2016, 113, 87–98. [Google Scholar] [CrossRef]
- Hu, S.; He, M.; Zhang, X.; Guan, H.; Song, P.; Liu, R.; Liu, G. Cold and hot step-changes affecting thermal comfort and physiological indicators in winter. Energy Build. 2022, 254, 111587. [Google Scholar] [CrossRef]
- Xiong, J.; Lian, Z.; Zhou, X.; You, J.; Lin, Y. Investigation of gender difference in human response to temperature step changes. Physiol. Behav. 2015, 151, 426–440. [Google Scholar] [CrossRef]
- Wang, Z.; Yu, H.; Jiao, Y.; Chu, X.; Luo, M. Chinese older people’s subjective and physiological responses to moderate cold and warm temperature steps. Build. Environ. 2019, 149, 526–536. [Google Scholar] [CrossRef] [Green Version]
- Dahlan, N.D.; Ghaffarianhoseini, A.; Hassan, N. Sensory and physiological assessment of spatial transient thermal environment changes at a tropical university campus. Smart Sustain. Built Environ. 2020, in press. [CrossRef]
- Liu, J.; Kang, J.; Li, Z.; Luo, H. Overall effects of temperature steps in hot summer on students’ subjective perception, physiological response and learning performance. Energy Build. 2021, 247, 111124. [Google Scholar] [CrossRef]
- Chen, C.; Hwang, R.; Chang, S.; Lu, Y. Effects of temperature steps on human skin physiology and thermal sensation response. Build. Environ. 2011, 46, 2387–2397. [Google Scholar] [CrossRef]
- Du, X.; Li, B.; Liu, H.; Yang, D.; Yu, W.; Liao, J.; Huang, Z.; Xia, K. The response of human thermal sensation and its prediction to temperature step-change (cool-neutral- cool). PLoS ONE 2014, 9, e104320. [Google Scholar] [CrossRef] [PubMed]
- Zhang, Z.; Zhang, Y.; Ding, E. Acceptable temperature steps for transitional spaces in the hot-humid area of China. Build. Environ. 2017, 121, 190–199. [Google Scholar] [CrossRef]
- Wilson, T.E.; Crandall, C.G. Effect of thermal stress on cardiac function. Exerc. Sport Sci. Rev. 2011, 39, 12–17. [Google Scholar] [CrossRef] [PubMed] [Green Version]
- Kingma, B.; Frijns, A.; Saris, W.; Van Steenhoven, A.; van Marken Lichtenbelt, W. Increased systolic blood pressure after mild cold and rewarming: Relation to cold-induced thermogenesis and age. Acta Physiol. 2011, 203, 419–427. [Google Scholar] [CrossRef] [PubMed]
- Xu, X.; Tikuisis, P. Thermoregulatory modeling for cold stress. Compr. Physiol. 2014, 4, 1057–1081. [Google Scholar]
- Xiong, J.; Lian, Z.; Zhang, H. Effects of exposure to winter temperature step-changes on human subjective perceptions. Build. Environ. 2016, 107, 226–234. [Google Scholar] [CrossRef]
- Xiong, J.; Lian, Z.; Zhang, H. Physiological response to typical temperature step-changes in winter of China. Energy Build. 2017, 138, 687–694. [Google Scholar] [CrossRef]
- Wu, J.; Sun, B.; Hu, Z.; Li, L.; Zhu, H. Physiological responses and thermal sensation during extremely cold exposure (−20 °C). Build. Environ. 2021, 206, 108338. [Google Scholar] [CrossRef]
- Yu, Z.; Yang, B.; Zhu, N. Effect of thermal transient on human thermal comfort in temporarily occupied space in winter–A case study in Tianjin. Build. Environ. 2015, 93, 27–33. [Google Scholar] [CrossRef]
- Lu, P.; Li, J. Acceptable temperature steps for occupants moving between air-conditioned main space and naturally ventilated transitional space of building. Build. Environ. 2020, 182, 107150. [Google Scholar] [CrossRef]
- ANSI/ASHRAE Standard 169; Climatic Data for Building Design Standards. ASHRAE: Atlanta, GA, USA, 2020; p. 99.
- Ji, W.; Luo, M.; Cao, B.; Zhu, Y.; Geng, Y.; Lin, B. A new method to study human metabolic rate changes and thermal comfort in physical exercise by CO2 measurement in an airtight chamber. Energy Build. 2018, 177, 402–412. [Google Scholar] [CrossRef]
- BS EN ISO 7730; Ergonomics of the Thermal Environment—Analytical Determination and Interpretation of Thermal Comfort Using Calcu-lation of the PMV and PPD Indices and Local Thermal Comfort Criteria. BSI: London, UK, 2005; pp. 18–19.
- Standard 55; Thermal Environmental Conditions for Human Occupancy. ASHRAE: Atlanta, GA, USA, 2017; p. 39.
- GB 50736; Design Code for Heating Ventilation and Air Conditioning of Civil Buildings. MOHURD: Beijing, China, 2012; pp. 116–118.









| Gender | No. | Age (Years) | Height (cm) | Weight (kg) | BMI 1 (kg/m2) | As (m2) |
|---|---|---|---|---|---|---|
| Male | 12 | 24 ± 2 | 178.9 ± 5.9 | 74.1 ± 8.6 | 23.2 ± 2.5 | 1.8 ± 0.1 |
| Female | 12 | 22 ± 2 | 165.4 ± 3.0 | 50.0 ± 3.7 | 18.3 ± 1.9 | 1.5 ± 0.1 |
| All | 24 | 23 ± 2 | 172.2 ± 8.3 | 62.1 ± 13.9 | 20.7 ± 3.3 | 1.6 ± 0.2 |
| Measurement | Type | Specification |
|---|---|---|
| Air temperature | BES-02B | Range: −20~70 °C; accuracy: ±0.3 °C |
| Relative humidity | BES-02B | Range: 0~100%; accuracy: ±3% |
| Air velocity | FLUKE 925 | Range: 0 m/s~25 m/s; accuracy: ±0.01 m/s |
| Global temperature | JTR 04A | Range: −20~125 °C; accuracy: ±0.2 °C |
| Skin temperature | PyroButton-L | Range: −10~65 °C; accuracy: ±0.1 °C |
| Conditions | Stage 1 (Room A) | Stage 2 (Room B) | ||
|---|---|---|---|---|
| T (°C) | RH (%) | T (°C) | RH (%) | |
| S0 1: 0 to 0 °C | 0.1 ± 0.3 | 43.9 ± 4.7 | 0.2 ± 0.2 | 42.8 ± 5.5 |
| S4: −4 to 0 °C | −4.1 ± 0.4 | 44.9 ± 5.1 | 0.2 ± 0.3 | 42.3 ± 3.9 |
| S8: −8 to 0 °C | −7.9 ± 0.3 | 45.8 ± 4.6 | 0.3 ± 0.3 | 41.6 ± 3.3 |
| S12: −12 to 0 °C | −12.0 ± 0.3 | 47.0 ± 5.3 | 0.2 ± 0.2 | 43.2 ± 4.2 |
| Conditions | Thermal Sensation | Skin Temperature | ||
|---|---|---|---|---|
| Low Activity | High Activity | Low Activity | High Activity | |
| S4 | 9.72 1 | 16.42 | 14.71 | 17.06 |
| S8 | 9.78 | 25.00 | 25.39 | 27.78 |
| S12 | 15.03 | 26.26 | 27.45 | 26.17 |
| Time (Min) | 0 | 1 | 3 | 5 | 10 | 20 | 30 | 40 | ||
|---|---|---|---|---|---|---|---|---|---|---|
| Thermal sensation | Low activity | S4 | 0.097 | 0.568 | 0.720 | 0.818 | 0.822 | 0.677 | 0.787 | 0.580 |
| S8 | 0.010 | 0.028 | 0.275 | 0.392 | 0.471 | 0.633 | 0.901 | 0.892 | ||
| S12 | 0.006 | 0.016 | 0.019 | 0.019 | 0.411 | 0.499 | 0.320 | 0.744 | ||
| High activity | S4 | 0.055 | 0.688 | 0.914 | 0.745 | 0.844 | 0.701 | 0.689 | 0.592 | |
| S8 | 0.008 | 0.034 | 0.082 | 0.693 | 0.858 | 0.659 | 0.691 | 0.780 | ||
| S12 | 0.000 | 0.000 | 0.011 | 0.014 | 0.036 | 0.056 | 0.126 | 0.134 | ||
| Thermal comfort | Low activity | S4 | 0.067 | 0.123 | 0.278 | 0.256 | 0.387 | 0.635 | 0.882 | 0.972 |
| S8 | 0.008 | 0.014 | 0.047 | 0.095 | 0.198 | 0.104 | 0.581 | 0.673 | ||
| S12 | 0.002 | 0.017 | 0.020 | 0.049 | 0.181 | 0.784 | 0.977 | 0.955 | ||
| High activity | S4 | 0.020 | 0.081 | 0.083 | 0.085 | 0.398 | 0.805 | 0.815 | 0.957 | |
| S8 | 0.001 | 0.009 | 0.023 | 0.057 | 0.101 | 0.320 | 0.358 | 0.696 | ||
| S12 | 0.001 | 0.010 | 0.011 | 0.012 | 0.033 | 0.036 | 0.057 | 0.320 | ||
Publisher’s Note: MDPI stays neutral with regard to jurisdictional claims in published maps and institutional affiliations. |
© 2022 by the authors. Licensee MDPI, Basel, Switzerland. This article is an open access article distributed under the terms and conditions of the Creative Commons Attribution (CC BY) license (https://creativecommons.org/licenses/by/4.0/).
Share and Cite
Luo, P.; Liu, Y.; Wang, H. Experimental Study on the Effect of Temperature Up-Step on Human Thermal Perception and Skin Temperature between Activity Intensities at Low Ambient Temperatures. Energies 2022, 15, 4411. https://doi.org/10.3390/en15124411
Luo P, Liu Y, Wang H. Experimental Study on the Effect of Temperature Up-Step on Human Thermal Perception and Skin Temperature between Activity Intensities at Low Ambient Temperatures. Energies. 2022; 15(12):4411. https://doi.org/10.3390/en15124411
Chicago/Turabian StyleLuo, Peng, Yongxin Liu, and Hao Wang. 2022. "Experimental Study on the Effect of Temperature Up-Step on Human Thermal Perception and Skin Temperature between Activity Intensities at Low Ambient Temperatures" Energies 15, no. 12: 4411. https://doi.org/10.3390/en15124411
APA StyleLuo, P., Liu, Y., & Wang, H. (2022). Experimental Study on the Effect of Temperature Up-Step on Human Thermal Perception and Skin Temperature between Activity Intensities at Low Ambient Temperatures. Energies, 15(12), 4411. https://doi.org/10.3390/en15124411

