Next Article in Journal
Online Estimation of Open Circuit Voltage Based on Extended Kalman Filter with Self-Evaluation Criterion
Previous Article in Journal
Preliminary Results of Biomass Gasification Obtained at Pilot Scale with an Innovative 100 kWth Dual Bubbling Fluidized Bed Gasifier
 
 
Font Type:
Arial Georgia Verdana
Font Size:
Aa Aa Aa
Line Spacing:
Column Width:
Background:
Article

Development and Application of an Open-Source Framework for Automated Thermal Network Generation and Simulations in Modelica

E.ON Energy Research Center, Institute for Energy Efficient Buildings and Indoor Climate, RWTH Aachen University, 52056 Aachen, Germany
*
Author to whom correspondence should be addressed.
These authors contributed equally to this work.
Energies 2022, 15(12), 4372; https://doi.org/10.3390/en15124372
Submission received: 29 April 2022 / Revised: 20 May 2022 / Accepted: 6 June 2022 / Published: 15 June 2022

Abstract

:
District heating and cooling (DHC) networks, and in particular, the fifth generation of DHC networks, offer great potential in increasing the overall system efficiency and reducing CO2 emissions in the heating and cooling of urban districts. Due to the growing complexity of these energy systems, the use of new planning methods, such as the use of dynamic simulation models based on Modelica, becomes more important. However, especially with large, complex thermal networks, there is a high effort for manual model construction and parameterization. For this reason, we present a framework for automated model generation of DHC networks based on simulation models in Modelica written in Python. The core function of the Python framework is to transform a graph representation of a district heating network into a dynamic simulation model. The authors briefly describe the workflow and demonstrate its applicability with three different use cases. We investigate the impact of different design decisions, e.g., comparing the difference between central and decentral pumps as well as a combination of both in one network. In addition, we present the results of evaluating the impact of different network temperature levels or pipe insulation compared to the overall energy supplied to the network, leading to the conclusion that the presented framework is capable of reducing the manual effort for performing DHC network simulations with Modelica and allows to easily perform parameter studies in an early planning phases in the future.

1. Introduction

The current energy transformation in Europe leads to high shares of renewable energies in the market. Between 2004 and 2018 the share of primary from renewable sources almost doubled in the EU [1]. The goal of this transition is to reduce the amount of fossil fuels used in Europe in order to further reduce the impact of energy supply on global climate change. Therefore it is fundamental to reduce the overall energy demand through efficient energy distribution and consumption. Half of the energy used in Europe is applied for heating and cooling of buildings [2,3], from which again 40% is allocated to the residential building sector. This leads to the fact, that the building sector in general has a high share of the total energy consumption. The growing urbanization together with the predicted higher cooling demand [4] will be a major challenge to further reduce the overall energy consumption in the building sector. For this reason, one of the most important challenges for the future will be to develop an efficient method of supplying energy that encompasses the entire process from the energy supply system to the building itself. District heating and cooling (DHC) networks are one key technology to achieve an efficient method for energy supply, especially in urban areas [5]. This is also driven by the trend in the scientific literature that district heating and cooling networks are increasingly seen as a potential for demand-side management through sector coupling, leading to a so-called smart energy system [6,7]. In addition to the efficiency aspects of the supply of heating and cooling, a major task in the decarbonization of thermal networks will also lie in the integration of fluctuating renewables, the use of decentralized heating and cooling sources at different temperature levels, and providing flexibility for the higher-level energy system [8].
As a consequence, new DHC concepts are evolving over the last years, leading to the fifth generation of district heating and cooling systems (5GDHC) [9,10]. This new development of the DHC system will rise the total share of renewables as well as the total efficiency of DHC systems. Hereby, 5GDHC represents a supply concept for districts that, on the one hand, enables the integration of various renewable energy technologies due to the low temperature requirements and, on the other hand, the coupling of electricity, heating and cooling through the operation of decentralized heat pumps and chillers [11,12,13,14]. These networks provide buildings with thermal energy close to the ambient temperature and local heat pumps utilize the fluid with low temperatures as a heat source to lift the temperature level to be suitable for the building heating system. At the same time, the network serves as a sink for waste heat from chillers, refrigeration or heat from other low-temperature sources [13,15]. A comprehensive description and ranking compared to the other generations of DHC systems is represented in Figure 1. It is worth noting that there is an ongoing discussion about the definition of the fifth generation DHC systems in comparison to the fourth generation [16,17]; nevertheless, the authors of this paper continue to use the term fifth generation DHC (5GDHC). From the author’s perspective, the term is already widely used in different publications and the overall concept in terms of the technical design is different enough to argue for a new generation. Whereas the authors agree that the overall ecological goals are the same as in the fourth generation of DHC, the fifth generation can be a side by side technology with the fourth generation. As the development of 5GDHC networks has been strongly intensified in recent years there is still a comparative lack of experience in the design and operation of these hydraulically complex systems [18]. Here, dynamic simulation can provide detailed insights into the system behavior and thus offer new possibilities for designing and evaluating these systems [13].
To date, district heating network design and operation is usually based on static analyses, heuristic design rules and control parameters. The integration of possible renewable heat sources, such as the use of local waste heat, solar and geothermal energy, is becoming more and more important. In particular, due to the fluctuating characteristics of decentralized renewable energy sources, which strongly influence the operation and thus the behavior of DHC networks, the importance of methods that provide knowledge about the systems behavior as well as representations of the dynamic processes also becomes more important. This includes the design of DHC systems as well as the operation and development of control strategies. In this respect, dynamic thermo-hydraulic simulation models offer the possibility to gain an understanding of the dynamic processes of DHC networks. Although various demonstrations for complex DHC networks with high shares of renewable energy sources were already realized [6] and dynamic models have been applied for the design of thermal networks [19], the usage of dynamic modeling of DHC networks during design and operation are still uncommon. One of the main reasons for this is that the modeling process of these systems is often complex and not easy to automate.
One possibility to automate and organize this large and complex data sets are Geographical Information Systems (GIS). GIS are used in many areas of urban planning and urban energy systems planning, providing a central platform for data collection. These data platforms are used, with other applications, to identify and develop energy efficiency strategies for both large-scale and small-scale areas. For example, Byren et al. [20] use GIS as a central component of a socio-economic assessment study to investigate the potential of small-scale renewable energy systems, taking into account life-cycle costs. A GIS-based approach to investigate the potential of the regional renewable electricity production and the resulting developments of combinations of measures at the community-scale is used in [21]. Besides, GIS is already used in the field of planning of district heating and cooling systems, such as GIS-based potential analysis of district heating systems for the entire United States presented by Gils et al. [22]. In particular, the identification of local heat sources and waste heat potentials, such as wastewater [23], are of great importance for the development of 5GDHC, as the integration of these heat sources is a major step towards a renewable heat supply. Therefore, the interface to GIS is an important functionality that enables the use of already existing data as well as the collaboration of different areas of planning of cities and energy systems.
Figure 1. Visualisation of the evolution of district heating and cooling networks, from the 1st to the 5th generation of DHC networks [24].
Figure 1. Visualisation of the evolution of district heating and cooling networks, from the 1st to the 5th generation of DHC networks [24].
Energies 15 04372 g001
Besides dealing with large and complex data sets of DHC systems, another challenging issue is that there is a lack of modular and automated design approaches in the analysis and design of conventional and novel DHC systems. As outlined, dynamic methods are mandatory in order to address the fluctuating dynamics and they can help engineers or researchers to investigate and design such systems via customized software. However, software solutions capable of large and fast DHC simulations are often restricted to limited use cases while charging licences cost for software and support. A few Open-Source tools addressing this problems can be found in [25,26,27].
However, Open-Source solutions for these tools are lacking, making the methods available to everyone, especially researchers who need highly modular and extensible solutions. Addressing the lack of freely available and modular Open-Source tools, in recent years, during the projects IEA-EBC Annex 60 [28] and the follow-up project IBPSA Project 1 [29] the project members worked together to develop models for buildings and urban energy systems in the modeling language Modelica. One result of this cooperation is the development of a thermo-hydraulic pipe model, which is especially designed in order to fulfill the requirements of complex DHC network simulations [30]. Besides, a set of tools has been developed to enable the automatic generation of network system models using GIS-data and object-oriented programming in Modelica even for complex network structures [31]. In addition to the work of IEA-EBC Annex 60 and IBPSA Project 1, Modelica is being used to an increasing extent in the context of thermal network simulation; one reason is the possibility to model components from different domains in an overall phyiscal system model [32]. In this context, Cotton et al. [33] developed a Modelica library based on models from AixLib [34] and the Modelica standard library to model and compare district energy systems and low-temperature networks (LTN). Abugabbara [35] uses Modelica to design and model a 5GDHC system in Lund. In their work, the authors characterizing different components of a 5GDHC system as well as the general approach on the logical progression of modeling 5GDHC. In earlier work we develop and use thermo-hydraulic dynamic simulation models of a 5GDHC system in Modelica to perform simulation studies with the goal to investigate the effect of different configurations, such as different temperature levels [13].
This trend of increased use of dynamic simulation models is also driven by the introduction of the Functional Mock-Up Interface (FMI) standard [36]. The FMI is an independent standard providing an exchange container and interface for dynamic models, thus enabling co-simulations between different tools [32,36]. Using this standard, physical simulation models can be combined with methods of mathematical optimization or other domains to model and simulate complex interconnected systems. Abugabbara et al. [32] gives various examples for the application of the FMI standard and co-simulation in the building sector. In the context of 5GDHC networks, however, the use of FMI is still not very widespread, but offers great application potential due to the high system complexity.
Nevertheless, complex networks, which can be include several energy sources or have a meshed network topology, often lead to large and complex models. Such models typically have a large number of equations, state events, and Jacobian-evaluations, which lead to slow and unstable models. One possibility to improve these models is a time-consuming and expert based model revision with the goal of optimizing the complexity of the equation system. Another option can be the complexity reduction based on a topological and parametric model simplification. This approach has been widely used, for example, in [37]. However, these simplifications often comes with the loss of spatial information and therefore overall accuracy, but for large networks with multiple energy sources, the spatial distribution plays an important role.
Addressing these challenges, this paper presents the underlying methodology, tool structure, and usage of our self-developed Open-Source tool called uesgraphs. An earlier version of this tool is publicly available under https://github.com/RWTH-EBC/uesgraphs (accessed on 1 June 2022) and has been introduced in [31]. However, this version only provides the graph representation of urban energy networks and addresses the representation and data storage of such models. Therefore, in this paper we present the enhancement of the framework to handle multiple types of DHC networks with different interfaces, leading to an automated Modelica simulation model generation, consisting of models from the Open-Source library AixLib but at the same time staying open for any kind of Modelica library. Enabling the import of different GIS formats capable of performing network simplification processes to improve simulation speed, uesgraphs exports a ready to run simulation model which is at the same time open for modifications by the user. Currently, the code is in preparation and planned to be published as a new update using Python 3.9.
The rest of the paper is divided into four chapters. After the introduction, in the methodology section, we describe the overall structure of the developed framework, leading to the interfaces with import and export functions. Subsequently, the simulation models of individual components and the methodology of the automated model generation of DHC system models are described. The presented framework is tested using input data of three different use cases in the context of DHC networks. The whole approach is tested and presented with the results of the three use cases. Finally, the conclusion and an outlook are presented.

2. Methods

The aim of uesgraphs is to create modular and ready to run thermal network simulation models on urban scale in Modelica. The generated models are able to simulate conventional thermal networks as well as fourth or fifth generation DHC networks. The advantage of Modelica in this case is the physics-based modeling approach, which offers great interoperability in combination with a high modularity of the models used, while maintaining high accuracy. Uesgraphs consists of three main parts which will be introduced in more details in the following:
  • The graph framework for data storage and data handling with graph theory based methods [38].
  • Data sources and interfaces to create and fill the graph with real world data, e.g., OpenStreetMaps.
  • Simulation model export based on Mako templates [39] by writing Modelica code.
The graph framework, written in Python, manages all the data handling and data representation. It contains methods for network layout simplification as well as differentiation between various kinds of networks. The data source and interface part is the module of uesgraphs that provides interfaces to other dataformats and data sources such as OpenStreetMaps [40]. The last module of uesgraphs is the simulation model export. This module automates the process of simulation model generation by reducing the amount of user interactions to a minimum. A schema of the workflow used with uesgraphs is shown in Figure 2. In the following, we introduce the listed models of uesgraphs in more detail. Starting with the graph framework, followed by the different data sources and interfaces, and followed by the simulation model explanation and automated model generation.

2.1. Graph Framework

The overall structure of uesgraphs is based on the Python graph framework NetworkX [41] and builds up the core module of uesgraphs. One core feature of it is the data storage and representation of common network topologies for urban energy systems. NetworkX uses nodes and edges to represent a network as a graph. The nodes can be hydraulic network-related nodes such as junctions or bends or energy system-related nodes such as substations of the buildings. The nodes are connected with edges, representing the pipes of the hydraulic network. In addition, NetworkX comes with a few graph-based algorithms which are useful for network representations on an urban scale. For example, functions such as finding the shortest path between two nodes or finding the most peripheral node generate useful information for the hydraulic design of networks. For further in-depth information about the core functionality of uesgraphs, we refer to [38]. As the base framework is modular and supports multiple kinds of network typologies and types, we build up a system model as an inheritance of the uesgraphs class. This new system model class is used to integrate network-specific information and methods. As a first step, the nodes and edges of a network type are converted to specific network components, e.g., in a DHC network, the edges are converted to represent actual pipes and the nodes are the junctions between the pipes. Further, the district heating class for example contains methods to automatically size the hydronic network based on a design pressure loss per pipe meter. Currently, there are three different system models integrated into uesgraphs, district heating, district cooling and a bidirectional model for new generations of DHC networks. With these models, the user can configure one of these networks directly. Nevertheless, the whole framework is open to including, for example, electricity networks as well.
The graph-based framework in combination with the individual system models can therefore provide useful features for the analysis and design of DHC networks. One is the automated pipe diameter design of the networks based on the most peripheral substations together with a design pressure loss the user is able to set. Besides that, network simplification is an essential feature for the efficient simulation of large-scale DHC systems. Therefore, uesgraphs analyzes the graph and creates a simplified representation by taking all relevant thermo-hydraulic parameters into account. A detailed description of this process can be found in [42].

2.2. Data Sources and Interfaces

The handling of network data in a graph framework for automated model generation and simulation is one core module of uesgraphs. The other one is the provided data sources and interfaces. Most other tools for thermal network simulations are using GIS representations of their networks as a basis for generating the simulation models. Uesgraphs on the other hand provides not one data source but several interfaces to common geo data sources such as OpenStreetMap, QGIS [43] or dxf files. The overall architecture of uesgraphs is open to any kind of data source which can be integrated via a custom interface. The most basic method of creating a new network structure with uesgraphs is to define the corresponding nodes and edges step by step and provide all necessary information by hand, meaning that the modeler needs to define every position of the nodes and every edge between the existing nodes. In addition, the modeler needs to provide information about the nodes and edges, e.g., if the node is a building or a supply unit. Besides this manual method of generating networks, uesgraphs provides an interface to QGIS and OpenStreetMaps, data models introduced in the following. OpenStreetMaps provides the possibility to download a specific map detail under https://www.openstreetmap.org/export (accessed on 1 June 2022). This map raw data can be imported by the uesgraphs import functions. Uesgraphs is able to detect buildings and their position as well as streets, represented with nodes for the street junctions and edges for the street itself. An example provided by the example section of uesgraphs is shown in Figure 3. It represents the imported streets of a OpenStreetMaps representation of one RWTH research campus in Aachen, Germany. The buildings detected by the import method are shown in orange, whereas the streets and corresponding street nodes are shown in grey. For Figure 4, a DHC network was generated automated via uesgraphs based on the existing streets and connecting all larger buildings.
The third approach for modeling and creating network structures for the work with uesgraphs is to use a GIS representation of the considered network. QGIS is a free and Open-Source GIS software, supporting many GIS-related application scenarios. For the use with uesgraphs, the user needs to draw the network in QGIS or import other GIS data formats into QGIS. Afterward, the network topology and additional defined parameters can be exported as GEOJSON. This GEOJSON is then imported into uesgraphs.

2.3. Model Export

This section provides information about the automated model generation process, from the graph data to ready-to-run Modelica simulation models. For a better understanding, this section includes the used models, starting with the conventional and fourth-generation DHC network simulation models implemented via the Modelica library AixLib. This is followed by an overview of simulation models for the fifth generation DHC networks, and an outline of the export process. At the end of this section, we elaborate on the modular export, making it easy for other users to use their own simulation models.

Conventional DHC Dynamic Simulation Models

This section describes the models used for dynamic simulation of conventional DHC networks, divided into the main components of a thermal network. The used components for the dynamic simulation are thermo-hydraulic models, developed in the versatile, and multi-physics modeling language Modelica. In the following, a short summary of the main components is outlined. Mans et al. [42] already described the used components in more detail.
The overall simulation model for DHC networks is basically defined by three different components:
  • Substations, representing the consumer (or prosumer) within the network.
  • Supply, providing heating or cooling to the network.
  • Pipes and junctions, connecting the substations and supply to one network.
An exemplary overview of these three components connected to one simulation model is figured in Figure 5, showing the icons for the corresponding Modelica models. In the upper area on the left side, the supply to the flow lines can be seen. The two return pipes are located in the lower part of the figure, whereas the used substations are located in the middle between the flow and the return pipes. One pipe exemplary shows the connection to a simplified RC model representing the heat exchange with the surrounding soil. The remaining models are inputs, used to define the simulation model boundary conditions.
The individual component models are connected to each other by fluid connectors, developed in the Annex 60 project [44]. The connectors handle and exchange the fluid state, including the mass flows, pressures and enthalpy of the underlying medium model for each Modelica fluid component. All used component models are developed within the Modelica libraries IBPSA [28] and AixLib [34].

2.4. Fifth Generation Dynamic Simulation Models

In 5GDHC models, the substation models are more complex compared to conventional networks. They represent the buildings connected to the network as well as the equipment installed in the substations. This includes not only heat pumps, heat exchangers, and chillers but also the distribution pumps, which are required to provide the mass flow for heating and cooling applications. Figure 6 shows a schematic illustration of a 5GDHC substation with a heat pump, chiller, and decentralized distribution pumps.
The demand profiles are also inputs of the 5GDHC substation models. These profiles are used in the substations for the equation-based control of mass flows. To this end, the required mass flow is calculated on the basis of the current heating or cooling demand by specifying a temperature difference between flow and return and passed on to the pump models. For modeling the heat pumps and chillers within the substations, a power curve based on the Carnot efficiency is used. In these models, the coefficient of performance (COP) is calculated as a function of the source and sink temperature using a Carnot effectiveness of the heat pump or chiller.
The main function of the central supply unit, or central balancing unit, is to ensure that the limits of the network temperatures are not exceeded. Therefore, the model contains two heat exchangers for heating and cooling. The direction of flow within the central supply unit is determined by the buildings and indicates whether the current demand for heating or cooling is predominant. In the case of a predominant heat demand, heat must be added to the network; in the case of a predominant cooling demand, heat must be extracted from the network accordingly. As long as the network temperatures are within the defined temperature range, the heat exchangers neither add nor remove heat from the network. The model of the central supply unit allows to simulate the required heating and cooling supply without considering specific equipment for heat and cold generation.

2.5. Modelica Model Export

The Modelica model export of uesgraphs is the core functionality of this framework. It enables the user to use Python and Modelica for a rapid generation of simulation models for energy system analysis. The export itself follows the following procedure:
  • Template generation based on OpenModelica;
  • Template and model selection;
  • Template rendering.
First, the template, which takes part in the information mapping between the Python network representation and the described simulation models, needs to be generated. Therefore, uesgraphs comes with the functionality to use OpenModelica and its Python API to automatically generate Mako templates [39] based on the actual Modelica simulation model. The Mako template represents the Modelica model with a certain placeholder for necessary parameters. These necessary parameters need to be set in uesgraphs and can then be mapped to the Mako template automatically. After the template for the simulation model is created, the user can select one of these templates for each part of the network system. This leads to the selection of templates for the pipes used, the substations and supply used, and the model used for the calculation of heat losses to the ground. The last step of the model export is the rendering of the template itself and the generation of all necessary input files. To do this, uesgraphs exports all building requirements into human- and software-readable text files and renders the Mako templates with the information entered by the user. An example of such a rendered parameter is the individual heating system temperature on the secondary side of each building. Models for the simulation of conventional and fifth generation DHC networks are already implemented in the AixLib and also supported as templates by uesgraphs. To give an in depth overview of the capability of the tool in combination with the Modelica modeling language, we elaborate on three selected use cases in the following application section. These use cases are different in terms of network type, size, and structure and will be analyzed under different research aspects in the context of DHC networks.

3. Use Cases and Results

In the following, we demonstrate the capabilities and usability of uesgraphs through three use cases. The first use case demonstrates the application of the tool within the international IBPSA Project 1, a collaboration of different universities and industry partners working on the enhancement of Modelica in urban energy systems simulations. Uesgraphs is used to represent the first prototype of the DESTEST (District Energy Simulation Test) and via uesgraphs we generated the fully automated model for DESTEST. In the second use case, we demonstrate the usability of uesgraphs for a small city district of newly built residential buildings. All buildings are supplied with a 5GDHC network with the use of shallow geothermal energy as an energy source. In the third use case, we demonstrate the capability of easily performing parameter studies with the help of uesgraphs and the Mako template-based Modelica Code generation in the context of a 5GDHC network. In addition, this case conducts a comparison of an automated network generation with the modeling by hand.

3.1. Use Case 1: Application to an Open-Source Benchmarking System—IBPSA Project 1 DESTEST

The first use case is based on the 16 buildings introduced as the IBPSA Project 1 DESTEST [45]. The purpose of the network is to create a reusable and comparable network layout for DHC modeling approaches. Therefore, the network layout and its boundaries are kept quite simple. The network consists of two branches within a neighborhood structure connected to all 16 buildings. This use case is used to test and demonstrate the capability of uesgraphs to create, parameterize and automatically export conventional DHC simulation models. Therefore, the available layout and all given parameters are processed to uesgraphs with a manual script-based method. After creating a graph with all necessary information, uesgraphs automatically generates the necessary Modelica code for the simulation, as described in Section 2. As described in DESTEST [45], the substations of each building are modeled with a defined temperature difference of 20 K between the supply and the return pipe with a minimal bypass flow of 0.002 kg/s. The central supply is defined with a fixed flow temperature of 50 °C. The pipe sizing used for the use case is also described in [45].
The layout of the use case is shown in Figure 7, where 16 connected buildings are marked as grey points and the connected central supply is marked as a deep red dot. The network structure with diameters and length as well as insulation information is set according to the DESTEST description [45]. The building heat demand profiles are also set to the available profiles that emerged from the DESTEST description. The used simulation models are designed with the available models of the AixLib [34] and parameterized according to the available information. That includes the use of a plug-flow pipe model, a central supply with an ideal heater set to 50 °C and a substation model with an ideal heat exchanger and an ideal pump. For the automated approach of the model generation via uesgraphs, uesgraphs first reads all available pipe information and creates the shown graph representation of Figure 7. After modeling the pipe, supply, and substation model, uesgraphs automatically creates Mako templates with the help of the OpenModelica Python interface. With that, uesgraphs is able to use these templates to export a ready-to-run simulation model.
DESTEST is developed to create a comparable simulation setup and was recently enhanced with an automated results comparison tool (available: https://github.com/ibpsa/project1-destest, accessed on 1 June 2022). For the presented use case, the results of the simulation setup are automatically compared with the provided comparison framework. Figure 8 shows the heat injection at the central supply station within the district. The framework compares the heat provided by an ideal heater dynamically for one exemplary day in winter. It becomes apparent that the AixLib modeling approach (blue line) meets the IBPSA Library results and proves that the automated network export approach is working properly. The AixLib modeling approach shows the same error as the IBPSA Library Model to the reference results which represents the mean of all results.

3.2. Use Case 2: Design Evaluation of Ultra Low District Heating Network

The second use case is a fifth generation DHC network built in the town of Schleswig in the northern part of Germany. It is a residential neighborhood of 50 buildings connected to an ultra-low-temperature district heating network (ULTDH) with a network length of about 1.3 km. The heat sources for the network are 100% renewable shallow geothermal energy combined with two different designs of ice storage [46]. Thereby, the aspired flow temperatures are around −2 °C to 10 °C, combined with heat pumps in every building, providing the necessary temperature levels for space heating and domestic hot water. The possibility to use the network as a direct cooling source is not mandatory for the building owners, but this option is provided by the energy supplier and can help to increase the overall efficiency of the network by using the ice storage as seasonal heat storage. Therefore, this network is characterized as a directed bidirectional low-temperature network. The predicted heat loads of the buildings were calculated within the ErdeisII [47] (Grant N. 03ET1634A-E) project by the Institute of Building Climatology, TU Dresden and are used within this use case.
As elaborated in use case 1, where uesgraphs is used for the design, simulation, and comparison of smaller conventional DHC networks, the following section presents the application of uesgraphs to help design a ULTDH network in an early stage of the planning process. The scope of the investigation is to evaluate the influence of different diameter selections on the overall pumping power as well as the necessary maximum pressure of the pumps. This investigation is presented with both a central pumping system as well as multiple decentralized pumps, one for every building. In addition, a combination of both, decentralized pumps combined with a central pump for maximum loads, is presented.
To support the planning process of the ULTDH network with digital tools, several simulation studies are carried out for a neighborhood shown in Figure 9 to evaluate the network hydraulics. Initially, four different design variants are distinguished. Variant (a) represents a design dimensioning with maximum heating demand of all buildings and a nominal pressure loss of 100 Pa/m. Accordingly, this is the largest dimensioning of the pipes shown and simulated and represents a light over-sizing compared to the following variants. Variant (b) uses the pipe dimensioning proposed by a specialist and is called the design draft. Variants (c) and (d) reduce this proposed design for each pipe section by one and two nominal sizes, respectively, and represent a light or heavy under-sizing. For example, DN 125 pipelines become DN 100 and DN 80 pipelines, respectively. Accordingly, variant (a) is oversized and variants (c) and (d) are undersized compared to the reference design case.
For the centralized pump case, a differential pressure control is implemented in single-family house (SFH) 39 (representing the most peripheral substation). There, a minimum of 0.2 bar is implemented as a design pressure drop over the substation. The corresponding valve is controlled via a temperature difference controller with a design temperature difference of 3.5 K between the flow and return pipe.
Figure 10 shows an exemplary week in march, where the pressure head of the central pump is marked as red. The mass flow over the most peripheral substation is marked as green whereas the pressure drop over the substation is marked as blue. The figure shows the influence of the valve opening of the substation on the central pump’s pressure head. During the opening process, the mass flow through the valve raises as well as the central pressure head to account for the additional pressure losses due to the higher flow rates.
The control of the decentralized pumps is implemented with the same principle, as a return temperature control. Here, a temperature difference across the substation of 3.5 K is aimed for. The controlled variable of the decentralized pumps in the simulation model is the mass flow, which is adjusted accordingly with the associated pressure increase. All simulations were performed as a heat-only case, with hourly profiles [47]. All substations are meeting the desired heat demand with an idealized carnot efficiency based heat pump.
The results of the different design scenarios with a central pump are summarized in Table 1. The annual pumping work of the central pump, the maximum pressure head of the pump and the mass flow rate prevailing during this process are evaluated. The results of the simulations obtained with decentralized pumps are shown in Table 2. Since each decentralized pump delivers the corresponding mass flow required for return temperature control, a corresponding pressure head is generated by the pump. The highest pressure increase is required in building SFH 39, the most peripheral substation, and the specified mass flow refers to that substation.
The results show that the reference design draft in both cases represents a good trade-off between the expected pumping work, the pressure head of the pump, and the selected pipe diameters. The slight over-sizing allows energy savings, but in some pipes larger diameters are required compared to the reference case, which can lead to increased costs. A smaller dimensioning of the network, on the other hand, is not recommended under the simulated boundary conditions, since the required energy demand of the pumps as well as the required pumping capacity increases significantly.
Based on the simulations performed, the proposed design draft of the piping network is recommended. Slight oversizing of the network in comparison could reduce the pumping energy, but also leads to increased costs for the piping. This effect must first be evaluated and weighted. The choice of a smaller diameter than planned as the draft design is not recommended, since the disadvantages of a greatly increased pumping energy and the correspondingly increased pressure head of the pumps outweigh the benefits here. The simulation results also show that, from an energy point of view, a decentralized pump supply performs better compared to a centralized pump. The disadvantage of a purely decentralized supply is the more difficult assurance of supply security. The brine pumps of the used heat pumps have a flow rate of 1.2 m 3 h at a pressure head of 0.56 bar. Compared to the required pressure difference at the network substations of 0.66 bar in the case of the highest heating demand, a temporary undersupply of the building could occur here due to a pump malfunction. Accordingly, pure operation with decentralized pumps is not recommended in terms of supply security.
This leads to the third investigation scope, a hybrid solution with decentralized pumps with the help of a central pump at the supply station. In order to be able to use the advantages of the decentralized pump supply (lower energy demand) in combination with the advantages of the central pump supply (supply security), a simulative investigation of a hybrid supply concept is carried out. Here, the decentralized pumps are supported by a central pump in the supply station, especially at times of high loads. For the simulation, the central pump was configured to operate from the beginning of October to the end of March, thus supporting the decentralized pumps during heavy load periods in winter. The control strategy during this period was set to provide a minimum pressure head which equals the total pressure losses within the supply station. This includes all pressure losses from the swallow geothermal heat collectors as well as the two ice storages. The total amount of energy required by the central as well as the decentralized pumps, in this case, is 799 kWh and thus corresponds to an increase of 7 kWh compared to the total amount of energy required for the pure decentralized supply. In this case, the pressure difference required at the most peripheral substation at the time of greatest heat demand is 0.51 bar, representing a reduction of 0.15 bar. This reduction is primarily due to the effect that the decentralized pumps in the heavy load case now no longer have to overcome the pressure losses of the supply, but only have to overcome the pressure losses of the substations and the pipe network. The comparison for an exemplary week in January is shown in Figure 11. The implementation by means of a combined pump concept thus offers the possibility to combine the advantages of both supply concepts and is recommended on the basis of the simulations carried out.
The results of this use case demonstrated the applicability of uesgraphs in an early design phase of a ULTDH network. In this case, uesgraphs helped to identify a good solution for the planned network sizing and hydronic configuration under energy efficiency and supply security aspects.

3.3. Use Case 3: Verification by Manually Generated Model and Simulation Study on System Variants

The third use case describes an urban district in Germany, which will be transformed from an existing purely residential district into a larger mixed-used district for residential and non-residential. The expansion of the district will result in 15 building clusters with a total net floor area of 900,000 m². Figure 12 and Figure 13 show the graph representation of the district with the location of the building clusters (C1–C15), the pipe network as well as the location of the central supply unit (S1) before and after network simplification by uesgraphs.
To supply the buildings with heating and cooling energy, a 5GDHC network with a total pipe length of 11.5 km is planned. The network is designed as a non-directed bidirectional low-temperature network, which is simultaneously used to supply the buildings with heat and cold. Therefore, the thermal network has warm and cold lines which are both operated at temperatures close to the ambient temperature. Decentralized heat pumps are used at the substations of each cluster, which raise the low network temperatures to the temperature level required in the buildings. The load profiles of the buildings for space heating and cooling are generated using dynamic building simulations. For this purpose, models of the Modelica library AixLib [34] were used, which are parameterized with the Python tool TEASER [48]. Figure 14 shows the total thermal demands for heating and cooling of all buildings as daily mean values. The annual demand for heating and cooling of the district is 18.3 GWh respectively 9.3 GWh. Additionally, Figure 15 shows the annual course of the district’s demand overlap coefficient (DOC) as daily mean values, the annual mean value amounts to 0.43. The DOC according to Wirtz et al. [24] describes the simultaneous occurrence of heating and cooling demands and is a key performance indicator for evaluating the energy efficiency of bidirectional low-temperature networks.
The main objectives of this use case are on the one hand to validate the automated model generation by uesgraphs by comparing it with a manually generated model, and on the other hand, the dynamic simulation model is used to compare different system configurations. Here, the focus is on energy efficiency and on maintaining the cold water temperature at the clusters, which is important for the design operation because only direct cooling is provided. The models of the individual system configurations were generated by changing the corresponding parameters at the beginning of the automated model generation using uesgraphs.
First, the automated model generation of an undirected bidirectional low-temperature network using uesgraphs is verified by comparing the simulation results with a manually generated model. Secondly, the uesgraphs model is used to investigate different system configurations of the thermal network. In particular, the effect of laying depth, insulation of the pipe network, as well as the impact of cold line temperature on the energy efficiency and the cold water temperatures at the building clusters are key investigations.
The first step for the generation of the dynamic simulation model of the thermal network is a graph drawn with the program QGIS as shown in Figure 12. This graph represents the thermal network with 45 edges connecting the 15 building clusters (C1–C15) and the central supply unit (S1). Through the step of network simplification described in Figure 2 the original 45 edges are combined into 30 edges which leads to the layout shown in Figure 13. This graph is used for the model generation with uesgraphs as well as the construction of the manual model. Thus, it is necessary to parameterize a total of 30 pipe models each for the warm and cold lines of the network, which results in a high effort for the manual model generation. In uesgraphs the pipe lengths are calculated using the coordinates of the individual nodes in the coordinate system epsg:4326. The pipe lengths calculated in QGIS are used for the parametrization of the manual model. Compared to the total pipe length of 11.5 km determined in QGIS, the total pipe length of the network calculated by uesgraphs is 11.57 km. Therefore, the different approaches result in a small deviation of approx. 0.6%.
The comparison of the simulation results of both models shows that both models represent the thermo-hydraulic system behavior equally. Small differences result from the minimal length deviations of individual pipes, but these differences can be neglected since they are of a small magnitude. Nevertheless, there are differences on the numerical side due to the different methods of modeling, which are summarized in Table 3. The most important result of this evaluation is that the automatically generated model has longer simulation times. In this use case, the difference in computing time is about 11.5% in relation to the computing time of the manual model. One possible reason for this increase in simulation time is the generation of submodels that are used for the automated model export. Here, the thermo-hydraulic network model is generated in a submodel and connected on a higher level with the inputs, i.e., the demand profiles of the building clusters as well as the set temperatures of the central supply unit. In contrast, in the manually generated model, the simulation inputs and the simulation model itself are on the same model level. Due to the differences in computational time, it can be seen that there is still potential for reducing the computational time of the simulation models generated by uesgraphs, for example, by using alternative model generation procedures. Nevertheless, since the automatically generated model correctly represents the thermo-hydraulic behavior and because the slightly longer computational times of this model are in contrast to the much lower manual modeling times, the automatically generated model is used for the following simulative investigation of the 5GDHC network in use case 3.
The dynamic simulation model is used to investigate and compare different system configurations. Starting from a baseline scenario, different system configurations are simulated and their impact on the system behavior and energy efficiency is evaluated. One key aspect of the investigation is the temperature of the cold line at the substations. Because the cold line is used for cooling directly, i.e., without further temperature reduction by decentralized chillers, the temperatures have to be below 14 °C. The most important system parameters of the baseline scenario are summarized in Table 4. In this scenario, the pipe network is installed at a depth of 1 m without pipe insulation.
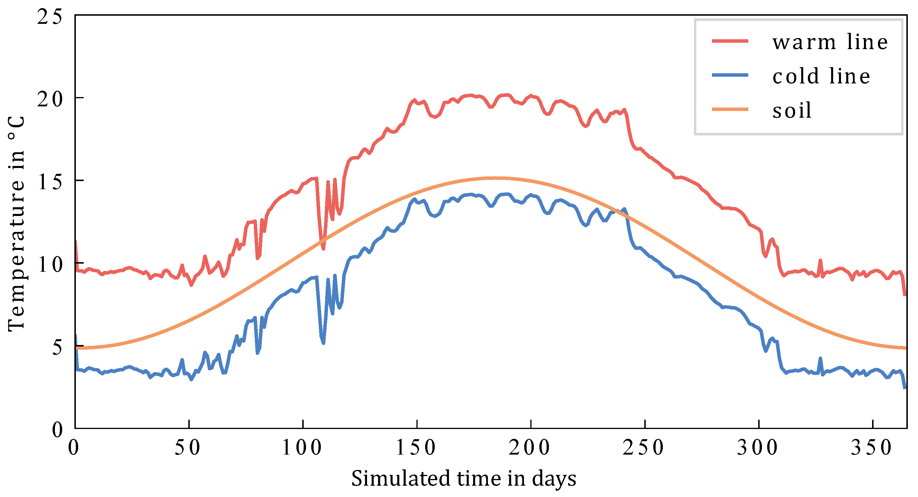
Figure 16 and Figure 17 show on the one hand the heat and cold supply of the central supply as well as the temperatures of the warm and cold lines and the surrounding soil used for heat loss calculation. As expected, the district shows a predominant heat demand in winter and in summer a predominant cooling demand. In order to avoid excessive cooling down of the network in the winter due to the high heat consumption of the clusters, heat is fed into the network in winter through the central supply unit, thus ensuring a minimum temperature of the warm line of 10 °C. In summer, the district has a predominant cooling demand, i.e., more waste heat is fed into the network by the clusters. This leads to an increase in network temperatures. In order to enable direct use of the cold line for the cold supply of buildings in summer, a maximum permissible cold line temperature of 15 °C must be guaranteed at the substations. For this purpose, heat is extracted from the network by the central supply and water is fed into the cold line at a maximum temperature of 14 °C (see Figure 17). The temperature difference between the warm and cold lines results from the operation of the substations, returning the water to the network at a reduced temperature in heating mode and at an increased temperature in cooling mode. Besides network temperatures, the temperature differences at the substations have a significant impact on mass flows within the thermal network and are set for both heating and cooling at 6 K. In the transition periods between winter and summer operation, it is possible to balance out most of the buildings’ thermal demands within the bidirectional network so that the central supply of heat or cold to the network during these periods is very low. The effect of energy balancing in bidirectional low-temperature networks is described in Blacha et al. [13] and Wirtz et al. [24]. Overall, the baseline scenario has annual heat and cold supply of approx. 13.3 GWh and 3.0 GWh, respectively, as summarized in Table 5.
In addition to the energy efficiency of the 5GDHC network, the temperatures of the cold line at the clusters are important for the designed network, due to the direct use for cooling. For this reason, the cold line temperatures are examined in more detail, Figure 18 shows the temperature curves of the warm and cold line at cluster C9. This cluster has the longest distance to the energy supply and shows in summer the highest cold line temperatures of all clusters. The peak temperature at C9 is 17.1 °C and is therefore 3.1 K higher than the feed-in of 14 °C. Considering the temperature curves in Figure 17 and Figure 18, it becomes apparent that the pipeline temperatures depend strongly on the temperature profile of the surrounding soil. This observation is very important for network operation, so different options for reducing the cold line temperature are investigated in the following.
Due to the laying depth of 1 m, comparatively high soil temperatures occur in summer, which results in a heat input into the uninsulated pipe network. Since these temperatures are too high, different possibilities for lowering the cold line temperature at the clusters are examined in the following:
  • Cold line feed-in with 11 °C
  • Laying depth of 2 m
  • Pipe insulation of 5 cm
First, the cases of a lower supply temperature in the cold line and an increase in the laying depth to 2 m are investigated. In both cases, the pipe network is still uninsulated. The decrease of the feed-in temperature into the cold line results in clusters near the central supply being provided with lower cold line temperatures. However, as shown in Figure 5, the temperature at cluster C9 is only 0.1 K lower than in the baseline scenario due to the long distance from the central supply. At the same time, the higher temperature difference to the surrounding soil in summer results in a higher heat input into the network, so that the cold supply increases by approx. 20% compared to the baseline. Overall, this result shows that the temperatures of the cluster located at a great distance from the central supply are determined much more by the soil temperatures and thus by the heat losses/inputs of the soil than by the operation of the central supply.
Another design option is to lower the laying depth instead of lowering the feed-in temperature at the central supply. The comparison of the soil temperatures at a depth of 1 m (Figure 17) and 2 m (Figure 19) shows that the soil temperature at a depth of 1 m varies much more in the course of the year. Especially the minimum temperatures in winter are much lower and the maximum temperatures in summer are much higher. This results in higher heat losses in the network in winter. Since the demand for heat is predominant in this period, higher heat losses of the network lead to an increase in heat supplied to the network. In summer, the higher soil temperatures at a laying depth of 1 m result in increased heat input to the cold line of the network, which results in a higher annual cooling demand and higher cold line temperatures at the clusters. As shown in Table 5, the lowering of the laying depth leads to reductions in the central heat and cold supply as well as a significantly lower cold line temperature at cluster C9.
The last system configuration investigated comprises the installation of a 5 cm pipe insulation. Therefore, the simulation results make it possible to compare the effect of insulation of the pipe network with the lowering of the laying depth to 2 m. For this purpose, the heat losses of the pipe network for both scenarios are shown in Figure 20. The simulation results show that insulation of the pipe network reduces the heat losses/gains of the network in winter as well as in summer. The lower heat losses in winter lead to a reduction in the amount of heat that has to be supplied to the network. In summer, on the other hand, the heat losses of the network have a positive effect on the energy balance of the network, as there is a predominant cooling demand and heat has to be extracted from the network. For this reason, the system with pipe insulation has the lowest heat demand, but at the same time, a higher cooling demand compared to the baseline scenario.
The comparison of the four investigated options in Table 5 shows that the best results in terms of energy efficiency and cold line temperature are achieved by lowering the laying depth of the piping. The results of this use case show that the model of the 5GDHC network generated automatically by uesgraphs enables the investigation of important issues and thus already provides important knowledge in the planning process. By changing specific parameters, uesgraphs can be used to automatically generate models that enable rapid investigation of various system configurations. In addition, the comparison with the manually generated model for the district in use case 3 showed that the automated model generation works correctly and thus saves a lot of manual work.

4. Conclusions and Outlook

District heating and cooling networks are a promising technology for reducing energy consumption and emissions in the heating and cooling of urban districts. In particular, the introduction of the fifth generation of DHC networks offers great potential for improving the efficiency of districts energy supply by integrating waste heat sources and balancing energy between buildings across the thermal network. The modeling language Modelica is increasingly used in the context of thermal network simulation since it offers the possibility to model components from different domains in a physics-based interconnected system model.
For this reason, this paper presents a framework for automated model generation for rapid prototyping as well as detailed analyses of DHC networks based on dynamic simulation models in Modelica. The implemented methods within the framework were explained; they contain the graph framework for the network representation, different data interfaces for network data import and export, as well as the Modelica model export with the use of Mako templates.
The applicability of uesgraphs for different modeling approaches and network types is demonstrated using three different use cases. The first use case explained the capability of uesgraphs to generate and simulate the DESTEST. A fourth generation district heating network with the focus on comparing different Modelica simulation models in the field of district heating network simulation.
The second use case demonstrated the use of uesgraphs in an early design phase for a residential ultra-low temperature network in Germany. The presented simulations investigated different design options and the hydraulic behavior of the network with the use of decentralized pumps, central pumps, or the combination of both. The presented results lead to the conclusion that the advantages of decentralized pumps in terms of energy efficiency overweight, but the supply security of every building needs to be raised by the additional use of a central pump, supporting in times of high demand.
The third use case deals with a 5GDHC network and compared the manual model generation with the automated model generation approach implemented in uesgraphs. Therefore, the dynamic simulation of the DHC network is based on component models of the AixLib Modelica library. Heating and cooling demand profiles required as inputs for the simulation are determined using the Python tool Teaser. The comparison showed that the overall model complexity increased slightly due to necessary submodels, which are used in the automated model generation. Thus, the simulation time also increased slightly but was still underweight compared to the manual modeling time. The third use case also compared the energy efficiency of an undirected, bidirectional low-temperature network. The simulation study showed that there are multiple parameters influencing the energy efficiency of a 5GDHC network. Therefore, the impact of the pipe insulation, the pipe laying depth as well as network temperatures was investigated. In the presented use case, a deeper pipe laying depth of 2 m is the best option to meet the most energy-efficient use of the network. This use case demonstrates how uesgraphs can be used to generate and investigate parameter studies of complex DHC networks in order to provide important knowledge for the planning process.
The presented framework with the corresponding workflow also has some limitations. First, the framework does not provide the ability to perform DHC network simulations by itself. It is a framework to handle DHC network data in a structured way and is able to perform an automated export process by generating Modelica model files. For the simulation of these files, a suitable simulation environment for Modelica needs to be used; in our case, it is tested with Dymola 2021. Second, the overall complexity of the generated models and thus the complexity (size and branch structure) of the underlying network is limited. uesgraphs provides some functionality to reduce the complexity in an automated process, but with a very large DHC network, the simulation, with the models we presented and use, will not be possible. In the current state, we did not meet this limit, but we also did not perform a simulation larger then 100 substations.
In the research field of novel DHC systems, automated model generation is a promising, and in some cases even necessary, a method for rapid prototyping and perform simulation studies. Dynamic simulation models are becoming increasingly important in the planning of these networks, since the simultaneous supply of heating and cooling leads to a system behavior that is much more complex than in conventional heating networks and thus can no longer be adequately represented by static planning tools.
In addition, automated model generation provides a good basis for co-simulation with other tools, since a physical simulation model offers the possibility of interoperability. Especially for 5GDHC networks, the control of individual assets, as well as the overall system, is a major challenge for these new systems. Thus, the introduced framework represents an important step toward optimal design and control of 5GDHC networks.

Author Contributions

Supervision, D.M.; Writing—original draft, M.M. and T.B.; Writing—review & editing, T.S. All authors have read and agreed to the published version of the manuscript.

Funding

We gratefully acknowledge the financial support by Federal Ministry for Economic Affairs and Climate Action (BMWK), promotional reference 03EWR020E (Reallabor der Energiewende: TransUrban.NRW) and 03ET1634D (EnEff:Wärme: ErdEisII: Verbundprojekt: Erdeisspeicher und oberflächennahe Geothermie).

Institutional Review Board Statement

Not applicable.

Informed Consent Statement

Not applicable.

Data Availability Statement

Not applicable.

Acknowledgments

The authors would like to thank Peter Remmen (heatbeat.NRW GmbH) for discussing the first draft of the paper and supervising part of the funded project as well as Marcus Fuchs (heatbeat GmbH) for providing the first version of the initial uesgraphs code base.

Conflicts of Interest

The authors declare no conflict of interest. The funders had no role in the design of the study; in the collection, analyses, or interpretation of data; in the writing of the manuscript, or in the decision to publish the results.

References

  1. European Commission. Share of Energy from Renewable Sources; The Statistical Office of the European Union. 2020. Available online: https://ec.europa.eu/info/news/focus-renewable-energy-europe-2020-mar-18_en (accessed on 1 June 2022).
  2. European Commission. An EU Strategy on Heating and Coolin; Brussels, 16.2.2016 COM(2016) 51 fina; European Commission: Belgium, Brussels, 2016. [Google Scholar]
  3. Bertelsen, N.; Mathiesen, B.V. EU-28 residential heat supply and consumption: Historical development and status. Energies 2020, 13, 1894. [Google Scholar] [CrossRef]
  4. Sanner, B.; Kalf, R.; Land, A.; Mutka, K.; Papillon, P.; Stryi-Hipp, G.; Weiss, W. 2030–2050, Common Vision for the Renewable Heating and Cooling Sector in Europe; Publications Office of the European Union: Luxembourg, 2011. [Google Scholar] [CrossRef]
  5. Lund, H.; Möller, B.; Mathiesen, B.V.; Dyrelund, A. The role of district heating in future renewable energy systems. Energy 2010, 35, 1381–1390. [Google Scholar] [CrossRef]
  6. Lund, H.; Werner, S.; Wiltshire, R.; Svendsen, S.; Thorsen, J.E.; Hvelplund, F.; Mathiesen, B.V. 4th Generation District Heating (4GDH): Integrating smart thermal grids into future sustainable energy systems. Energy 2014, 68, 1–11. [Google Scholar] [CrossRef]
  7. Guelpa, E.; Verda, V. Demand response and other demand side management techniques for district heating: A review. Energy 2021, 219, 119440. [Google Scholar] [CrossRef]
  8. Licklederer, T.; Hamacher, T.; Kramer, M.; Perić, V.S. Thermohydraulic model of Smart Thermal Grids with bidirectional power flow between prosumers. Energy 2021, 230, 120825. [Google Scholar] [CrossRef]
  9. Buffa, S.; Cozzini, M.; D’Antoni, M.; Baratieri, M.; Fedrizzi, R. 5th generation district heating and cooling systems: A review of existing cases in Europe. Renew. Sust. Energy Rev. 2019, 104, 504–522. [Google Scholar] [CrossRef]
  10. European Commission. Fifth Generation, Low Temperature, High Exergy District Heating and Cooling Networks; European Commission: Belgium, Brussels, 2015; Available online: https://cordis.europa.eu/project/id/649820 (accessed on 1 June 2022).
  11. Lund, H.; Østergaard, P.A.; Chang, M.; Werner, S.; Svendsen, S.; Sorknæs, P.; Thorsen, J.E.; Hvelplund, F.; Mortensen, B.O.G.; Mathiesen, B.V.; et al. The status of 4th generation district heating: Research and results. Energy 2018, 164, 147–159. [Google Scholar] [CrossRef]
  12. Lund, H.; Duic, N.; Østergaard, P.A.; Mathiesen, B.V. Future district heating systems and technologies: On the role of smart energy systems and 4th generation district heating. Energy 2018, 165, 614–619. [Google Scholar] [CrossRef]
  13. Blacha, T.; Mans, M.; Remmen, P.; Müller, D. Dynamic simulation of bidirectional low-temperature networks—A case study to facilitate the integration of renewable energies. In Proceedings of the Building Simulation 2019: 16th Conference of IBPSA, Rome, Italy, 2–4 September 2019. [Google Scholar]
  14. Boesten, S.; Ivens, W.; Dekker, S.C.; Eijdems, H. 5th generation district heating and cooling systems as a solution for renewable urban thermal energy supply. Adv. Geosci. 2019, 49, 129–136. [Google Scholar] [CrossRef] [Green Version]
  15. Wirtz, M.; Kivilip, L.; Remmen, P.; Müller, D. 5th Generation District Heating: A novel design approach based on mathematical optimization. Appl. Energy 2020, 260, 114158. [Google Scholar] [CrossRef]
  16. Lund, H.; Østergaard, P.A.; Nielsen, T.B.; Werner, S.; Thorsen, J.E.; Gudmundsson, O.; Arabkoohsar, A.; Mathiesen, B.V. Perspectives on fourth and fifth generation district heating. Energy 2021, 227, 120520. [Google Scholar] [CrossRef]
  17. Sulzer, M.; Werner, S.; Mennel, S.; Wetter, M. Vocabulary for the fourth generation of district heating and cooling. Smart Energy 2021, 1, 100003. [Google Scholar] [CrossRef]
  18. Sulzer, M.; Hangartner, D. Kalte Fernwärme (Anergienetze)-Grundlagen-/Thesenpapier. In Horw: Hochschule Luzern, Zentrum für Integrale Gebäudetechnik; 2014; Available online: https://www.researchgate.net/publication/262418798_Grundlagen-Thesen_Kalte_Fernwarme_Anergienetze (accessed on 1 June 2022).
  19. Schweiger, G.; Larsson, P.O.; Magnusson, F.; Lauenburg, P.; Velut, S. District heating and cooling systems-Framework for Modelica-based simulation and dynamic optimization. Energy 2017, 137, 566–578. [Google Scholar] [CrossRef]
  20. Byrne, J.; Zhou, A.; Shen, B.; Hughes, K. Evaluating the potential of small-scale renewable energy options to meet rural livelihoods needs: A GIS-and lifecycle cost-based assessment of Western China’s options. Energy Policy 2007, 35, 4391–4401. [Google Scholar] [CrossRef]
  21. Gormally, A.; Whyatt, J.; Timmis, R.; Pooley, C. A regional-scale assessment of local renewable energy resources in Cumbria, UK. Energy Policy 2012, 50, 283–293. [Google Scholar] [CrossRef]
  22. Gils, H.C.; Cofala, J.; Wagner, F.; Schöpp, W. GIS-based assessment of the district heating potential in the USA. Energy 2013, 58, 318–329. [Google Scholar] [CrossRef]
  23. Kennedy, C.; Cuddihy, J.; Engel-Yan, J. The changing metabolism of cities. J. Ind. Ecol. 2007, 11, 43–59. [Google Scholar] [CrossRef]
  24. Wirtz, M.; Kivilip, L.; Remmen, P.; Müller, D. Quantifying Demand Balancing in Bidirectional Low Temperature Networks. Energy Build. 2020, 224, 110245. [Google Scholar] [CrossRef]
  25. Nageler, P.; Heimrath, R.; Mach, T.; Hochenauer, C. Prototype of a simulation framework for georeferenced large-scale dynamic simulations of district energy systems. Appl. Energy 2019, 252, 113469. [Google Scholar] [CrossRef]
  26. Nageler, P.; Zahrer, G.; Heimrath, R.; Mach, T.; Mauthner, F.; Leusbrock, I.; Schranzhofer, H.; Hochenauer, C. Novel validated method for GIS based automated dynamic urban building energy simulations. Energy 2017, 139, 142–154. [Google Scholar] [CrossRef]
  27. Hermansson, K.; Kos, C.; Starfelt, F.; Kyprianidis, K.; Lindberg, C.F.; Zimmerman, N. An Automated Approach to Building and Simulating Dynamic District Heating Networks. IFAC PapersOnLine 2018, 51, 855–860. [Google Scholar] [CrossRef]
  28. Wetter, M.; Fuchs, M.; Grozman, P.; Helsen, L.; Jorissen, F.; Müller, D.; Nytsch-Geusen, C.; Picard, D.; Sahlin, P.; Thorade, M. IEA EBC annex 60 modelica library-an international collaboration to develop a free open-source model library for buildings and community energy systems. Proc. Build. Simul. 2015, 2015, 395–402. [Google Scholar]
  29. Wetter, M.; van Treeck, C.; Helsen, L.; Maccarini, A.; Saelens, D.; Robinson, D.; Schweiger, G. IBPSA Project 1: BIM/GIS and Modelica framework for building and community energy system design and operation–ongoing developments, lessons learned and challenges. In IOP Conference Series: Earth and Environmental Science; IOP Publishing, 2019; Volume 323, p. 12114. Available online: https://iopscience.iop.org/article/10.1088/1755-1315/323/1/012114 (accessed on 1 June 2022).
  30. Van der Heijde, B.; Fuchs, M.; Tugores, C.R.; Schweiger, G.; Sartor, K.; Basciotti, D.; Müller, D.; Nytsch-Geusen, C.; Wetter, M.; Helsen, L. Dynamic equation-based thermo-hydraulic pipe model for district heating and cooling systems. Energy Convers. Manag. 2017, 151, 158–169. [Google Scholar] [CrossRef] [Green Version]
  31. Fuchs, M.; Teichmann, J.; Lauster, M.; Remmen, P.; Streblow, R.; Müller, D. Workflow automation for combined modeling of buildings and district energy systems. Energy 2016, 117, 478–484. [Google Scholar] [CrossRef]
  32. Abugabbara, M.; Javed, S.; Bagge, H.; Johansson, D. Bibliographic analysis of the recent advancements in modeling and co-simulating the fifth-generation district heating and cooling systems. Energy Build. 2020, 224, 110260. [Google Scholar] [CrossRef]
  33. Rogers, R.; Lakhian, V.; Lightstone, M.; Cotton, J.S. Modeling of low temperature thermal networks using historical building data from district energy systems. In Proceedings of the 13th International Modelica Conference, Regensburg, Germany, 4–6 March 2019; Linköping University Electronic Press: Linköping, Sweden, 2019; p. 157. [Google Scholar]
  34. Müller, D.; Lauster, M.; Constantin, A.; Fuchs, M.; Remmen, P. AixLib-An Open-Source Modelica Library within the IEA-EBC Annex 60 Framework. BauSIM 2016, 2016, 3–9. [Google Scholar]
  35. Abugabbara, M. Modelling and Simulation of the Fifth-Generation District Heating and Cooling; Division of Building Services, LTH, Lund University: Lund, Sweden, 2021. [Google Scholar]
  36. Modelica Association. Fuctional Mock-up Interface Standard. 2020. Available online: https://fmi-standard.org/ (accessed on 1 June 2022).
  37. Larsen, H.V.; Bøhm, B.; Wigbels, M. A comparison of aggregated models for simulation and operational optimisation of district heating networks. Energy Convers. Manag. 2004, 45, 1119–1139. [Google Scholar] [CrossRef]
  38. Fuchs, M. Graph Framework for Automated Urban Energy System Modeling. Ph.D. Thesis, RWTH Aachen University, Aachen, Germany, 2017. [Google Scholar]
  39. Mayer, M. Mako Templates for Python. 2016. Available online: https://www.makotemplates.org (accessed on 1 June 2022).
  40. OpenStreetMap contributors©. Map Data© OpenStreetMap Contributors. 2020. Available online: www.openstreetmap.org (accessed on 1 June 2022).
  41. Hagberg, A.A.; National, L.A.; Alamos, L. Exploring Network Structure, Dynamics, and Function Using NetworkX; Los Alamos National Lab: Los Alamos, NM, USA, 2008; pp. 11–15. [Google Scholar]
  42. Mans, M.; Blacha, T.; Remmen, P.; Müller, D. Automated model generation and simplification for district heating and cooling networks. In Proceedings of the 13th International Modelica Conference, Regensburg, Germany, 4–6 March 2019. [Google Scholar] [CrossRef] [Green Version]
  43. QGIS Development Team. QGIS Geographic Information System; Open Source Geospatial Foundation, 2009; Available online: https://qgis.org/en/site/index.html (accessed on 1 June 2022).
  44. Wetter, M.; van Treeck, C.; Hensen, J. New Generation Computational Tools for Building and Community Energy Systems—IEA EBC Annex. IEA Energy in Buildings and Communities Programme. 2013. Available online: https://www.iea-annex60.org/pubs.html (accessed on 1 June 2022).
  45. Saelens, D.; De Jaeger, I.; Bünning, F.; Mans, M.; Maccarini, A.; Garreau, E.; Rønneseth, Ø.; Sartori, I.; Vandermeulen, A.; van der Heijde, B.; et al. Towards a DESTEST: A district energy simulation test developed in IBPSA project 1. In Proceedings of the Building Simulation 2019: 16th Conference of IBPSA, Rome, Italy, 2–4 September 2020; Volume 16, pp. 3569–3577. [Google Scholar] [CrossRef]
  46. Zeh, R.; Stockinger, V.; Ohlsen, B. Kalte Nahwärmenetze und oberflächennaheste Geothermie im urbanen Raum. BRB 2019, 19, 52–56. [Google Scholar]
  47. Technische Universität Dresden—Fakultät Architektur—Institut für Bauklimatik. EnEff:Wärme: ErdEisII: Verbundprojekt: Erdeisspeicher und oberflächennahe Geothermie (Umsetzung) Teilvorhaben: Technische Universität Dresden’ Rechnergestützte Planungsoptimierung des Quartieres und Praxistaugliches Auslegungstool Erdeisspeicher. FKZ. 03ET1634C. Available online: https://www.enargus.de/detail/?id=1049317 (accessed on 1 June 2022).
  48. Remmen, P.; Lauster, M.; Mans, M.; Fuchs, M.; Osterhage, T.; Müller, D. TEASER: An open tool for urban energy modelling of building stocks. J. Build. Perform. Simu. 2018, 11, 84–98. [Google Scholar] [CrossRef]
Figure 2. Overview of uesgraphs workflow: Exemplary input data with geospatial information which can be used to create a graph, the data storage and data handling afterwards, the Modelica model export in the end.
Figure 2. Overview of uesgraphs workflow: Exemplary input data with geospatial information which can be used to create a graph, the data storage and data handling afterwards, the Modelica model export in the end.
Energies 15 04372 g002
Figure 3. Representation of the graph based on the OpenStreetMaps import to uesgraphs, showing orange dots as detected buildings and grey dots and lines as street nodes and edges.
Figure 3. Representation of the graph based on the OpenStreetMaps import to uesgraphs, showing orange dots as detected buildings and grey dots and lines as street nodes and edges.
Energies 15 04372 g003
Figure 4. DHC network generated by automated process based on OpenStreetMaps import, showing grey dots as buildings and red dots and lines as network nodes and edges.
Figure 4. DHC network generated by automated process based on OpenStreetMaps import, showing grey dots as buildings and red dots and lines as network nodes and edges.
Energies 15 04372 g004
Figure 5. Exemplary system model of a district heating network with one heat supply, two substations, and four pipes. One pipe is exemplary connected with the RC model of the surrounding soil.
Figure 5. Exemplary system model of a district heating network with one heat supply, two substations, and four pipes. One pipe is exemplary connected with the RC model of the surrounding soil.
Energies 15 04372 g005
Figure 6. Schematic illustration of a 5GDHC substation with heat pump, chiller, and decentralized distribution pumps.
Figure 6. Schematic illustration of a 5GDHC substation with heat pump, chiller, and decentralized distribution pumps.
Energies 15 04372 g006
Figure 7. Network layout of the DESTEST network with 16 buildings.
Figure 7. Network layout of the DESTEST network with 16 buildings.
Energies 15 04372 g007
Figure 8. Heat injection comparison between different simulation models at a exemplary winter day, calculated with the DESTEST result comparison tool.
Figure 8. Heat injection comparison between different simulation models at a exemplary winter day, calculated with the DESTEST result comparison tool.
Energies 15 04372 g008
Figure 9. Network layout of the area in the town of Schleswig.
Figure 9. Network layout of the area in the town of Schleswig.
Energies 15 04372 g009
Figure 10. Central pump case with pressure increase of the central pump, pressure loss over the substation as well as the mass flow at substation of SFH 39.
Figure 10. Central pump case with pressure increase of the central pump, pressure loss over the substation as well as the mass flow at substation of SFH 39.
Energies 15 04372 g010
Figure 11. Comparison of the pressure difference of the decentralized pump at the most peripheral substation.
Figure 11. Comparison of the pressure difference of the decentralized pump at the most peripheral substation.
Energies 15 04372 g011
Figure 12. Representation of the graph before network simplification.
Figure 12. Representation of the graph before network simplification.
Energies 15 04372 g012
Figure 13. Representation of the graph after network simplification.
Figure 13. Representation of the graph after network simplification.
Energies 15 04372 g013
Figure 14. Aggregated heat and cooling demands (daily mean).
Figure 14. Aggregated heat and cooling demands (daily mean).
Energies 15 04372 g014
Figure 15. Demand overlap coefficient of the district.
Figure 15. Demand overlap coefficient of the district.
Energies 15 04372 g015
Figure 16. Central heat and cooling supply (S1) in baseline scenario.
Figure 16. Central heat and cooling supply (S1) in baseline scenario.
Energies 15 04372 g016
Figure 17. Temperatures of warm and cold line at supply (S1) and soil temperature.
Figure 17. Temperatures of warm and cold line at supply (S1) and soil temperature.
Energies 15 04372 g017
Figure 18. Temperature of warm and cold line at cluster C9 (baseline).
Figure 18. Temperature of warm and cold line at cluster C9 (baseline).
Energies 15 04372 g018
Figure 19. Temperature of warm and cold line at cluster C9 and soil temperatur in depth of 2 m.
Figure 19. Temperature of warm and cold line at cluster C9 and soil temperatur in depth of 2 m.
Energies 15 04372 g019
Figure 20. Comparison of heat losses of network with 5 cm insulation and laying depth of 2 m.
Figure 20. Comparison of heat losses of network with 5 cm insulation and laying depth of 2 m.
Energies 15 04372 g020
Table 1. Comparison of the different pipe sizing variants for a central pump system.
Table 1. Comparison of the different pipe sizing variants for a central pump system.
VariantsPumping Power
(kWh/a)
Maximum Pressure Head
(bar)
Massflow at Maximum
Pressure Head
(kg/s)
Design draft (variant b)28351.0130.72
Light over-sizing (variant a)26230.9233.57
Light under-sizing (variant c)35191.6229.17
Heavy under-sizing (variant d)42342.4127.91
Table 2. Comparison of the different pipe sizing variants for a decentralized pump system.
Table 2. Comparison of the different pipe sizing variants for a decentralized pump system.
VariantsPumping Power
(kWh/a)
Maximum Pressure Head
at SFH 39
(bar)
Massflow at Maximum
Pressure Head
(kg/s)
Design draft (variant b)7920.660.49
Light over-sizing (variant a)5330.440.49
Light under-sizing (variant c)14601.350.49
Heavy under-sizing (variant d)25772.870.49
Table 3. Comparison of numerical parameters of manual and automated model generation.
Table 3. Comparison of numerical parameters of manual and automated model generation.
ParameterManual Model GenerationAutomated Model Generation
CPU-time for integration941 s1050 s
CPU-time for one grid intervall107 ms120 ms
Number of state events11,7178665
Minimum integration step size0.0001390.00102
Maximum integration step size9241230
Table 4. Configuration of the low-temperature network in baseline scenario.
Table 4. Configuration of the low-temperature network in baseline scenario.
System Configuration
Total pipe length11.5 km
Pipe diameterDN100–DN600
Limit temperature warm line (min.)10 °C
Limit temperature cold line (max.)14 °C
Temperature difference at substations4 K
Laying depth1 m
Insulationno insulation
Table 5. Comparison of central heat and cooling supply and cold line temperatures at cluster C9.
Table 5. Comparison of central heat and cooling supply and cold line temperatures at cluster C9.
System ConfigurationHeat Supply in GWhCooling Supply in GWhTemperature Cold Line at C9
Baseline13.33.017.1
Cold line feed-in 11 °C13.33.617.0
Laying depth 2 m12.32.514.3
Insulation 5 cm12.23.114.9
Publisher’s Note: MDPI stays neutral with regard to jurisdictional claims in published maps and institutional affiliations.

Share and Cite

MDPI and ACS Style

Mans, M.; Blacha, T.; Schreiber, T.; Müller, D. Development and Application of an Open-Source Framework for Automated Thermal Network Generation and Simulations in Modelica. Energies 2022, 15, 4372. https://doi.org/10.3390/en15124372

AMA Style

Mans M, Blacha T, Schreiber T, Müller D. Development and Application of an Open-Source Framework for Automated Thermal Network Generation and Simulations in Modelica. Energies. 2022; 15(12):4372. https://doi.org/10.3390/en15124372

Chicago/Turabian Style

Mans, Michael, Tobias Blacha, Thomas Schreiber, and Dirk Müller. 2022. "Development and Application of an Open-Source Framework for Automated Thermal Network Generation and Simulations in Modelica" Energies 15, no. 12: 4372. https://doi.org/10.3390/en15124372

APA Style

Mans, M., Blacha, T., Schreiber, T., & Müller, D. (2022). Development and Application of an Open-Source Framework for Automated Thermal Network Generation and Simulations in Modelica. Energies, 15(12), 4372. https://doi.org/10.3390/en15124372

Note that from the first issue of 2016, this journal uses article numbers instead of page numbers. See further details here.

Article Metrics

Back to TopTop