Non-Iterative Technique for Determination of Full Lightning Impulse Voltage Parameters
Abstract
:1. Introduction
2. Determination of the Waveform Parameters
- (1)
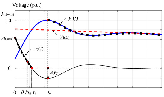
- The lightning impulse voltage waveform from an experiment is recorded in a form of the digital data by a transient recorder. The example waveforms in the parameter determination are presented in Figure 1.
- (2)
- From the digital waveform data, the offset voltage is determined and removed from the original recorded waveform. The waveform part utilized in the parameter determination ranges from the voltage of 20% of the waveform peak on the front section to 40% of the waveform peak on the tail section. The selected waveform is referred to as the recorded curve.
- (3)
- The base curve parameters in Equation (1) or Equation (2) (α, β, C, and td or A, B, α, and β) are determined by a curve fitting method. It is noted that in this paper the function in Equation (2) is selected as the base curve function for simplicity. The standards [1,2] recommend the Levenberg–Marquardt (LM) algorithm for the base curve parameter determination.
- (4)
- The difference of the recorded and base curves referred to as the residual curve is filtered by the k-factor function as given in Equation (3). The effective time domain implementation based on the IIR filter was proposed by P. L. Lewin [19].where f is the frequency in MHz.
- (5)
- The summation of the base and filtered residual curves referred to as the test voltage is utilized for the determination of the waveform parameters, i.e., T1, T2, Vp, and βe.
2.1. The Separable Exponential Function Fitting Method
2.2. The Proposed Curve Fitting Method
3. Validation of the Proposed Method
4. Conclusions
Funding
Institutional Review Board Statement
Informed Consent Statement
Data Availability Statement
Acknowledgments
Conflicts of Interest
References
- IEC 60060-1. High-Voltage Test Techniques. Part 1: General Definitions and Test Requirements, 3rd ed.; IEC: Geneva, Switzerland, 2010. [Google Scholar]
- IEEE Standard 4TM-2013. IEEE Standard for High-Voltage Testing Techniques. In Proceedings of the Fall 2016 IEEE Switchgear Committee Meeting, Pittsburgh, PA, USA, 9–13 October 2016. [Google Scholar]
- Kuffel, E.; Zaengl, W.S.; Kuffel, J. High Voltage Engineering: Fundamentals, 2nd ed.; Newnes: Oxford, UK, 2000. [Google Scholar]
- Glaninger, P. Impulse testing of low inductance electrical equipment. In Proceedings of the 2nd International Symposium on High Voltage Technology, Zurich, Switzerland, 9–13 September 1975; pp. 140–144. [Google Scholar]
- Feser, K. Circuit design of impulse generators for the lightning impulse voltage testing of transformers, Haefely High Voltage Technology. Bull. SEV/VSE Bd 1977, 68. Available online: www.haefely.com (accessed on 15 November 2019).
- Schrader, W.; Schufft, W. Impulse voltage test of power transformers. In Proceedings of the Workshop 2000, Alexandria, VA, USA, 13–14 September 2000. [Google Scholar]
- Karthikeyan, B.; Rajesh, R.; Balasubramanian, M.; Saravanan, S. Experimental Investigations on IEC Suggested Methods for Improving Waveshape During Impulse Voltage Testing. In Proceedings of the 2006 IEEE 8th International Conference on Properties & applications of Dielectric Materials, Bali, Indonesia, 26–30 June 2006. [Google Scholar]
- Tuethong, P.; Kitwattana, K.; Yutthagowith, P.; Kunakorn, A. An algorithm for circuit parameter Identification in lightning Impulse voltage generation for low-inductance loads. Energies 2020, 13, 3913. [Google Scholar] [CrossRef]
- Mirzaei, H.R. A Simple Fast and Accurate Simulation Method for Power Transformer Lightning Impulse Test. IEEE Trans. Power Deliv. 2019, 34, 1151–1160. [Google Scholar] [CrossRef]
- Mirzaei, H.; Bayat, F.; Miralikhani, K. A semi-analytic approach for determining Marx generator optimum set-up during power transformers factory test. IEEE Trans. Power Deliv. 2021, 36, 10–18. [Google Scholar] [CrossRef]
- Okabe, S.; Tsuboi, T.; Takami, J. Evaluation of Κ-factor based on insulation characteristics under non-standard lightning impulse waveforms. IEEE Trans. Dielectr. Electr. Insul. 2009, 16, 1124–1126. [Google Scholar] [CrossRef]
- Tsuboi, T.; Ueta, G.; Okabe, S.; Shimizu, Y.; Ishikura, T.; Hino, E. K-Factor Value and Front-Time-Related Characteristics in Negative Polarity Lightning Impulse Test for UHV-Class Air Insulation. IEEE Trans. Power Deliv. 2013, 28, 1148–1155. [Google Scholar] [CrossRef]
- IEC 61083-2. Instruments and Software Used for Measurement in High-Voltage and High Current Tests. Part 2: Requirements for Software for Tests with Impulse Voltages and Currents, 2nd ed.; IEC: Geneva, Switzerland, 2013. [Google Scholar]
- Jamroen, P.; Yoosorn, P.; Waengsothorn, S.; Yutthagowith, P. Modified Gauss–Newton algorithm for evaluation of full lightning impulse voltage parameters. Sens. Mater. 2021, 33, 2631. [Google Scholar] [CrossRef]
- Li, Y.; Kuffel, J.; Janischewskyj, W. Exponential fitting algorithms for digitally recorded HV impulse parameter evaluation. IEEE Trans. Power Deliv. 1993, 8, 1727–1735. [Google Scholar] [CrossRef]
- Pattanadech, N.; Yutthagowith, P. Fast curve fitting algorithm for parameter evaluation in lightning impulse test technique. IEEE Trans. Dielectr. Electr. Insul. 2015, 22, 2931–2936. [Google Scholar] [CrossRef]
- Yutthagowith, P.; Pattanadech, N. Improved Least-Square Prony Analysis Technique for Parameter Evaluation of Lightning ImpulseVoltage and Current. IEEE Trans. Power Deliv. 2016, 31, 271–277. [Google Scholar] [CrossRef]
- Yutthagowith, P.; Kitwattana, K.; Kunakorn, A. Fast and effective technique in evaluation of lightning impulse voltage parameters. J. Electr. Eng. Technol. 2020, 16, 459–467. [Google Scholar] [CrossRef]
- Lewin, P.L.; Tran, T.N.; Swaffield, D.J.; Hallstrom, J.K. Zero-Phase Filtering for Lightning Impulse Evaluation: A K-factor Filter for the Revision of IEC60060-1 and -2. IEEE Trans. Power Deliv. 2007, 23, 3–12. [Google Scholar] [CrossRef]
- User Manual for Digital Impulse Measuring Systems, Transient Recorders and Evaluating Systems, Downloaded in Jan. 2022. Available online: http://www.strauss-mess.de/dokumente/WinTRAS-KAL-E.pdf (accessed on 8 January 2022).













| Case | Parameters and Deviations in Brackets | |||
|---|---|---|---|---|
| T1 (µs) | T2 (µs) | Ut (kV) | βe (%) | |
| LI-A1 | 0.842 (+0.2%) | 60.16 (0.0%) | 1049.66 (+0.01%) | 0.03 (+0.03%) |
| LI-A2 | 1.695 (+0.1%) | 47.48 (0.0%) | 1037.65 (+0.01%) | 5.25 (+0.15%) |
| LI-A3 | 1.119 (+0.1%) | 48.16 (0.0%) | 1000.36 (+0.02%) | 4.73 (+0.13%) |
| LI-A4 | 0.844 (+0.4%) | 47.78 (0.0%) | 856.34 (+0.04%) | 7.78 (−0.12%) |
| LI-A5 | 1.717 (+0.3%) | 47.70 (0.0%) | 71.98 (+0.01%) | 7.86 (+0.16%) |
| LI-A6 | 1.768 (+0.3%) | 41.59 (0.0%) | 100.17 (0.00%) | 17.98 (+0.28%) |
| LI-A7 | 2.130 (+0.4%) | 38.38 (+0.1%) | 104.33 (−0.02%) | 20.48 (+0.38%) |
| LI-A8 | 1.508 (+0.3%) | 44.92 (0.0%) | 96.02 (+0.01%) | 14.71 (−0.09%) |
| LI-A9 | 1.215 (0.0%) | 55.74 (0.0%) | 55.93 (0.00%) | 4.07 (+0.07%) |
| LI-A10 | 0.928 (+0.5%) | 42.64 (0.0%) | 81.96 (+0.03%) | 11.86 (−0.14%) |
| LI-A11 | 0.578(0.0%) | 56.35 (0.0%) | 86.62 (+0.02%) | 3.99 (−0.11%) |
| LI-A12 | 0.584 (−0.6%) | 57.36 (0.0%) | 85.58 (0.00%) | 2.25 (−0.05%) |
| LI-M1 | 1.135 (+1.1%) | 85.59 (0.0%) | 952.24 (+0.02%) | 2.15 (+0.05%) |
| LI-M2 | 3.357 (0.0%) | 61.25 (0.0%) | −1041.63 (−0.01%) | 9.29 (+0.09%) |
| LI-M3 | 2.152 (+0.1%) | 41.75 (0.0%) | −1026.46 (0.00%) | 9.28 (+0.08%) |
| LI-M4 | 0.981 (−0.6%) | 56.22 (0.0%) | −267.14 (0.00%) | 4.75 (−0.05%) |
| LI-M5 | 2.752 (+0.2%) | 42.13 (0.0%) | −55.00 (0.00%) | 18.86 (+0.16%) |
| LI-M6 | 1.378 (+1.6%) | 54.74 (0.0%) | −166.87 (0.00%) | 3.65 (−0.15%) |
| LI-M7 | 1.488 (+0.4%) | 50.01 (0.0%) | −1272.45 (+0.01%) | 11.03 (−0.17%) |
| LI-M8 | 1.519 (+0.3%) | 49.36 (0.0%) | −99.74 (+0.01%) | −0.43 (+0.07%) |
| LI-M9 | 0.838 (+1.2%) | 46.65 (0.0%) | −100.07 (+0.03%) | 1.56 (+0.16%) |
| LI-M10 | 1.674 (+0.5%) | 60.86 (0.0%) | 100.26 (0.00%) | 0.03 (+0.03%) |
| LI-M11 | 1.671 (+0.6%) | 60.94 (0.0%) | 299.33 (0.00%) | −0.41 (+0.09%) |
| LI-M12 | 1.305 (+1.0%) | 52.26 (0.0%) | −4.32 (0.00%) | −1.64 (+0.16%) |
| LI-M13 | 1.541 (+0.2%) | 46.94 (0.0%) | 39.46 (0.00%) | 2.00 (+0.20%) |
| LI-M14 | 0.932 (−0.1%) | 37.45 (0.0%) | 48.55 (0.00%) | 4.34 (+0.04%) |
| LI-M15 | 1.012 (−0.5%) | 59.19 (0.0%) | 497.88 (−0.02%) | −0.07 (+0.03%) |
| LI-M16 | 0.906 (−1.6%) | 47.58 (+0.1%) | 369.08 (−0.04%) | 1.01 (+0.21%) |
| LI-M17 | 1.773 (−0.1%) | 53.32 (0.0%) | −99.34 (0.00%) | 1.34 (+0.04%) |
| LI-X1 | 1.202 (+0.2%) | 50.00 (0.0%) | 120.01 (0.00%) | 0.05 (+0.05%) |
| LI-X2 | 1.675 (0.0%) | 55.98 (0.0%) | 125.79 (0.00%) | 5.75 (+0.03%) |
| LI-X3 | 1.908 (+0.1%) | 51.66 (0.0%) | 132.43 (0.00%) | 10.11 (+0.06%) |
| LI-X4 | 0.649 (+0.3%) | 53.58 (−0.1%) | 129.25 (+0.05%) | 8.99 (−0.24%) |
| LI-X5 | 0.825 (−0.4%) | 46.30 (0.0%) | 141.15 (+0.01%) | 18.64 (−0.41%) |
| LI-X6 | 1.203 (+0.1%) | 49.91 (0.0%) | 120.00 (0.00%) | 0.55 (+0.02%) |
| LI-X7 | 1.670 (−0.2%) | 55.96 (0.0%) | 125.85 (−0.01%) | 6.46 (−0.07%) |
| LI-X8 | 1.904 (+0.1%) | 51.63 (0.0%) | 132.44 (0.00%) | 10.54 (+0.11%) |
| LI-X9 | 0.651 (+0.4%) | 53.47 (−0.1%) | 129.23 (+0.07%) | 9.30 (−0.21%) |
| LI-X10 | 0.826 (+0.2%) | 46.28 (−0.1%) | 141.17 (+0.04%) | 18.95 (−0.34%) |
| Methods | Maximum Deviations of Waveform Parameters (Case) | |||
|---|---|---|---|---|
| T1 | T2 | Vp | βe | |
| Proposed | +1.6% (LI-M6) | +0.1% (LI-M16) | +0.04% (LI-A4) | +0.38% (LI-A7) |
| [16] | +1.9% (LI-M14) | −0.1% (LI-M7) | −0.07% (LI-M16) | −0.92% (LI-M5) |
| [17] | +1.9% (LI-M6) | −0.1% (LI-M7) | +0.07% (LI-M16) | +0.89% (LI-M6) |
| [18] | +2.0% (LI-A12) | +0.1% (LI-A4) | +0.06% (LI-A4) | −0.79% (LI-A6) |
| IEC procedure | +0.3% (LI-A6) | +0.0% (LI-M9) | −0.02% (LI-M7) | −0.09% (LI-A7) |
| Methods | Execution Time (Case) | ||
|---|---|---|---|
| Maximum | Minimum | Average | |
| Proposed method | 10.635 ms (LI-M2) | 3.235 ms (LI-M9) | 8.516 ms |
| [16] | 12.455 ms (LI-M2) | 4.876 ms (LI-M9) | 8.887 ms |
| [17] | 11.342 ms (LI-M2) | 4.435 ms (LI-M9) | 7.877 ms |
| [18] | 8.231 ms (LI-M2) | 6.754 ms (LI-M9) | 7.213 ms |
| IEC procedure | 431 ms (LI-M2) | 235 ms (LI-M2) | 316 ms |
| Commercial software [20] | 10.124 s (LI-M2) | 6.320 s (LI-M9) | 8.516 s |
Publisher’s Note: MDPI stays neutral with regard to jurisdictional claims in published maps and institutional affiliations. |
© 2022 by the author. Licensee MDPI, Basel, Switzerland. This article is an open access article distributed under the terms and conditions of the Creative Commons Attribution (CC BY) license (https://creativecommons.org/licenses/by/4.0/).
Share and Cite
Yutthagowith, P. Non-Iterative Technique for Determination of Full Lightning Impulse Voltage Parameters. Energies 2022, 15, 4199. https://doi.org/10.3390/en15124199
Yutthagowith P. Non-Iterative Technique for Determination of Full Lightning Impulse Voltage Parameters. Energies. 2022; 15(12):4199. https://doi.org/10.3390/en15124199
Chicago/Turabian StyleYutthagowith, Peerawut. 2022. "Non-Iterative Technique for Determination of Full Lightning Impulse Voltage Parameters" Energies 15, no. 12: 4199. https://doi.org/10.3390/en15124199
APA StyleYutthagowith, P. (2022). Non-Iterative Technique for Determination of Full Lightning Impulse Voltage Parameters. Energies, 15(12), 4199. https://doi.org/10.3390/en15124199
