Next Article in Journal
Optimization Study on Microwave-Assisted Hydrothermal Liquefaction of Malaysian Macroalgae Chaetomorpha sp. for Phenolic-Rich Bio-Oil Production
Previous Article in Journal
Responsible Knowledge Management in Energy Data Ecosystems
 
 
Font Type:
Arial Georgia Verdana
Font Size:
Aa Aa Aa
Line Spacing:
Column Width:
Background:
Article

Dynamic Performance Evaluation of the Secondary Control in Islanded Microgrids Considering Frequency-Dependent Load Models

by
Miguel Angel Rios
,
Sandra Pérez-Londoño
* and
Alejandro Garcés
Department of Electrical Engineering, Universidad Tecnológica de Pereira, Pereira 660003, Colombia
*
Author to whom correspondence should be addressed.
Energies 2022, 15(11), 3976; https://doi.org/10.3390/en15113976
Submission received: 13 April 2022 / Revised: 17 May 2022 / Accepted: 18 May 2022 / Published: 27 May 2022

Abstract

Performance analysis is challenging in modern power distribution networks due to the increasing penetration of distributed energy resources (DERs) interfaced by voltage source converters (VSCs). Parameter uncertainty, black-box models of the components, and low inertia are some of the issues that must be addressed. The latter can represent high vulnerabilities to sudden load changes in a microgrid (MG). Additionally, the islanded operation represents a challenge for inverter-based (DERs), where secondary control must regulate the microgrid frequency and voltage to its nominal values. When a secondary control strategy is implemented, it is necessary to validate its performance under several conditions. Most existing research papers focus on the microgrid’s small-signal and transient stability. At the same time, little has been done on the influence of the load model on voltage stability. This type of analysis is required to ensure an adequate transition between the grid-connected and stand-alone modes. This paper provides a voltage stability analysis of a microgrid, considering secondary control based on receding horizon and frequency-dependent load models. Simulation results demonstrate the robust performance of the secondary control and validate the importance of considering or adapting voltage stability indices to ensure adequate microgrid performance.

1. Introduction

Variable renewable energy (VRE), inverter-connected resources (ICR), and distributed energy resources (DER) represent a challenge for analyzing and operating microgrids and active distribution networks (ADN) [1,2,3]. Stability studies in these grids require the extension of classic concepts to this new context, including components such as power converters, small wind turbines, photovoltaic modules, batteries, and micro-gas turbines. Moreover, the grid-connected and islanded mode must be considered, as well as new protection schemes, energy management systems, and several control strategies used for voltage and frequency regulation in grids with low inertia, weak damping, and small output impedance [3,4,5,6].
The current scientific literature about microgrid stability mainly focuses on small-signal and transient stability, and few consider voltage stability. The latter is defined as the system’s capability to maintain and restore voltage on all buses after a small or large disturbance [7]. Numerous factors affect the voltage stability, such as the impedance, the r / x factor, the amount of load, and the position of the transformers’ taps. The model of the load may also affect the voltage stability. However, most microgrid studies are performed with constant power models (CPLs). Considering that a microgrid may be exposed to frequency and voltage changes in isolated mode, it is necessary to analyze the impact on the load model and the performance of secondary control.
The revised literature shows numerous references related to small-signal [8,9,10,11,12] and transient stability analysis on microgrids [13,14,15,16]. However, there are few works related to voltage stability. Some studies proposed strategies to prevent the occurrence of failures in smart grids [17,18]; other studies apply tools to characterize the voltage stability as an eigenvalue analysis [19], energy function [20], PQ curve [21], or voltage stability indices (VSI) [22,23,24,28]. Although VSI plays an important role in exploring the stability condition of the electric system, few proposals include both islanded and connected operation modes [24,28]. As shown in Table 1, most papers considered CPLs in the analysis of the connected mode without considering the influence of the frequency. In this mode, the main grid imposes this variable and the voltage at the point of common coupling (PCC). However, maintaining voltage stability in islanded mode is more challenging than in grid-connected mode because the MG is not supported by the utility and requires the control actions of inverters to regulate this variable. Due to the susceptibility of islanded MGs to voltage and frequency variations being higher in grid-connected mode, this requires the proper modeling of voltage and frequency-dependent loads. To the best of the authors’ knowledge, this aspect has been little studied in the literature.
In [22] a new real-time stability index was proposed based on estimation of the Thevenin impedance; however, this work only considered CPLs. In [23], a modified voltage stability index was used, assuming a two-tier load model (ZIP or constant impedance model) according to voltage ranges. The authors in [19] explored the voltage instability/collapse problem in ac–dc hybrid microgrids (HMGs) during islanding and under contingencies considering CPLs. Constant power loads were also used in [20], where a small-signal voltage stability analysis of the microgrid was achieved. An alternative was presented in [21], where an energy function was used to monitor the microgrid security margin. The authors in [24] analyzed the influence of the microgrid operating condition on the voltage stability margin indexes. A new voltage stability index based on the network–load admittance ratio was exposed and tested in [25]; however, it only considers CPL. This load type assumption also is considered in [26], where the performance of three traditional indices on a microgrid test system is analyzed. Other references, such as [28], propose two indices to define the voltage stability in radial distribution networks when constant and ZIP load models are included. These load types are also considered in [27], which analyzes the effect of DG capacity and location on the voltage stability analysis of a radial distribution system. Although other load types than constant power are considered in the above references, the influence of frequency is not considered. To fill this research gap, we extend the application of a centralized secondary control based on the receding horizon previously proposed in [29], considering the influence of frequency-dependent load models to analyze the impact on microgrid voltage stability.
The rest of the paper is organized as follows. Section 2 describes the theoretical aspects: the hierarchical control strategy, with particular consideration of secondary control, and the proposed technique; the voltage stability in microgrids, load modeling influence, and evaluation of the stability of the islanded microgrid through the application of voltage stability indices are presented in Section 4. Simulation results are presented and discussed in Section 4. Finally, conclusions are presented in Section 5.

2. Review of Microgrid Control

2.1. Hierarchical Control

Unlike traditional power systems, microgrids can operate with high voltage and frequency deviations. The lack of inertia for systems with DERs in islanded mode produces significant changes in how the frequency behaves [30]. For this reason, all control layers of a microgrid must respond adequately to guarantee stable operation. An AC microgrid uses a hierarchical control structure split into three main layers: primary, secondary, and tertiary control loops [31,32].
Although voltage and frequency stability is mainly dominated by primary control in electric systems and also microgrids, as control with faster response to disturbances, secondary control must be designed to produce feasible set points to primary control, guaranteeing the stability of all variables as they approach the nominal values while considering available resources from tertiary control. The objectives of the three-level hierarchical control scheme are described in brief in subsequent sections.
Primary control is the fastest control layer that executes local control actions at each power converter to carry the system to a stable frequency and voltage operation point. This control emulates the inertial behavior of synchronous machines by the droop control method. Figure 1 depicts the diagram of a droop-controlled converter, where active and reactive power references are, respectively, p ref and q ref . The secondary control provides these references every time the frequency ω and/or the voltages | v k | are deviated from their nominal values, ω o and v ref , respectively. γ and λ represent the droop constants given by primary control at each power converter.
The main objective of secondary control is to restore the frequency and voltages to the nominal values. This control provides new set-points for the primary control while considering the frequency and voltage variations.
Figure 2 shows the frequency behavior in a microgrid when there is a switch from connected to islanded mode, considering the effect of primary and secondary control.
A frequency variation leads primary control to stabilize it in a stable point, which can be different from the nominal frequency value f * . Secondary control, which can be centralized or decentralized [31], considers the operation point found by primary control and the availability of the distributed energy sources, as well as the grid capabilities, and generates new set points in order to balance the system and return the frequency to f * . Despite including power electronic devices and new renewable energy generation, a microgrid has low inertia properties, and its generation capacity is limited. Then, a small change in the microgrid load or small perturbations may create a powerful impact on the system’s frequency and voltage. However, when a decentralized strategy is considered, the power balance cannot be guaranteed since each distributed generator, connected to the grid by an electronic converter, can only stabilize its power injection, voltage, and frequency [33,34].
On the other hand, a centralized strategy for the secondary control must coordinate the generation units interfaced by a power electronic converter to keep their frequency at the same value. In the case of decentralized approaches, every decentralized secondary control has to communicate with each other to avoid each one stabilizing differently and to different values, which can be detrimental for the grid operation [35]. Additionally, in decentralized approaches, all generation units can reach different stable operation points. The stable operation point of frequency must be the same for all generation units. Instead, centralized approaches are efficient for electric systems with nearby generation units, such as microgrids. This paper focuses on the centralized secondary control of an islanded microgrid when frequency-dependent load models are considered.
Finally, the tertiary control, which is in charge of the steady-state optimal operation of the grid, takes the data of economic dispatching, loads, and primary resource availability, among others, into consideration to optimize the MG operation [36]. Once the optimization problem is solved, the tertiary control communicates the set-points of the power outputs of each distributed generator unit, through the secondary control.

2.2. Optimization-Based Secondary Control

Receding horizon approaches for control systems are classically studied problems [37]. These strategies are based on an optimization algorithm that solves a certain number of problems in a determined time interval to produce a control signal that optimally solves the problem in a time horizon. Optimization algorithms used to solve the problem must be reliable and guarantee a global optimum and uniqueness on the solution. For secondary control problems, considering that electronic converters have a limited capacity to adjust the injected power, an approach based on the concept of receding horizon is analyzed, considering the primary control effect, optimal steady-state values given by tertiary control, and grid limitations [29]. Moreover, this secondary control problem may guarantee optimal modification on the set-points to preserve the power balance and set-points that preserve the grid stability. Although primary control is the control layer in charge of preserving the grid’s stability, secondary control modifies it. Hence, secondary control may guarantee stability in each step-by-step solution of the problem.
The main objective of the proposed centralized control is to carry grid frequency to the nominal value. Suitable values of voltage will also be considered in the optimization problem. A frequency-dependent power flow is executed to determine the operative state of the grid in every time step until the frequency is restored. Afterward, the optimization finds the optimal control actions for secondary control to restore the frequency considering grid restrictions. For this reason, it must be a convex problem to guarantee a global optimum in each step. It is worth mentioning that the frequency will be returned to its rated value only if the converters’ capabilities and the primary source’s availability are enough; here, the tertiary layer of control is in charge of guaranteeing the availability of resources if a disturbance appears. Figure 3 shows an example of how a receding horizon strategy can be implemented to solve frequency deviation problems in islanded microgrids where any disturbance is considered in t o . The secondary and primary control effects are shown, while the nominal frequency is reached in t 1 . A steady state for primary control is reached in every step. However, the effect of the frequency from the primary is clearly considered in the secondary control.

2.3. Hierarchical-Optimal Control Model

In order to build a model for hierarchical control on islanded microgrids, a power flow algorithm should be considered. Then, a power flow as formulated in (9) includes typical elements suggested for typical power flow methods but also considering the variation in the frequency followed by reference active and reactive powers, the effect of primary control, and the variation given by a secondary control.
Here, J corresponds to the Jacobian matrix associated with the non-linear equations representing the active and reactive power injection at each node. Notice that new variables Δ θ c and Δ ω are added. The former represents the centroid of the system, and the latter considers the frequency variations. The centroid concept is closely related to the center of inertia, frequently used in power system applications. Moreover, the centroid allows the definition of a reference point in a system with a lack of inertia using the droop constants of power converters. Thus, an optimization model as shown by Equations (1)–(9) can be built.
minimize Δ ω
subject to V min V + Δ V V max
P min P + Δ P sec P max
Δ P sec Δ P sec max
Δ Q sec Δ Q sec max
E battery min E battery k E battery max
P battery min P battery P battery max
E battery k = E battery k - 1 P battery k Δ t
P ¯ + Δ P sec + Γ T Δ ω Q ¯ + Δ Q sec + Λ T Δ V Δ θ C = J Δ θ Δ V Δ ω
Equations (2) and (3) represent the limits of voltage and power generated at each power converter. Δ V , Δ P sec , and Δ Q sec represent the variation in the voltage and the variation in set-points for active and reactive power due to the secondary control response at every converter, respectively. Additionally, Δ P sec max and Δ Q sec max are the limitations for the power converters to modify their set-points in every k iteration due to the secondary control response. E battery and P battery represent the stored energy and power injected from all storage devices for every iteration considering a time window Δ t . Then, Equations (6)–(8) represent the limitations of stored energy, injected active power, and the state of internal energy considering power injected, respectively. A more detailed model description can be seen in [29]. The workflow of the optimization model can be seen in the diagram of Figure 4, where the considerations of the primary, secondary, and tertiary layers of the control model makes up a complete hierarchical control structure.

3. Stability in Microgrids

Although microgrids are similarly represented as electric power systems, the stability analysis differs since many differences exist between microgrids and conventional power systems. The main contrast lies in the low reactance to resistance ratio given by the radically smaller microgrids compared to power systems. Microgrids include renewable energy sources that depend on the stochastic behavior of the primary resource. The fitful behavior of renewable energy sources, the reduced loads, and the power injections made by electronic power converters with small inertia make the stability analysis even more challenging. As microgrids must also operate in islanded mode, a minor modification of the grid configuration may result in significant voltage and frequency deviations. Then, control and operation strategies must take voltage and frequency variables near their nominal value and guarantee frequency and voltage stability in microgrids, especially in islanded operations. According to [38], microgrid stability can be classified regarding the part of the observed system—the Stability of the Control System or the Power Supply and Balance Stability. The last one is related to the system’s ability to maintain an active power balance through the demand power sharing among DERs. This class of stability can be subcategorized into Frequency and Voltage Stability. Voltage stability refers to general system stability and DC Link Capacitor Voltage Stability. Regarding the former, specific characteristics of microgrids, such as inverter dynamics, Q-V droop control, and load dynamics, among others, can affect the microgrid voltage stability.
Therefore, it is worth analyzing the impact of load modeling, specifically frequency-dependent load models, on the stability when a hierarchical control is applied, particularly during islanded operation.

3.1. Load Modeling

As the accuracy of control and stability analysis largely depends on the quality of the models used in describing electric system behavior, the load modeling has to be carefully considered in studies of microgrids. It has been widely demonstrated that different load models have different impacts on simulation results for voltage stability [39]. Therefore, in this paper, we consider the exponential load model that depends on the bus frequency, according to (10) and (11):
p = p 0 v v 0 ν p u [ 1 + κ p f ( f f 0 ) ]
q = q 0 v v 0 ν q u [ 1 + κ q f ( f f 0 ) ]
where f is the frequency of the bus voltage, f 0 is the nominal frequency, κ p f , κ q f are the frequency sensitivity parameters, p 0 and q 0 are the power consumed at the rated voltage v 0 , and ν p u , ν q u are voltage exponents for active and reactive powers, respectively. Generally, in electric power systems, the frequency factor f is often neglected since the voltage changes are much more frequent and more pronounced than the changes in system frequency; however, this assumption is not valid for isolated microgrids [38].

3.2. Voltage Stability Indices

Voltage stability indices (VSI) have been widely used to estimate proximity to stability problems in bulk systems, as these can determine how close a system is to a voltage collapse. The objective of these indices is to define a scalar magnitude to determine the status condition either for buses or line systems [7].
However, when these VSI are applied in MGs, there are many questions related to their applicability and validity. For instance, the X/R relation in MG is different compared to power systems and, therefore, the coupling between active power and frequency (P-f) and reactive power and voltage (Q-V) is less noticeable. Otherwise, some authors consider that voltage collapse has not been observed in MGs [38]; nevertheless, [19] argue that voltage collapse is possible in microgrids during serious contingency events. In this paper, a review of some VSI is realized and then they are applied, with the aim to determine the impact of the centralized secondary control strategy on the voltage and frequency stability of an isolated microgrid.
The voltage stability can be evaluated by line voltage stability indices (LVS) and bus stability indices (BSI). Many indices are considered in the literature, such as VCPI [40], L-index [41], NVSI [42], L i j [43], and PTSI [44], among others; however, relatively little research is reported on the application of these VSI in microgrids, as shown in Table 1.
According to [45], many of the existing VSIs cannot be directly employed for microgrid stability analysis due to different assumptions, such as no shunt admittance, zero resistance, or no DERs included, among others. However, few papers have demonstrated the applicability of the proposed indices under simulation as shown in Table 2. This paper selects and tests an index to verify the robustness of the proposed secondary control approach and its influence on microgrid stability.
However, some indices can be adjusted by considering DERs in either the sending or receiving end of a two-bus circuit. The modification can be done considering that the active power is composed by DER power minus load power. For the reactive power, we can include the compensator’s reactive power.

3.3. Islanded Mode of Microgrids

A microgrid, such as the one shown in Figure 5, is considered stable following the previously mentioned concepts if, after a disturbance, all of the steady-state variables are preserved. Moreover, new steady-state variables can be achieved as long as they are kept in the operational constraints. A disturbance can be considered as any external input, such as load modifications, component breakdown, or even operational set-point adjustments for the power converters [38]. However, due to the particular characteristics of microgrids, stability can be analyzed under different approaches. In traditional power systems, voltage stability issues happen more frequently, as shown previously, than frequency stability issues. However, in islanded microgrids, it is harder to maintain the frequency due to the absence of inertia in the system and the high penetration of renewable generation. Some requirements of the islanded operating condition are related to the restoration process of the voltage and frequency as quickly as possible to their nominal values.
Although the primary control mainly dominates stability in electrical systems, the secondary control must be designed to generate feasible set-points for the primary control, which also guarantees the stability of all the variables, particularly for microgrids. This paper focuses on the voltage stability analysis of a microgrid with frequency-dependent load models when a secondary control strategy is applied.

4. Results

In order to analyze the influence of the hierarchical control over the voltage stability, a test system provided by CIGRE [46] is adapted as shown in Figure 5. As the microgrid topology has a considerable impact on load ability and voltage stability, it has been considered a radial network, which is more challenging than a meshed-networked microgrid concerning load ability limits. The test system considers energy storage systems, wind and solar energy generation, and different load types. Each node in the dotted boxes in Figure 5 considers the inclusion of a power converter. The test system parameters are shown in Appendix A and are given per unit with 400 V, 100 kW, and 60 Hz as base quantities.
The exponential load models (ELM) presented in Section 3 are considered in the simulation to analyze the influence of load modeling during the islanding transition of the microgrid. Load characterization is assumed as residential, small industry, and agricultural classes. Each category has a different composition, as shown in Table 3. The ELM parameters described in Section 3.1, i.e., ν p u , ν q u , κ p f , κ q f , for each component are also presented in Table 3, where P F refers to the power factor. The values of the above constants for every load type were provided by [13]. Two different load scenarios are analyzed. Both cases consider constant frequency-dependent loads, with the same load composition but different load demand, as shown in Table 4.

4.1. Hierarchical Control

This section focuses on the analysis of the influence of the frequency-dependent load model as the composition load type on the stability of an islanded microgrid. To fulfill this objective, two cases are analyzed, as presented below.

4.1.1. Case 1

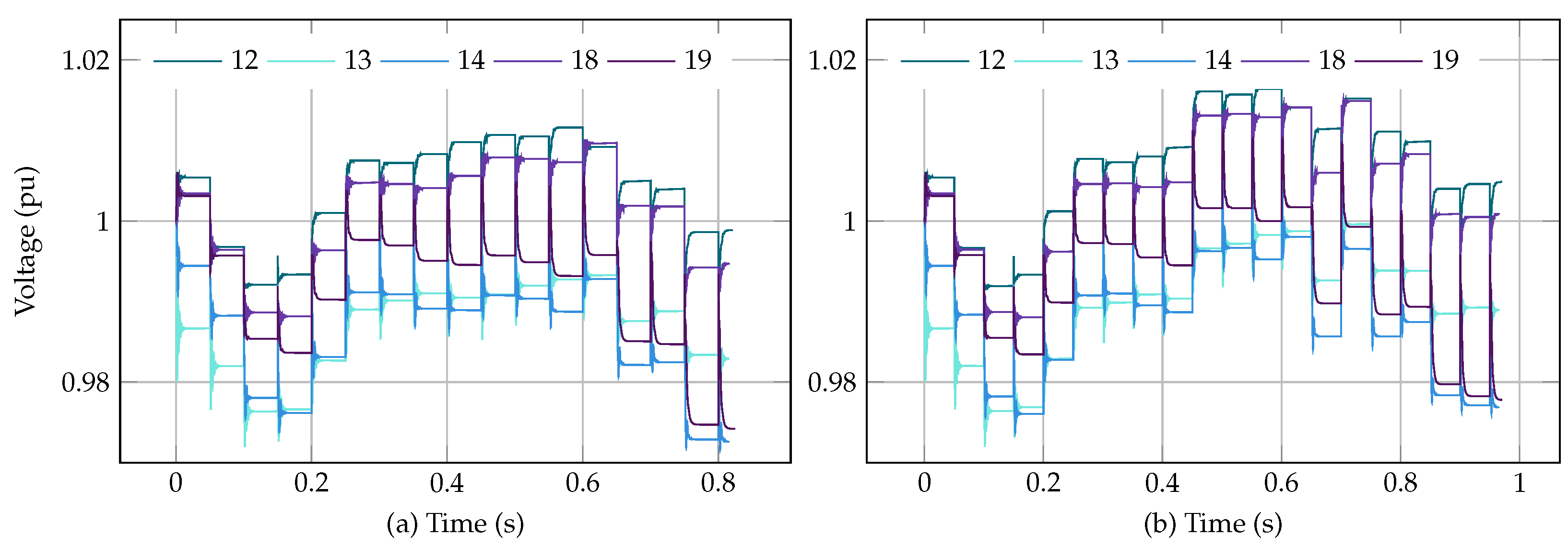
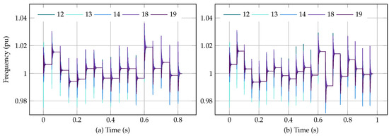
The microgrid is disconnected from the main grid in t = 0 s. As can be observed from Figure 6a, the converter’s frequency values differ from the nominal values during 0.8 s, when the constant load model is considered. During this time, the secondary control strategy takes these values back to the rated values. Otherwise, when we consider the exponential load model, the results show that the secondary control needs more time to achieve the isolated microgrid frequency stabilization, as shown in Figure 6b. In Figure 7a,b, it can be analyzed how the larger voltage variations are obtained with a more detailed load model compared to the constant power model.

4.1.2. Case 2

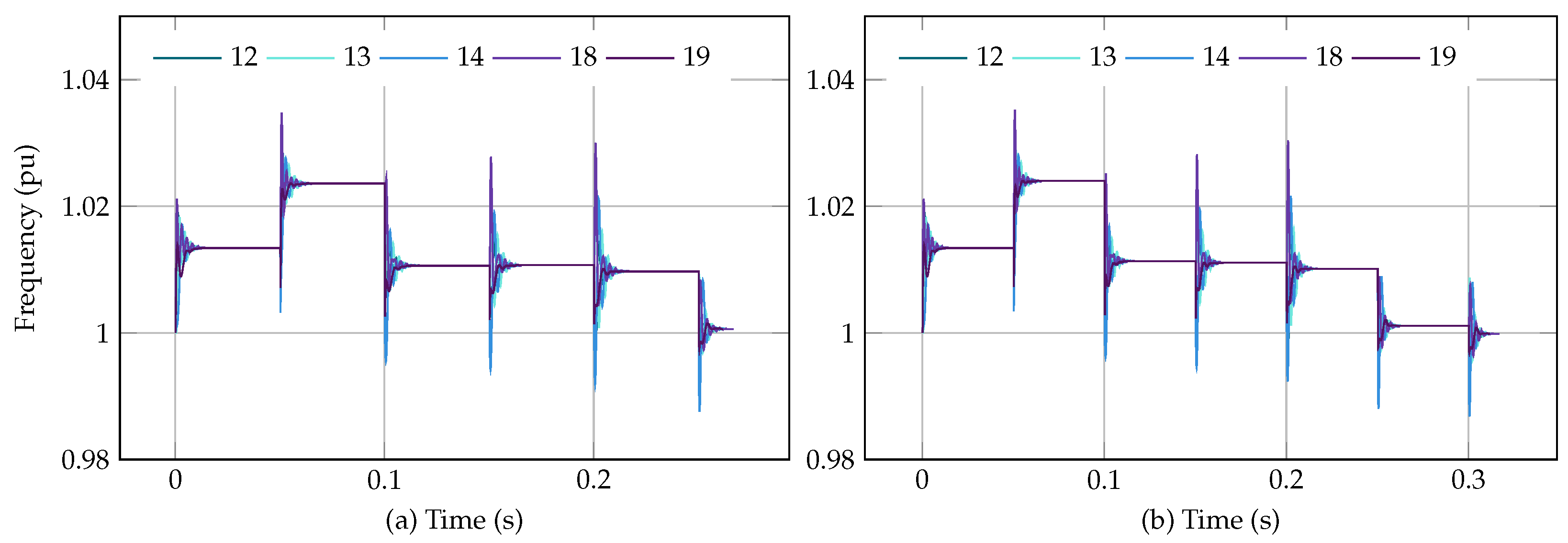
In this case, the energy demand is less than in case 1, but with the same load composition in the three remaining buses. Figure 8a,b show the secondary control with the same frequency magnitude deviations (between 0.98 and 1.04 p.u.) for the constant load model as a frequency-dependent load; however, the stabilization time required for the latter model is 0.05 s.
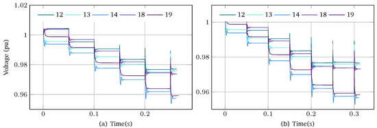
Although this time is minimal for the system analyzed, in a more complex microgrid with many loads and several DERs interfaced by VSCs, this stabilization time could increase and represent a problem in the switching from the grid-connected mode to the islanded mode. The simulation results of Figure 9a,b prove that case 2 resulted in a better voltage profile throughout the system compared to case 1.

4.2. Stability Index

In order to prove the secondary control’s effectiveness for the microgrid voltage stability, we apply the line voltage stability VCPI_1 in both case 1 and case 2. The VCPI_1 is defined in [47] as:
VCPI _ 1 = v r cos ( δ ) 0.5 v s
when VCPI_1 0 , the line voltage is stable, and otherwise, it is unstable.
Although, in this index, the Thevenin network impedance at the sending bus is neglected, in this paper, it was selected as it does not make simplifications in its formulation concerning the active or reactive powers, as in other indices such as FVSI [23] or Lmn [48]. Due to variations in the active power in buses with DGs, these indices cannot be used to analyze the microgrid stability, as demonstrated in Section 4.

4.2.1. VSI for Case 1

For the constant load model, when the microgrid is isolated, the secondary control is able to keep the voltage ± 0.025 p.u., as shown in Figure 7a. This validates the adequate control carried out by the secondary control (maximum limit ± 0.05 defined in the algorithm); however, an adequate voltage profile does not guarantee voltage stability. For this reason, a stability index can be used during the operating mode transition. The microgrid transition to islanded mode results in a minor reduction in the voltage stability margin according to Figure 10a due to the secondary control effect. At each microgrid line (from 1 to 18, according to Table A2), the index has been calculated in each iteration (it) that uses the secondary control (from it2 to it17, for this case). For visualization purposes, only the most relevant behaviors are shown. The first iteration (it1) corresponds to connected-mode operation of the microgrid. This allows a follow-up of microgrid stability behavior during the transition that can be used as a monitoring tool.
The simulation results show that line 18 that connects the buses 9 and 19 of Figure 5 has the lower index value at the last iteration (0.483) compared to the 0.505 value in the connected mode. Although this line is one of the furthest from the PCC, the converter control of the distributed generation resource (solar energy), and the ESS located in bus 19, it is enough to ensure a minimal variation that does not affect the stability.
It is noticed how the secondary control through each iteration improves the microgrid stability of 14 of 19 lines as the index values are greater than in connected mode, specifically after the fifth iteration. However, after the thirteenth iteration, one drop occurs in the index values. This represents a weaker system compared to connected mode, but for the operation condition analyzed, the stability of the microgrid is maintained. It is highlighted that line 12 (bus 6–13) presents an index value improvement in the last iteration compared to connected mode due to the contribution of the secondary control of the converter located on bus 13.
According to Figure 10b, when the frequency-dependent load model is considered in case 1, there is a greater effort of secondary control after iteration 4 to achieve the rated voltage and frequency values, which can be reflected in the greater VCPI final values compared to the values of Figure 10a. For instance, line 11 (bus 4–12) presents the highest index value. This is because there is no load in bus 12, unlike other buses interconnected with converters, which means less demand for the controller. As the aim is to assess the influence of frequency-dependent load in the operation of the microgrid, a comparison of the index values of buses before (it1) and after microgrid isolation is considered (it17). It can be observed that incorporating a frequency-dependent load achieves a better stability condition (highest index value) than when the constant load model is considered.

4.2.2. VSI for Case 2

The value index of lines for case 2 (where less demand is presented) is shown in Figure 11a,b. Under this light load condition, there are no significant differences between the stability conditions for both load types.

4.3. Comparison of Voltage Stability Indexes

Table 5 presents the results of other voltage stability indexes such as VSMI [49] and FVSI [23] applied in the test microgrid, intending to compare VCPI_1’s behavior when the frequency-dependent load model is considered. The two additional indexes are calculated when the microgrid is connected to the grid as an isolated mode, specifically for line 18, which is the weakest line (except case 2 for VSMI and FVSI). For the safe operation of the microgrid, the VSMI index must be greater than 0. It is an essential highlight for the formulation, where it is assumed that both the line resistance as well as the line shunt admittance are neglected. The fast voltage stability index (FVSI) depends only on the reactive power load, representing a significant limitation, especially in DGs with a unit power factor. This index must be below 1 for a stable line. The above indexes’ assumptions do not consider the real characteristics of microgrids; therefore, the results obtained with both indexes must be carefully examined. For instance, in Table 5, the variations in FVSI are minimal, and this does not allow the proper definition of the voltage stability condition of the system. This is a consequence of not considering the active power influence.
According to the results shown in Table 5, the most vulnerable line according to VSMI in case 1 corresponds to line 9 (L9) (bus 9 to bus 10) as the value index is 1.00 in connected mode but decreases to 0.494 in isolated mode. This behavior also is demonstrated in Figure 12a. However, line 9 is located between two buses with an inverter interfaced DG that allows recovery of the frequency and voltage levels by secondary control, and this is validated with the results given by VCPI_1. It is important to highlight that if this information is used in an online monitoring system, it can be interpreted as a warning condition that will avoid the transition operation. However, as previously mentioned, due to the assumptions of VSMI, this is not a recommended index to determine the microgrid voltage stability.
A remarkable result is shown in Figure 12b, where we present the VSMI values for case 2 with constant load. In this case, for line 18, the lowest index value corresponds to 0.83 in the fifth iteration; however, in the last iteration (it6), the index value increases to 0.94. This information can be misinterpreted, as described previously, if this index is incorporated into a monitoring system. Compared to the results of Figure 11a, there is a minimal variation in VCPI that does not affect the stability of the microgrid.

5. Conclusions

This paper presented an analysis of voltage stability for an islanded microgrid operation with different load models considering an optimization approach of a secondary control strategy. The analysis shows that, for the hierarchical control strategy considered, the microgrid remains stable in terms of voltage and frequency for a constant load model and a frequency-dependent load model; however, under some cases, the latter load model can improve the microgrid response. Moreover, the variation in all voltage indexes is shown for every iteration of the control strategy. Despite a deterioration in the indexes, the control strategy keeps the network within the limits of stable operation.
Several voltage stability indexes (VSI) have been applied in power systems; however, due to specific microgrid characteristics, it is possible that the same assumptions considered in their formulation do not make them suitable for analyzing microgrid stability. Simulation results have proven that indexes such as VSMI or FVSI, which do not consider line resistance, line shunt admittances, or the dependence of active power, can offer results that do not represent the actual microgrid condition. Therefore, the selection of voltage stability indexes must be analyzed carefully as their formulation can lead to incorrect or hasty conclusions on the stability of the microgrid.

Author Contributions

Conceptualization, M.A.R., S.P.-L. and A.G.; Formal analysis, M.A.R., S.P.-L. and A.G.; Investigation, M.A.R.; Methodology, M.A.R., S.P.-L. and A.G.; Validation, S.P.-L. and A.G.; Visualization, M.A.R.; Writing—original draft, M.A.R. and S.P.-L.; Writing—review and editing, M.A.R., S.P.-L. and A.G. All authors have read and agreed to the published version of the manuscript.

Funding

This research is funded by the Colombian Science Ministry (Minciencias), project 111077657914, contract number 031-2018 and INTEGRA2023, code 111085271060, contract 80740-774-2020. This product was obtained by the ICE3 research group at the Universidad Tecnológica de Pereira.

Institutional Review Board Statement

Not applicable.

Informed Consent Statement

Not applicable.

Data Availability Statement

Not applicable.

Conflicts of Interest

The authors declare no conflict of interest.

Appendix A

Line characteristics of the test system based on the CIGRÉ microgrid are presented in Table A1, where C is given in μ F / km , while the line number and their longitude are shown in Table A2. Moreover, the main characteristics of the converters are shown in Table A3. The converter’s capacity is given in W.
Table A1. Line types.
Table A1. Line types.
TypeRphXphRoXoCDescription
10.2840.0831.1360.4170.38OL— 4 × 120 mm 2 Al
23.6900.09413.640.4720.05SC— 4 × 6 mm 2 Cu
31.3800.0825.5200.4180.18SC— 4 × 16 mm 2 Cu
40.8710.0813.4800.4090.22SC— 4 × 25 mm 2 Cu
Table A2. Node connection for the CIGRE low-voltage test system.
Table A2. Node connection for the CIGRE low-voltage test system.
LineFromToDistance (m)Line Type
112351
223351
334351
445351
556351
667351
778351
889351
9910351
10311302
11412303
12613304
131014303
14415351
151516351
161617351
171718301
18919302
Table A3. Converter data.
Table A3. Converter data.
NodeCapacity ξ ζ TauTypeFormScale
1240,0000.050.04 0.32 × 10 3 wind1.510
1335,0000.080.09 0.38 × 10 3 solar200700
1420,0000.100.09 0.41 × 10 3 solar200700
1840,0000.090.10 0.31 × 10 3 solar200700
1920,0000.080.08 0.34 × 10 3 solar200700

References

  1. Gouveia, J.; Moreira, C.L.; Peças Lopes, J. Influence of Load Dynamics on Converter-Dominated Isolated Power Systems. Appl. Sci. 2021, 11, 2341. [Google Scholar] [CrossRef]
  2. Shair, J.; Li, H.; Hu, J.; Xie, X. Power system stability issues, classifications and research prospects in the context of high-penetration of renewables and power electronics. Renew. Sustain. Energy Rev. 2021, 145, 111111. [Google Scholar] [CrossRef]
  3. Chandra, A.; Singh, G.K.; Pant, V. Protection of AC microgrid integrated with renewable energy sources—A research review and future trends. Electr. Power Syst. Res. 2021, 193, 107036. [Google Scholar] [CrossRef]
  4. Karavas, C.S.; Arvanitis, K.; Papadakis, G. A game theory approach to multi-agent decentralized energy management of autonomous polygeneration microgrids. Energies 2017, 10, 1756. [Google Scholar] [CrossRef]
  5. Etemadi, A.H.; Davison, E.J.; Iravani, R. A decentralized robust control strategy for multi-DER microgrids—Part I: Fundamental concepts. IEEE Trans. Power Deliv. 2012, 27, 1843–1853. [Google Scholar] [CrossRef]
  6. Boglou, V.; Karavas, C.S.; Karlis, A.; Arvanitis, K. An intelligent decentralized energy management strategy for the optimal electric vehicles’ charging in low-voltage islanded microgrids. Int. J. Energy Res. 2022, 46, 2988–3016. [Google Scholar] [CrossRef]
  7. Kundur, P.S.; Balu, N.J.; Lauby, M.G. Power system dynamics and stability. In Power System Stability and Control, 3rd ed.; CRC Press: Boca Raton, FL, USA, 2017. [Google Scholar]
  8. Nandanoori, S.P.; Kundu, S.; Du, W.; Tuffner, F.K.; Schneider, K.P. Distributed small-signal stability conditions for inverter-based unbalanced microgrids. IEEE Trans. Power Syst. 2020, 35, 3981–3990. [Google Scholar] [CrossRef]
  9. Hu, W.; Wu, Z.; Dinavahi, V. Dynamic Analysis and Model Order Reduction of Virtual Synchronous Machine Based Microgrid. IEEE Access 2020, 8, 106585–106600. [Google Scholar] [CrossRef]
  10. Pournazarian, B.; Seyedalipour, S.S.; Lehtonen, M.; Taheri, S.; Pouresmaeil, E. Virtual Impedances Optimization to Enhance Microgrid Small-Signal Stability and Reactive Power Sharing. IEEE Access 2020, 8, 139691–139705. [Google Scholar] [CrossRef]
  11. He, J.; Wu, X.; Wu, X.; Xu, Y.; Guerrero, J.M. Small-signal stability analysis and optimal parameters design of microgrid clusters. IEEE Access 2019, 7, 36896–36909. [Google Scholar] [CrossRef]
  12. Garces, A. Small-signal stability in island residential microgrids considering droop controls and multiple scenarios of generation. Electr. Power Syst. Res. 2020, 185, 106371. [Google Scholar] [CrossRef]
  13. Penaloza, J.D.R.; Adu, J.A.; Borghetti, A.; Napolitano, F.; Tossani, F.; Nucci, C.A. Influence of load dynamic response on the stability of microgrids during islanding transition. Electr. Power Syst. Res. 2021, 190, 106607. [Google Scholar] [CrossRef]
  14. Naderi, M.; Khayat, Y.; Shafiee, Q.; Dragivcevic, T.; Bevrani, H.; Blaabjerg, F. Interconnected autonomous ac microgrids via back-to-back converters—Part II: Stability analysis. IEEE Trans. Power Electron. 2020, 35, 11801–11812. [Google Scholar] [CrossRef]
  15. Zhang, Y.; Xie, L. A transient stability assessment framework in power electronic-interfaced distribution systems. IEEE Trans. Power Syst. 2016, 31, 5106–5114. [Google Scholar] [CrossRef]
  16. Cheng, H.; Shuai, Z.; Shen, C.; Liu, X.; Li, Z.; Shen, Z.J. Transient angle stability of paralleled synchronous and virtual synchronous generators in islanded microgrids. IEEE Trans. Power Electron. 2020, 35, 8751–8765. [Google Scholar] [CrossRef]
  17. Shi, B.; Liu, J. Decentralized control and fair load-shedding compensations to prevent cascading failures in a smart grid. Int. J. Electr. Power Energy Syst. 2015, 67, 582–590. [Google Scholar] [CrossRef]
  18. Aziz, T.; Masood, N.A.; Deeba, S.R.; Tushar, W.; Yuen, C. A methodology to prevent cascading contingencies using BESS in a renewable integrated microgrid. Int. J. Electr. Power Energy Syst. 2019, 110, 737–746. [Google Scholar] [CrossRef]
  19. Eajal, A.A.; Yazdavar, A.H.; El-Saadany, E.F.; Ponnambalam, K. On the Loadability and Voltage Stability of Islanded AC–DC Hybrid Microgrids During Contingencies. IEEE Syst. J. 2019, 13, 4248–4259. [Google Scholar] [CrossRef]
  20. Simpson-Porco, J.W.; Shafiee, Q.; Dorfler, F.; Vasquez, J.C.; Guerrero, J.M.; Bullo, F. Secondary frequency and voltage control of islanded microgrids via distributed averaging. IEEE Trans. Ind. Electron. 2015, 62, 7025–7038. [Google Scholar] [CrossRef]
  21. Neto, J.A.; De Souza, A.Z.; De Lorenci, E.V.; Mendes, T.P.; Dos Santos, P.M.; Nascimento, B.D.N. Static Voltage Stability Analysis of an Islanded Microgrid Using Energy Function. IEEE Access 2020, 8, 201005–201014. [Google Scholar] [CrossRef]
  22. England, B.S.; Alouani, A.T. Real time voltage stability prediction of smart grid areas using smart meters data and improved Thevenin estimates. Int. J. Electr. Power Energy Syst. 2020, 122, 106189. [Google Scholar] [CrossRef]
  23. Kazeminejad, M.; Banejad, M.; Annakkage, U.; Hosseinzadeh, N. The effect of high penetration level of distributed generation sources on voltage stability analysis in unbalanced distribution systems considering load model. J. Oper. Autom. Power Eng. 2019, 7, 196–205. [Google Scholar]
  24. Parol, M.; Rokicki, L. Voltage stability in low voltage microgrids in aspects of active and reactive power demand. Arch. Electr. Eng. 2016, 65, 19–32. [Google Scholar] [CrossRef][Green Version]
  25. Song, Y.; Hill, D.J.; Liu, T. Static voltage stability analysis of distribution systems based on network-load admittance ratio. IEEE Trans. Power Syst. 2018, 34, 2270–2280. [Google Scholar] [CrossRef]
  26. Micky, R.R.; Lakshmi, R.; Sunitha, R.; Ashok, S. Assessment of voltage stability in microgrid. In Proceedings of the 2016 International Conference on Electrical, Electronics, and Optimization Techniques (ICEEOT), Chennai, India, 3–5 March 2016; pp. 1268–1273. [Google Scholar]
  27. Murthy, G.; Sivanagaraju, S.; Satyanarayana, S.; Rao, B.H. Voltage stability analysis of radial distribution networks with distributed generation. Int. J. Electr. Eng. Inform. 2014, 6, 195. [Google Scholar] [CrossRef]
  28. Beigvand, S.D.; Abdi, H.; Singh, S.N. Voltage stability analysis in radial smart distribution grids. IET Gener. Transm. Distrib. 2017, 11, 3722–3730. [Google Scholar] [CrossRef]
  29. Rios, M.A.; Garces, A. An optimization model based on the frequency dependent power flow for the secondary control in islanded microgrids. Comput. Electr. Eng. 2021, 97, 107617. [Google Scholar] [CrossRef]
  30. Chuvychin, V.; Sauhatas, A.; Gurov, N.; Strelkovs, V. Frequency Control Features for Increasing DER Penetration in Power System. In Proceedings of the 2007 IEEE Lausanne Power Tech, Lausanne, Switzerland, 1–5 July 2007; pp. 1726–1729. [Google Scholar] [CrossRef]
  31. Sahoo, S.K.; Sinha, A.K.; Kishore, N.K. Control Techniques in AC, DC, and Hybrid AC–DC Microgrid: A Review. IEEE J. Emerg. Sel. Top. Power Electron. 2018, 6, 738–759. [Google Scholar] [CrossRef]
  32. Pavon, W.; Inga, E.; Simani, S.; Nonato, M. A Review on Optimal Control for the Smart Grid Electrical Substation Enhancing Transition Stability. Energies 2021, 14, 8451. [Google Scholar] [CrossRef]
  33. Xin, H.; Lu, Z.; Liu, Y.; Gan, D. A Center-Free Control Strategy for the Coordination of Multiple Photovoltaic Generators. IEEE Trans. Smart Grid 2014, 5, 1262–1269. [Google Scholar] [CrossRef]
  34. Xin, H.; Qu, Z.; Seuss, J.; Maknouninejad, A. A Self-Organizing Strategy for Power Flow Control of Photovoltaic Generators in a Distribution Network. IEEE Trans. Power Syst. 2011, 26, 1462–1473. [Google Scholar] [CrossRef]
  35. Lee, J.O.; Kim, Y.S. Frequency and State-of-Charge Restoration Method in a Secondary Control of an Islanded Microgrid without Communication. Appl. Sci. 2020, 10, 1558. [Google Scholar] [CrossRef]
  36. Delfino, F.; Ferro, G.; Robba, M.; Rossi, M. An architecture for the optimal control of tertiary and secondary levels in small-size islanded microgrids. Int. J. Electr. Power Energy Syst. 2018, 103, 75–88. [Google Scholar] [CrossRef]
  37. Thomas, Y.A. Linear quadratic optimal estimation and control with receding horizon. Electron. Lett. 1975, 11, 19–21. [Google Scholar] [CrossRef]
  38. Farrokhabadi, M.; Canizares, C.A.; Simpson-Porco, J.W.; Nasr, E.; Fan, L.; Mendoza-Araya, P.A.; Tonkoski, R.; Tamrakar, U.; Hatziargyriou, N.; Lagos, D.; et al. Microgrid stability definitions, analysis, and examples. IEEE Trans. Power Syst. 2019, 35, 13–29. [Google Scholar] [CrossRef]
  39. Overbye, T.J. Effects of load modelling on analysis of power system voltage stability. Int. J. Electr. Power Energy Syst. 1994, 16, 329–338. [Google Scholar] [CrossRef]
  40. Moghavvemi, M.; Faruque, O. Real-time contingency evaluation and ranking technique. IEE Proc. Gener. Transm. Distrib. 1998, 145, 517–524. [Google Scholar] [CrossRef]
  41. Kessel, P.; Glavitsch, H. Estimating the voltage stability of a power system. IEEE Trans. Power Deliv. 1986, 1, 346–354. [Google Scholar] [CrossRef]
  42. Kanimozhi, R.; Selvi, K. A novel line stability index for voltage stability analysis and contingency ranking in power system using fuzzy based load flow. J. Electr. Eng. Technol. 2013, 8, 694–703. [Google Scholar] [CrossRef]
  43. Subramani, C.; Dash, S.; Bhaskar, M.A.; Jagadeeshkumar, M.; Sureshkumar, K.; Parthipan, R. Line outage contingency screening and ranking for voltage stability assessment. In Proceedings of the 2009 International Conference on Power Systems, Kharagpur, India, 27–29 December 2009; pp. 1–5. [Google Scholar]
  44. Nizam, M.; Mohamed, A.; Hussain, A. Dynamic voltage collapse prediction in power systems using power transfer stability index. In Proceedings of the 2006 IEEE International Power and Energy Conference, Dallas, TX, USA, 19–23 March 2006; pp. 246–250. [Google Scholar]
  45. Hosseinzadeh, N.; Aziz, A.; Mahmud, A.; Gargoom, A.; Rabbani, M. Voltage stability of power systems with renewable-energy inverter-based generators: A review. Electronics 2021, 10, 115. [Google Scholar] [CrossRef]
  46. Rudion, K.; Styczynski, Z.; Hatziargyriou, N.; Papathanassiou, S.; Strunz, K.; Ruhle, O.; Orths, A.; Rozel, B. Development of Benchmarks for Low and Medium Voltage Distribution Networks with High Penetration of Dispersed Generation; CIGRE Report; CIGRE: Paris, France, 2006. [Google Scholar]
  47. Wang, L.; Liu, Y.; Luan, Z. Power transmission paths based voltage stability assessment. In Proceedings of the 2005 IEEE/PES Transmission and Distribution Conference and Exposition: Asia and Pacific, Dalian, China, 18 August 2005; pp. 1–5. [Google Scholar]
  48. Moghavvemi, M.; Omar, F. Technique for contingency monitoring and voltage collapse prediction. IEE Proc. Gener. Transm. Distrib. 1998, 145, 634–640. [Google Scholar] [CrossRef]
  49. He, T.; Kolluri, S.; Mandal, S.; Galvan, F.; Rasigoufard, P. Identification of weak locations in bulk transmission systems using voltage stability margin index. In Proceedings of the IEEE Power Engineering Society General Meeting, Denver, CO, USA, 6–10 June 2004; pp. 1814–1819. [Google Scholar]
Figure 1. Block diagram for the primary droop control.
Figure 1. Block diagram for the primary droop control.
Energies 15 03976 g001
Figure 2. Primary and secondary control effect on islanded microgrids after a disturbance.
Figure 2. Primary and secondary control effect on islanded microgrids after a disturbance.
Energies 15 03976 g002
Figure 3. Receding horizon strategy for a centralized hierarchical control structure in islanded microgrids.
Figure 3. Receding horizon strategy for a centralized hierarchical control structure in islanded microgrids.
Energies 15 03976 g003
Figure 4. Hierarchical control diagram.
Figure 4. Hierarchical control diagram.
Energies 15 03976 g004
Figure 5. CIGRE 19 node test system.
Figure 5. CIGRE 19 node test system.
Energies 15 03976 g005
Figure 6. Frequency dynamics at each converter for load case 1. (a) Constant load model. (b) Frequency-dependent load model.
Figure 6. Frequency dynamics at each converter for load case 1. (a) Constant load model. (b) Frequency-dependent load model.
Energies 15 03976 g006
Figure 7. Voltage dynamics at each converter for load case 1. (a) Constant load model. (b) Frequency-dependent load model.
Figure 7. Voltage dynamics at each converter for load case 1. (a) Constant load model. (b) Frequency-dependent load model.
Energies 15 03976 g007
Figure 8. Frequency dynamics at each converter for load case 2. (a) Constant load model. (b) Frequency-dependent load model.
Figure 8. Frequency dynamics at each converter for load case 2. (a) Constant load model. (b) Frequency-dependent load model.
Energies 15 03976 g008
Figure 9. Voltage dynamics at each converter for load case 2. (a) Constant load model. (b) Frequency-dependent load model.
Figure 9. Voltage dynamics at each converter for load case 2. (a) Constant load model. (b) Frequency-dependent load model.
Energies 15 03976 g009
Figure 10. VCPI_1 Index for load case 1. (a) Constant load model. (b) Frequency-dependent load model.
Figure 10. VCPI_1 Index for load case 1. (a) Constant load model. (b) Frequency-dependent load model.
Energies 15 03976 g010
Figure 11. VCPI_1 Index for load case 2. (a) Constant load model. (b) Frequency-dependent load model.
Figure 11. VCPI_1 Index for load case 2. (a) Constant load model. (b) Frequency-dependent load model.
Energies 15 03976 g011
Figure 12. VSMI Index. (a) Frequency-dependent load model case 1. (b) Constant load model case 2.
Figure 12. VSMI Index. (a) Frequency-dependent load model case 1. (b) Constant load model case 2.
Energies 15 03976 g012
Table 1. Comparison of voltage stability analysis on ADN.
Table 1. Comparison of voltage stability analysis on ADN.
Ref.Voltage Stability AnalysisLoad ModelOperating Mode
PQ CurveStability IndexEigenvalue AnalysisEnergy Function
[22] SI ConstantConnected
[23] FVSI, MVSI ZIP and constantConnected
[19] PQ typeIslanded
[20] PQ typeIslanded
[21] PQ typeIslanded
[24] k Q U , k P U Load profileHybrid
[25] M n / d Constant powerConnected
[26] PTSI, VCPI, VSI Constant powerConnected
[27] SI ZIPConnected
[28] A-VSI, E-VSI ZIP, compositeHybrid
Proposal VCPI_1 Frequency-dependentHybrid
Table 2. VSI applied in microgrids.
Table 2. VSI applied in microgrids.
VSIReferenceAssumption
P T S I [26]Shunt admittance is not considered
S I [27]Shunt admittance is not considered
A V S I [28]Only voltage measurements are required
F V S I [23]Depends only on reactive power load
M V S I [23]P and Q of DG are considered
Table 3. Load characteristics.
Table 3. Load characteristics.
Air ConditionerLightingRefrigerationResistiveLarge MotorSmall MotorPump
1. Residential50%20%10%20%000
Load types2. Industry020%010%60%10%0
3. Agricultural000000100%
ν p u 0.20.960.7720.070.071.4
ν q u 2.37.382.500.50.51.4
ELM parameters κ p f 0.910.5302.52.55
κ q f −2.67−26.6−1.4601.21.24
PF0.750.90.8410.890.830.85
Table 4. Apparent power in VA for each case.
Table 4. Apparent power in VA for each case.
NodeCase 1Case 2Load Type
11700001
1340,00001
1418,00018,0001
1812,00012,0002
19100010003
Table 5. Comparison of VSIs with frequency-dependent load.
Table 5. Comparison of VSIs with frequency-dependent load.
Operation ModeVCPI_1 [47]VSMI [49]FVSI [23]
Case 1Case 2Case 1Case 2Case 1Case 2
L18L18L9L18L18L10
Connected0.5050.5051.0010.987−0.030.055
Low value0.4840.4760.4460.8390.030.054
Isolated0.4840.4760.4940.8760.030.054
Publisher’s Note: MDPI stays neutral with regard to jurisdictional claims in published maps and institutional affiliations.

Share and Cite

MDPI and ACS Style

Rios, M.A.; Pérez-Londoño, S.; Garcés, A. Dynamic Performance Evaluation of the Secondary Control in Islanded Microgrids Considering Frequency-Dependent Load Models. Energies 2022, 15, 3976. https://doi.org/10.3390/en15113976

AMA Style

Rios MA, Pérez-Londoño S, Garcés A. Dynamic Performance Evaluation of the Secondary Control in Islanded Microgrids Considering Frequency-Dependent Load Models. Energies. 2022; 15(11):3976. https://doi.org/10.3390/en15113976

Chicago/Turabian Style

Rios, Miguel Angel, Sandra Pérez-Londoño, and Alejandro Garcés. 2022. "Dynamic Performance Evaluation of the Secondary Control in Islanded Microgrids Considering Frequency-Dependent Load Models" Energies 15, no. 11: 3976. https://doi.org/10.3390/en15113976

APA Style

Rios, M. A., Pérez-Londoño, S., & Garcés, A. (2022). Dynamic Performance Evaluation of the Secondary Control in Islanded Microgrids Considering Frequency-Dependent Load Models. Energies, 15(11), 3976. https://doi.org/10.3390/en15113976

Note that from the first issue of 2016, this journal uses article numbers instead of page numbers. See further details here.

Article Metrics

Back to TopTop