Transient Pressure and Rate Behavior of a Vertically Refractured Well in a Shale Gas Reservoir
Abstract
:1. Introduction
2. Physical Model
- (1)
- This shale gas reservoir is homogenous, infinite, and has a uniform initial pressure distribution. Refracturing treatment forms an artificial fracture system near the vertical wellbore, including a hydro fracture formed by initial fracturing and a reorientation fracture created by refracturing.
- (2)
- This fracture system penetrates the whole reservoir vertically, and its height is equal to the thickness of this shale gas reservoir, h. Each fracture has two symmetrical wings. The reorientation fracture consists of five parts: the principal fracture part with a length of (Rf1 + Rf3), which is perpendicular to the initial hydro fracture; two reoriented fracture parts with length Rf2 and Rf4, respectively, which are parallel to the extension of the initial hydro fracture; and two reoriented zones.
- (3)
- A pure gas flow is assumed to occur in the shale gas reservoir and artificial fracture system. The initial fracture and reorientation fracture have an equal conductivity after refracturing treatment.
- (4)
- Gas diffusion flowing out from the shale matrix observes Fick’s law, and gas flowing into natural fractures and artificial fractures obeys Darcy’s law. Also, the effects of gravity’s force are ignored.
3. Mathematical Models
3.1. Flow Model for Shale Gas Reservoir
3.2. Flow Model in Initial Fracture and Reorientation Fracture
3.3. Semi-Analytical Solution of a Refractured Vertical Model in Shale Gas Reservoir
4. Model Validation
5. Results and Discussion
5.1. Flow Regime Identification
- (a)
- Bi-linear flow regime: the dimensionless pseudo pressure and pseudo pressure derivative curves are parallel to each other, and the slope of two straight lines is 0.25. Linear flow happens around and inside the artificial fractures in this regime.
- (b)
- Formation linear flow regime: this regime is generally recognized by two straight lines with the same slope of 0.5 on both the dimensionless pseudo pressure and pseudo pressure derivative curves. There is sufficient gas supply to the artificial fractures and linear flow only occurs around two artificial fractures in this flow mode.
- (c)
- Mid-radial flow regime: this typical regime often occurs after formation linear flow. In this regime, shale gas flows radially from the formation to the area around two artificial fractures, which is different from the radial flow dominated by the reservoir outer boundary. The duration of the mid-radial flow regime depends on the inter-porosity coefficient and adsorption and desorption constant. Meanwhile, the occurrence of the mid-radial flow regime strongly relates to the storativity ratio between the natural fracture system and shale matrix system.
- (d)
- Inter-porosity flow regime: this flow regime is characterized by a deep “groove” on the dimensionless pseudo pressure derivative curve. In this regime, the absorbed shale gas that is far away from the refractured well gradually tends to desorb from the shale matrix. Under this circumstance, the desorbed shale gas along with the original free shale gas in natural fractures flows from the far end of the well to the fracture system around the wellbore. The depth of the “groove” largely depends on the storativity ratio and adsorption and desorption constant.
- (e)
- Pseudo-radial flow regime: in the late period, the dimensionless pseudo pressure derivative curve stabilizes at 0.5 and a pseudo-radial flow regime can be observed. This flow regime occurs when shale gas that is far away from the wellbore flows steadily and radially into natural fractures away from the wellbore.
5.2. Effect of Shale Gas Reservoir Properties and Fracture Reorientation on Transient Pressure of a Refractured Vertical Well
5.2.1. Storativity Ratio between Natural Fracture System and Shale Matrix System
5.2.2. Inter-Porosity Coefficient from Shale Matrix System to Natural Fracture System
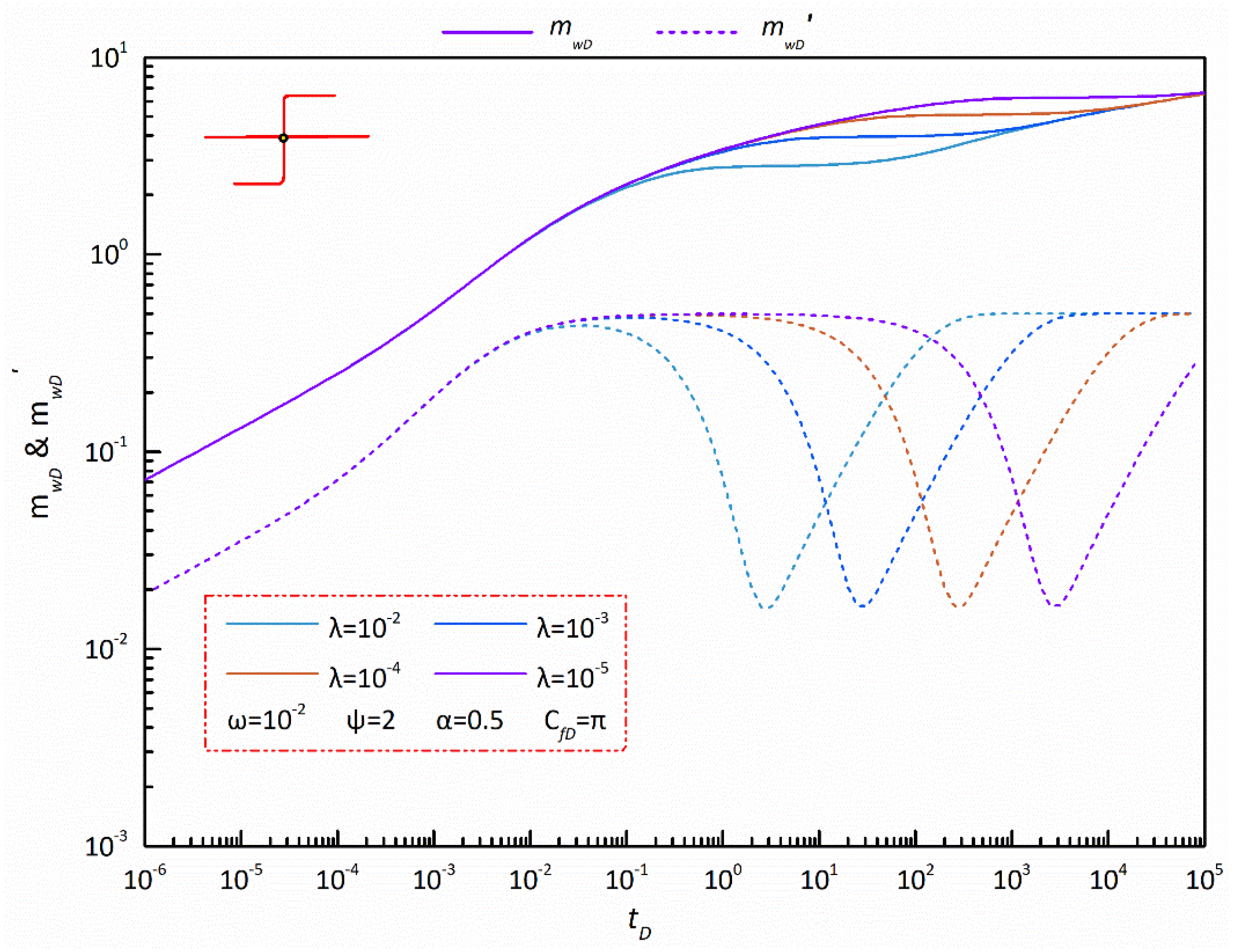
5.2.3. Adsorption and Desorption Constant of Shale Gas
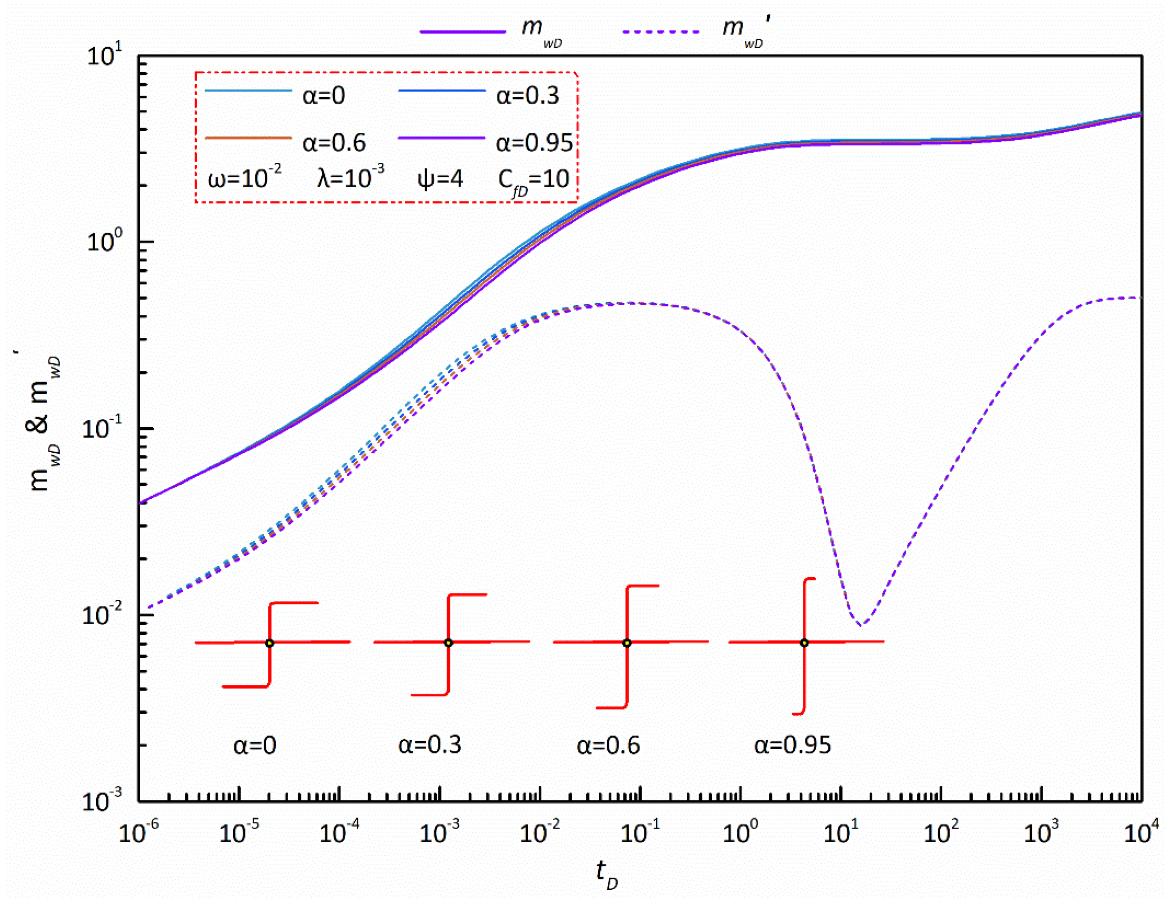
5.2.4. Fracture Reorientation Factor
5.3. Effect of Shale Gas Reservoir Properties and Fracture Reorientation on Transient Rate of a Refractured Well
5.3.1. Storativity Ratio between Natural Fracture System and Shale Matrix System
5.3.2. Inter-Porosity Coefficient from Shale Matrix System to Natural Fracture System
5.3.3. Adsorption and Desorption Constant
5.3.4. Fracture Reorientation Factor
6. Conclusions
- For a refractured well in a shale gas reservoir with absorption and desorption and fracture reorientation, five typical flow regimes are identified on type curves: bi-linear flow regime, formation linear flow regime, mid-radial flow regime, inter-porosity flow regime, and pseudo-radial flow regime.
- According to the flow regime identification, a “groove” can be observed on the dimensionless pseudo pressure derivative curve, which corresponds to the inter-porosity flow regime. The larger the dimensionless storativity ratio or adsorption and desorption constant is, the later this flow regime appears and also the shallower and narrower the “groove” is. The dimensionless inter-porosity coefficient only affects the appearance of the “groove” but has no influence on its width and depth.
- Fracture reorientation imposes a weak influence on the linear flow regimes and mid-radial flow regime, and in these flow regimes a long extension of the principal fracture corresponds to a lower pressure loss.
- A short, stable production period can be observed on the dimensionless rate transient curves and its duration is closely related to the dimensionless storativity ratio. The dimensionless rate during this period depends on the dimensionless inter-porosity coefficient and dimensionless adsorption and desorption constant.
- The transient rate of the refractured well in a shale gas reservoir is positively proportional to the dimensionless storativity ratio, dimensionless inter-porosity coefficient, and dimensionless adsorption and desorption constant, but inversely proportional to the fracture reorientation.
Author Contributions
Funding
Data Availability Statement
Conflicts of Interest
Nomenclature
| Field Variables | |
| Z | Shale gas compressibility factor, fraction |
| T | Temperature, K |
| p | Pressure, MPa |
| t | Time, s |
| wf | Hydraulic fracture width, m |
| μ | Fluid viscosity, Pa·s |
| φ | Porosity, fraction |
| ρ | Shale gas density, g/m3 |
| rf | Equivalent half length, m |
| v | Shale gas velocity, m/s |
| Vm | Adsorption concentration of shale matrix particles, m3/m3 |
| VE | Equilibrium adsorption concentration, m3/m3 |
| D | Diffusion coefficient, m2/s |
| α | Shape factor of matrix block, fraction |
| VL | Langmuir’s volume, m3/m3 |
| Vi | Initial adsorption volume, m3/m3 |
| rf1 + rf2 | Length of initial fracture, m |
| Rf1 + Rf3 | Length of principal fracture in a reorientation fracture, m |
| Rf2 + Rf4 | Length of reoriented fracture in reorientation fracture, m |
| Dimensionless Variables | |
| CfD | Dimensionless facture conductivity |
| tD | Dimensionless time |
| Dimensionless pseudo pressure in Laplace domain | |
| mD | Dimensionless pseudo pressure in real time domain |
| xD | Dimensionless length in the x-axis |
| yD | Dimensionless length in the y-axis |
| reD | Dimensionless radial length |
| ω | Dimensionless storativity ratio |
| λ | Dimensionless inter-porosity coefficient |
| β | Dimensionless desorption coefficient |
| ε | Dimensionless adsorption coefficient |
| ψ | Dimensionless adsorption and desorption constant |
| Dimensionless point source flux | |
| lD | Dimensionless length of line source |
| Dimensionless length in the x-axis after Cartesian-coordinate rotation | |
| Dimensionless length in the y-axis after Cartesian-coordinate rotation | |
| Dimensionless point source flux in a fracture | |
| α | Fracture reorientation factor |
| Subscripts | |
| fg | Natural fracture property in the shale gas reservoir |
| fm | Matrix property in the shale gas reservoir |
| f | Hydraulic fracture property |
| D | Dimensionless |
| w | Wellbore property |
| sc | Standard condition |
| Special Functions | |
| K0(x) | Modified Bessel function (second kind, zero order) |
Appendix A. Dimensionless Definitions
Appendix B. Point-Source Solution of the Physical Model
References
- Benedict, D.S.; Miskimins, J.L. Analysis of reserve recovery potential from hydraulic fracture reorientation in tight gas Lenticular reservoirs. In Proceedings of the SPE Hydraulic Fracturing Technology Conference, The Woodlands, TX, USA, 19–21 January 2009. SPE-119355-MS. [Google Scholar] [CrossRef]
- Indras, P.; Blankenship, C. A commercial evaluation of refracturing horizontal shale wells. In Proceedings of the SPE Annual Technical Conference and Exhibition, Houston, TX, USA, 28–30 September 2015. SPE-174951-MS. [Google Scholar] [CrossRef]
- Xu, T.; Lindsay, G.; Baihly, J.; Ejofodomi, E.; Malpani, R.; Shan, D. Proposed refracturing methodology in the Haynesville shale. In Proceedings of the SPE Annual Technical Conference and Exhibition, San Antonio, TX, USA, 9–11 October 2017. SPE-187236-MS. [Google Scholar] [CrossRef]
- Siebrits, E.; Elbel, J.L.; Hoover, R.S.; Diyashev, I.R.; Griffin, L.G.; Demetrius, S.L.; Wright, C.A.; Davidson, B.M.; Steinsberger, N.P.; Hill, D.G. Refracture reorientation enhances gas production in Barnett shale tight gas wells. In Proceedings of the SPE Annual Technical Conference and Exhibition, Dallas, TX, USA, 1–4 October 2000. SPE-63030-MS. [Google Scholar] [CrossRef]
- Diakhate, M.; Gazawi, A.; Barree, B.; Cossio, M.; Tinnin, B.; McDonald, B.; Barzola, G. Refracturing on horizontal wells in the Eagle Ford Shale in South Texas-one operator’s perspective. In Proceedings of the SPE Hydraulic Fracturing Technology Conference, The Woodlands, TX, USA, 3–5 February 2015. SPE-173333-MS. [Google Scholar] [CrossRef]
- Shah, M.; Shah, S.; Sircar, A. A comprehensive overview on recent developments in refracturing technique for shale gas reservoirs. J. Nat. Gas Sci. Eng. 2017, 46, 350–364. [Google Scholar] [CrossRef]
- Xing, G.; Wang, M.; Zhang, Y.; Shi, H.; Guo, W.; Li, T.; Luo, R.; Dou, X. Productivity evaluation of refracturing to a poorly/damaged fractured well in a tight reservoir. Arab. J. Sci. Eng. 2021, 46, 1–24. [Google Scholar] [CrossRef]
- Saputra, W.; Kirati, W.; Patzek, T.W. Generalized extreme value statistics, physical scaling and forecasts of gas production in the Haynesville shale. J. Nat. Gas Sci. Eng. 2021, 94, 104041. [Google Scholar] [CrossRef]
- Nobakht, M.; Clarkson, C.R.; Kaviani, D. New type curves for analyzing horizontal well with multiple fractures in shale gas reservoirs. J. Nat. Gas Sci. Eng. 2013, 10, 99–112. [Google Scholar] [CrossRef]
- Sang, Y.; Chen, H.; Yang, S.; Guo, X.; Zhou, C.; Fang, B.; Zhou, F.; Yang, J.K. A new mathematical model considering adsorption and desorption process for productivity prediction of volume fractured horizontal wells in shale gas reservoirs. J. Nat. Gas Sci. Eng. 2014, 19, 228–236. [Google Scholar] [CrossRef]
- Chen, Z.; Liao, X.; Zhao, X.; Dou, X.; Zhu, L. Performance of horizontal wells with fracture networks in shale gas formation. J. Pet. Sci. Eng. 2015, 133, 646–664. [Google Scholar] [CrossRef]
- Kim, T.H.; Lee, K.S. Pressure-transient characteristics of hydraulically fractured horizontal wells in shale-gas reservoirs with natural-and rejuvenated-fracture networks. J. Can. Pet. Technol. 2015, 54, 245–258. [Google Scholar] [CrossRef]
- Guo, J.J.; Wang, H.T.; Zhang, L.H. Transient pressure and production dynamics of multi-stage fractured horizontal wells in shale gas reservoirs with stimulated reservoir volume. J. Nat. Gas Sci. Eng. 2016, 35, 425–443. [Google Scholar] [CrossRef]
- Kim, T.H.; Lee, J.H.; Lee, K.S. Integrated reservoir flow and geomechanical model to generate type curves for pressure transient responses of a hydraulically-fractured well in shale gas reservoirs. J. Pet. Sci. Eng. 2016, 146, 457–472. [Google Scholar] [CrossRef]
- Lu, T.; Li, Z.; Lai, F.; Meng, Y.; Ma, W.; Sun, Y.; Wei, M. Blasingame decline analysis for variable rate/variable pressure drop: A multiple fractured horizontal well case in shale gas reservoirs. J. Pet. Sci. Eng. 2019, 178, 193–204. [Google Scholar] [CrossRef]
- Dahim, S.; Taghavinejad, A.; Razghandi, M.; Rigi, H.R.; Moeini, K.; Jamshidi, S.; Sharifi, M. Pressure and rate transient modeling of multi fractured horizontal wells in shale gas condensate reservoirs. J. Pet. Sci. Eng. 2020, 185, 106566. [Google Scholar] [CrossRef]
- Xu, Y.J.; Li, X.P.; Liu, Q.G. Pressure performance of multi-stage fractured horizontal well with stimulated reservoir volume and irregular fractures distribution in shale gas reservoirs. J. Nat. Gas Sci. Eng. 2020, 77, 103209. [Google Scholar] [CrossRef]
- Xu, Y.; Liu, Q.; Li, X.; Meng, Z.; Yang, S.; Tan, X. Pressure transient and Blasingame production decline analysis of hydraulic fractured well with induced fractures in composite shale gas reservoirs. J. Nat. Gas Sci. Eng. 2021, 94, 104058. [Google Scholar] [CrossRef]
- Huang, T.; Guo, X.; Chen, F.F. Modeling transient pressure behavior of a fractured well for shale gas reservoirs based on the properties of nanopores. J. Nat. Gas Sci. Eng. 2015, 23, 387–398. [Google Scholar] [CrossRef]
- Chen, Z.; Liao, X.; Zhao, X.; Zhu, L. Influence of magnitude and permeability of fracture networks on behaviors of vertical shale gas wells by a free-simulator approach. J. Pet. Sci. Eng. 2016, 147, 261–272. [Google Scholar] [CrossRef]
- Zhang, Q.; Su, Y.; Wang, W.; Lu, M.; Ren, L. Performance analysis of fractured wells with elliptical SRV in shale reservoirs. J. Nat. Gas Sci. Eng. 2017, 45, 380–390. [Google Scholar] [CrossRef]
- Zhang, R.H.; Zhang, L.H.; Tang, H.Y.; Chen, S.N.; Zhao, Y.L.; Wu, J.F.; Wang, K.R. A simulator for production prediction of multistage fractured horizontal well in shale gas reservoir considering complex fracture geometry. J. Nat. Gas Sci. Eng. 2019, 67, 14–29. [Google Scholar] [CrossRef]
- Cui, Y.; Jiang, R.; Wang, Q.; Liu, X. Production performance analysis of multi-fractured horizontal well in shale gas reservoir considering space variable and stress-sensitive fractures. J. Pet. Sci. Eng. 2021, 207, 109171. [Google Scholar] [CrossRef]
- Lin, R.; Li, G.M.; Zhao, J.Z.; Ren, L.; Wu, J.F. Productivity model of shale gas fractured horizontal well considering complex fracture morphology. J. Pet. Sci. Eng. 2022, 208, 109511. [Google Scholar] [CrossRef]
- Zhai, Z.Y.; Sharma, M.M. Estimating fracture reorientation due to long term fluid injection/production. In Proceedings of the Production and Operations Symposium, Oklahoma City, OK, USA, 27–29 March 2007. SPE-106387-MS. [Google Scholar] [CrossRef]
- Kuzmina, S.; Butula, K.K.; Nikitin, A. Reservoir pressure depletion and water flooding influencing hydraulic fracture orientation in low-permeability oilfields. In Proceedings of the 8th European Formation Damage Conference, Scheveningen, The Netherlands, 27 May 2009. SPE-120749-MS. [Google Scholar] [CrossRef]
- Tavassoli, S.; Yu, W.; Javadpour, F.; Sepehrnoori, K. Selection of candidate horizontal wells and determination of the optimal time of refracturing in Barnett Shale (Johnson County). In Proceedings of the SPE Unconventional Resources Conference Canada, Calgary, AB, Canada, 5–7 November 2013. SPE-167137-MS. [Google Scholar] [CrossRef]
- Li, X.; Wang, J.H.; Elsworth, D. Stress redistribution and fracture propagation during restimulation of gas shale reservoirs. J. Pet. Sci. Eng. 2017, 154, 150–160. [Google Scholar] [CrossRef]
- Teng, B.L.; Li, H.Z.A. A semi-analytical model for characterizing the fluid transient flow of reoriented refractures. J. Pet. Sci. Eng. 2019, 177, 921–940. [Google Scholar] [CrossRef]
- Wu, S.; Xing, G.; Cui, Y.; Wang, B.; Shi, M.; Wang, M. A semi-analytical model for pressure transient analysis of hydraulic reorientation fracture in an anisotropic reservoir. J. Pet. Sci. Eng. 2019, 179, 228–243. [Google Scholar] [CrossRef]
- Xing, G.; Wu, S.; Wang, J.; Wang, M.; Wang, B.; Cao, J. Pressure transient performance for a horizontal well intercepted by multiple reorientation fractures in a tight reservoir. Energies 2019, 12, 4232. [Google Scholar] [CrossRef] [Green Version]
- Luo, L.; Cheng, S.Q.; Lee, J. Characterization of refracture orientation in poorly propped fractured wells by pressure transient analysis: Model, pitfall, and application. J. Nat. Gas Sci. Eng. 2020, 79, 103332. [Google Scholar] [CrossRef]
- Jiang, L.; Liu, J.; Liu, T.; Yang, D. Production decline analysis for a fractured vertical well with reorientated fractures in an anisotropic formation with an arbitrary shape using the boundary element method. J. Pet. Sci. Eng. 2021, 208, 109213. [Google Scholar] [CrossRef]
- Stehfest, H. Algorithm 368: Numerical Inversion of Laplace Transforms. Commun. ACM 1970, 13, 47–49. [Google Scholar] [CrossRef]
- Van Everdingen, A.F.; Hurst, W. The application of the Laplace transformation to flow problems in reservoirs. J. Pet. Technol. 1949, 1, 305–324. [Google Scholar] [CrossRef]












Publisher’s Note: MDPI stays neutral with regard to jurisdictional claims in published maps and institutional affiliations. |
© 2022 by the authors. Licensee MDPI, Basel, Switzerland. This article is an open access article distributed under the terms and conditions of the Creative Commons Attribution (CC BY) license (https://creativecommons.org/licenses/by/4.0/).
Share and Cite
Dou, X.; Hong, S.; Tao, Z.; Lu, J.; Xing, G. Transient Pressure and Rate Behavior of a Vertically Refractured Well in a Shale Gas Reservoir. Energies 2022, 15, 4345. https://doi.org/10.3390/en15124345
Dou X, Hong S, Tao Z, Lu J, Xing G. Transient Pressure and Rate Behavior of a Vertically Refractured Well in a Shale Gas Reservoir. Energies. 2022; 15(12):4345. https://doi.org/10.3390/en15124345
Chicago/Turabian StyleDou, Xiangji, Sujin Hong, Zhen Tao, Jiahao Lu, and Guoqiang Xing. 2022. "Transient Pressure and Rate Behavior of a Vertically Refractured Well in a Shale Gas Reservoir" Energies 15, no. 12: 4345. https://doi.org/10.3390/en15124345
APA StyleDou, X., Hong, S., Tao, Z., Lu, J., & Xing, G. (2022). Transient Pressure and Rate Behavior of a Vertically Refractured Well in a Shale Gas Reservoir. Energies, 15(12), 4345. https://doi.org/10.3390/en15124345
