Stability Analysis of a Typical Salt Cavern Gas Storage in the Jintan Area of China
Abstract
:1. Introduction
2. Constitutive Model of Rock Salt
2.1. Elastic–Plastic Constitutive Model
2.2. CPOWER Visco-Elastoplastic Creep Constitutive Model
3. Single Chamber Model of Rock Salt Gas Storage
3.1. Basic Geological Conditions of the Salt Mine
3.2. Selection of the Computational Grid Model
4. Calculation Conditions and Schemes
4.1. Calculation Method
4.2. Calculation Parameters
4.3. Condition Program
5. Numerical Simulation Evaluation
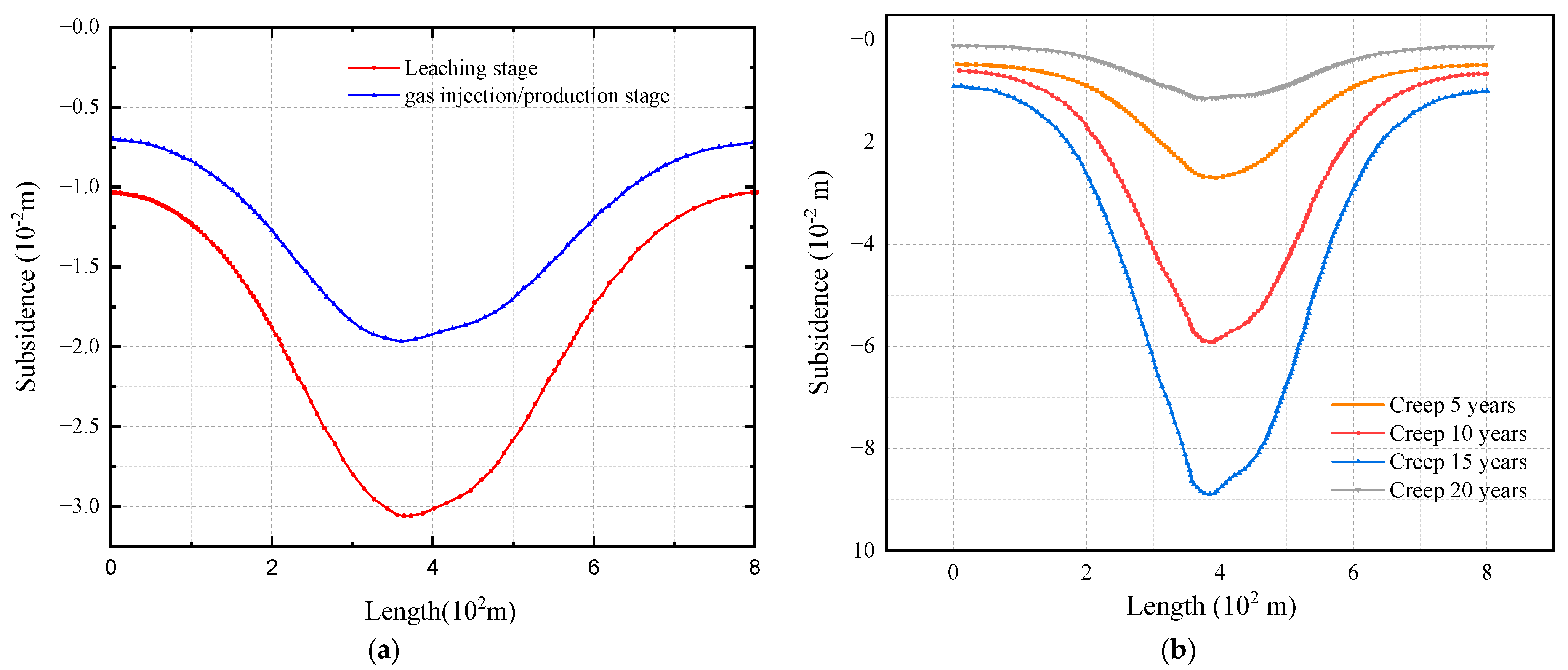
5.1. Land Subsidence
5.2. Cavern Displacement
5.3. Distribution of Surrounding Rock Plastic Zone
5.4. Volume Shrinkage
6. Conclusions
- Maximum surface subsidence occurred near the top of the cavern. The surface subsidence increased proportionally to creep time, but the increase rate eventually diminished, that is, it converged. Subsidence, however, was relatively small and showed little effect at the surface;
- Maximum settlement occurred at the top of the cavern, maximum uplift occurred at the bottom of the cavern, and maximum horizontal displacement occurred at the convex part of the central cavern;
- The application of internal pressure would inhibit the growth of the plastic zone, but its range would generally increase proportionally to increasing creep time;
- For the static calculation condition, the deformation value of the cavern’s surrounding rock was small. Combined with the distribution of the plastic zone, we may consider that the cavern surrounding rock is stable;
- For the one-year creep condition of injection–production, the deformation value of the cavern’s surrounding rock at this time had increased, compared with the static condition, but the overall value was still relatively small. Combined with the distribution of the plastic zone, we may consider that the cavern surrounding rock is essentially stable. However, considering that the creep time simulated was short, it is a factor that should still be carefully scrutinized in future studies. Combined with appropriate field monitoring, a corresponding treatment can hence be carried out;
- For the 20-year creep condition, the deformation value of the cavern’s surrounding rock is significant; the shrinkage rate of the cavern volume was found to be 10.563%, which is still within the safe range. Combined with the distribution of the plastic zone, considering the possible instability of the surrounding rock of the cavern, corresponding reinforcement measures must be taken.
Author Contributions
Funding
Acknowledgments
Conflicts of Interest
References
- Wang, T.; Yang, C.; Wang, H.; Ding, S.; Daemen, J.J.K. Debrining prediction of a salt cavern used for compressed air energy storage. Energy 2018, 147, 464–476. [Google Scholar] [CrossRef]
- He, W.; Luo, X.; Evans, D.; Busby, J.; Garvey, S.; Parkes, D.; Wang, J. Exergy storage of compressed air in cavern and cavern volume estimation of the large-scale compressed air energy storage system. Appl. Energy 2017, 208, 745–757. [Google Scholar] [CrossRef]
- Wan, J.; Peng, T.; Yuan, G.; Ban, F.; Jurado, M.J.; Xia, Y. Influence of tubing/oil-blanket lifting on construction and geometries of two-well-horizontal salt caverns. Tunn. Undergr. Space Technol. 2021, 108, 103688. [Google Scholar] [CrossRef]
- Takach, M.; Sarajlić, M.; Peters, D.; Kroener, M.; Schuldt, F.; von Maydell, K. Review of Hydrogen Production Techniques from Water Using Renewable Energy Sources and Its Storage in Salt Caverns. Energies 2022, 15, 1415. [Google Scholar] [CrossRef]
- Wan, J.; Peng, T.; Shen, R.; Jurado, M.J. Numerical model and program development of TWH salt cavern construction for UGS. J. Pet. Sci. Eng. 2019, 179, 930–940. [Google Scholar] [CrossRef] [Green Version]
- Cyran, K. Insight Into a Shape of Salt Storage Caverns. Arch. Min. Sci. 2020, 65, 363–398. [Google Scholar]
- Ślizowski, J.; Lankof, L.; Urbańczyk, K.; Serbin, K. Potential capacity of gas storage caverns in rock salt bedded deposits in Poland. J. Nat. Gas Sci. Eng. 2017, 43, 167–178. [Google Scholar] [CrossRef]
- Warren, J.K. Solution Mining and Salt Cavern Usage. In Evaporites: A Geological Compendium; Springer International Publishing: Cham, Switzerland, 2016; pp. 1303–1374. [Google Scholar]
- Ozarslan, A. Large-scale hydrogen energy storage in salt caverns. Int. J. Hydrogen Energy 2012, 37, 14265–14277. [Google Scholar] [CrossRef]
- Li, P.; Li, Y.; Shi, X.; Zhao, A.; Hao, S.; Gong, X.; Jiang, S.; Liu, Y. Stability analysis of U-shaped horizontal salt cavern for underground natural gas storage. J. Energy Storage 2021, 38, 102541. [Google Scholar] [CrossRef]
- Wang, T.; Chai, G.; Cen, X.; Yang, J.; Daemen, J.J.K. Safe distance between debrining tubing inlet and sediment in a gas storage salt cavern. J. Pet. Sci. Eng. 2021, 196, 107707. [Google Scholar] [CrossRef]
- Liu, W.; Zhang, Z.; Chen, J.; Jiang, D.; Wu, F.; Fan, J.; Li, Y. Feasibility evaluation of large-scale underground hydrogen storage in bedded salt rocks of China: A case study in Jiangsu province. Energy 2020, 198, 117348. [Google Scholar] [CrossRef]
- Yin, H.; Yang, C.; Ma, H.; Shi, X.; Zhang, N.; Ge, X.; Li, H.; Han, Y. Stability evaluation of underground gas storage salt caverns with micro-leakage interlayer in bedded rock salt of Jintan, China. Acta Geotech. 2020, 15, 549–563. [Google Scholar] [CrossRef]
- Wang, T.; Li, J.; Jing, G.; Zhang, Q.; Yang, C.; Daemen, J.J.K. Determination of the maximum allowable gas pressure for an underground gas storage salt cavern—A case study of Jintan, China. J. Rock Mech. Geotech. Eng. 2019, 11, 251–262. [Google Scholar] [CrossRef]
- Liu, W.; Zhang, Z.; Fan, J.; Jiang, D.; Daemen, J.J.K. Research on the Stability and Treatments of Natural Gas Storage Caverns With Different Shapes in Bedded Salt Rocks. IEEE Access 2020, 8, 18995–19007. [Google Scholar] [CrossRef]
- Chen, X.; Li, Y.; Liu, W.; Ma, H.; Ma, J.; Shi, X.; Yang, C. Study on Sealing Failure of Wellbore in Bedded Salt Cavern Gas Storage. Rock Mech. Rock Eng. 2019, 52, 215–228. [Google Scholar] [CrossRef]
- Yin, H.; Yang, C.; Ma, H.; Shi, X.; Chen, X.; Zhang, N.; Ge, X.; Liu, W. Study on Damage and Repair Mechanical Characteristics of Rock Salt Under Uniaxial Compression. Rock Mech. Rock Eng. 2019, 52, 659–671. [Google Scholar] [CrossRef]
- Zhang, G.; Wang, Z.; Wang, L.; Chen, Y.; Wu, Y.; Ma, D.; Zhang, K. Mechanism of collapse sinkholes induced by solution mining of salt formations and measures for prediction and prevention. Bull. Eng. Geol. Environ. 2019, 78, 1401–1415. [Google Scholar] [CrossRef]
- Yuan, G.; Wan, J.; Li, J.; Li, G.; Xia, Y.; Ban, F.; Zhang, H.; Jurado, M.J.; Peng, T.; Liu, W. Stability analysis of a typical two-well-horizontal saddle-shaped salt cavern. J. Energy Storage 2021, 40, 102763. [Google Scholar] [CrossRef]
- Liu, J.; Song, J.; Zhang, Q.; Zhang, W. Stability analysis of Jintan underground rock salt gas storage cavern. Multidiscip. Modeling Mater. Struct. 2013, 9, 268–283. [Google Scholar] [CrossRef]
- Shi, X.; Liu, W.; Chen, J.; Yang, C.; Li, Y.; Ma, H.; Peng, H.; Wang, T.; Ma, X. Geological Feasibility of Underground Oil Storage in Jintan Salt Mine of China. Adv. Mater. Sci. Eng. 2017, 2017, 11. [Google Scholar] [CrossRef] [Green Version]
- Xing, W.; Zhao, J.; Düsterloh, U.; Brückner, D.; Hou, Z.; Xie, L.; Liu, J. Experimental study of mechanical and hydraulic properties of bedded rock salt from the Jintan location. Acta Geotech. 2014, 9, 145–151. [Google Scholar] [CrossRef]
- Li, J.; Tang, Y.; Shi, X.; Xu, W.; Yang, C. Modeling the construction of energy storage salt caverns in bedded salt. Appl. Energy 2019, 255, 113866. [Google Scholar] [CrossRef]
- Zhang, N.; Shi, X.L.; Wang, T.T.; Yang, C.H.; Liu, W.; Ma, H.L.; Daemen, J.J.K. Stability and availability evaluation of underground strategic petroleum reserve (SPR) caverns in bedded rock salt of Jintan, China. Energy 2017, 134, 504–514. [Google Scholar] [CrossRef]
- Yang, C.; Wang, T.; Li, Y.; Yang, H.; Li, J.; Xu, B.; Yang, Y.; Daemen, J.J.K. Feasibility analysis of using abandoned salt caverns for large-scale underground energy storage in China. Appl. Energy 2015, 137, 467–481. [Google Scholar] [CrossRef]
- Ma, H.; Yang, C.; Li, Y.; Shi, X.; Liu, J.; Wang, T. Stability evaluation of the underground gas storage in rock salts based on new partitions of the surrounding rock. Environ. Earth Sci. 2015, 73, 6911–6925. [Google Scholar] [CrossRef]
- Itasca. FLAC-3D (Version 5.0) User Manual; Itasca Cons Group Inc.: Minneapolis, MN, USA, 2012. [Google Scholar]
- Shahmorad, Z.; Salarirad, H.; Molladavoudi, H. A study on the effect of utilizing different constitutive models in the stability analysis of an underground gas storage within a salt structure. J. Nat. Gas Sci. Eng. 2016, 33, 808–820. [Google Scholar] [CrossRef]
- Zhou, J.; Peng, J.; Huang, X.; Chen, Y.; Liang, G.; Li, Q. Research on long-term operation stability of salt rock underground gas storage with interlayers. Arab. J. Geosci. 2022, 15, 389. [Google Scholar] [CrossRef]
- Canadian Standards Association. Storage of Hydrocarbons in Underground Formations; Canadian Standards Association: Mississauga, ON, Canada, 2010. [Google Scholar]
- Asgari, A.; Brouard, B. Stability Analysis of Natural Gas Storage Caverns in Salt Formations. In Proceedings of the Solution Mining Research Institute Fall 2012 Technical Conference, Bremen, Germany, 1–2 October 2012. [Google Scholar]












| Lithology | Density (kg/m3) | Elastic Modulus (GPa) | Poisson’s Ratio | Cohesion (MPa) | Tensile Strength (MPa) | A | n | |
|---|---|---|---|---|---|---|---|---|
| Rock salt | 2200 | 25.0 | 0.25 | 2.0 | 30 | 2 | 3 | |
| Mudstone | 2200 | 18.0 | 0.3 | 2.0 | 35 | 2 | 3 |
| Working Condition | Calculation Types | Creep Time (Years) | Remark |
|---|---|---|---|
| 1 | Static force | 0 | Surface subsidence, cavern displacement, and plastic zone distribution. |
| 2 | Creep | 20 | The distribution of surface settlement, cavern displacement, and plastic zone of creep for 5, 10, 15, and 20 years with time growth. |
| 3 | Creep | 1 | Two injection–production cycles within one year; that is, in one cycle (6 months), the cavern pressure was 15 MPa, and the operation was carried out over 3 months. In the next cycle, cavern pressure was at 8 MPa and run for 3 months. |
Publisher’s Note: MDPI stays neutral with regard to jurisdictional claims in published maps and institutional affiliations. |
© 2022 by the authors. Licensee MDPI, Basel, Switzerland. This article is an open access article distributed under the terms and conditions of the Creative Commons Attribution (CC BY) license (https://creativecommons.org/licenses/by/4.0/).
Share and Cite
Li, J.; Wan, J.; Liu, H.; Jurado, M.J.; He, Y.; Yuan, G.; Xia, Y. Stability Analysis of a Typical Salt Cavern Gas Storage in the Jintan Area of China. Energies 2022, 15, 4167. https://doi.org/10.3390/en15114167
Li J, Wan J, Liu H, Jurado MJ, He Y, Yuan G, Xia Y. Stability Analysis of a Typical Salt Cavern Gas Storage in the Jintan Area of China. Energies. 2022; 15(11):4167. https://doi.org/10.3390/en15114167
Chicago/Turabian StyleLi, Jingcui, Jifang Wan, Hangming Liu, Maria Jose Jurado, Yuxian He, Guangjie Yuan, and Yan Xia. 2022. "Stability Analysis of a Typical Salt Cavern Gas Storage in the Jintan Area of China" Energies 15, no. 11: 4167. https://doi.org/10.3390/en15114167
APA StyleLi, J., Wan, J., Liu, H., Jurado, M. J., He, Y., Yuan, G., & Xia, Y. (2022). Stability Analysis of a Typical Salt Cavern Gas Storage in the Jintan Area of China. Energies, 15(11), 4167. https://doi.org/10.3390/en15114167

