Next Article in Journal
Contributions to Power Management in AC Microgrids Based on Concepts of Microeconomics Theory
Previous Article in Journal
Coupling Analysis of Electromagnetic Vibration and Noise of FeCo-Based Permanent-Magnet Synchronous Motor
Previous Article in Special Issue
Take the Right Seat: The Influence of Occupancy Schemes on Performance Indicators of Lighting in Open Plan Offices
error_outline You can access the new MDPI.com website here. Explore and share your feedback with us.
 
 
Font Type:
Arial Georgia Verdana
Font Size:
Aa Aa Aa
Line Spacing:
Column Width:
Background:
Article

Integration of Heat Pumps in Buildings and District Heating Systems—Evaluation on a Building and Energy System Level

Unit for Energy Efficient Buildings, University of Innsbruck, 6020 Innsbruck, Austria
*
Author to whom correspondence should be addressed.
Energies 2022, 15(11), 3889; https://doi.org/10.3390/en15113889
Submission received: 5 May 2022 / Revised: 19 May 2022 / Accepted: 23 May 2022 / Published: 25 May 2022
(This article belongs to the Special Issue Energy Performance of Buildings 2021)

Abstract

:
The use of heat pumps in buildings is one of the best and often the only option for the decarbonization of the building stock. District heating seems a promising solution in urban areas and in existing buildings when the use of heat pumps is restricted and also technically and economically challenging (source exploitation, space restrictions, sound emissions, etc.). Heat pumps can be integrated in various ways in buildings and district heating systems: large central high-temperature heat pumps in district heating, medium-size heat pumps block- or building-wise or small heat pumps decentral apartment-wise. The best option depends on the individual district heating CO2 emissions and the electricity mix as well as on the perspective of the building owner versus that one of the district heating system and its future development. Austrian examples of district heating systems and different variants of integrating heat pumps are investigated in a comprehensive way by means of an energetic and environmental simulation-based analysis. This assessment includes a detailed investigation of the capabilities of the booster heat pump to increase the PV own-consumption and is also expanded to include various scenarios for the development of the electricity mix and the decarbonisation of district heating.

1. Introduction

The buildings sector is responsible for around 37% of global CO2 emissions, of which 10% are caused by the building construction industry [1]. The current pandemic has led to a reduction in CO2 emissions, but this is expected to be only temporary. The world’s population continues to grow and with the number of people inevitably an increase in CO2 emissions is expected. To achieve the 2050 neutrality targets, it will be necessary to drastically reduce current emissions and offset the rising trend in CO2 emissions due to population growth. This can be done, as the global report describes [1], 70% by increasing electrification and efficiency, and the remaining part by using district heating (DH) and other renewable sources and behaving responsibly. According to [1], it is expected that by 2050 over 85% of the buildings will be zero-carbon-ready leading to a reduction of 75% of the heating intensity of which around 50% will be covered by Heat Pumps (HP) and 10% by DH.
There exist several scenarios for the development of DH in Europe. Exemplarily, two different studies, one for Austria and one for Germany, are presented to show the wide range of expected contributions of DH in a future energy system. According to [2] in Austria, the assumption is that the buildings will be deeply renovated, and, in contrast to a further extension of the DH system, the share and size in terms of energy remain rather constant, while, for Germany, the prediction according to [3] is that the role of DH will significantly increase with a share of 40% (see Figure 1). The share of large-scale HP in the DH in 2050 is assumed to be almost 50%. It is noteworthy that, according to [4], the current German DH is predominantly fossil-based and the 2030 scenario seems very ambitious in that respect.
On a parallel track to the expansion, optimization and decarbonisation of DH networks is the race to increase the share of renewables in the electricity mix. This will make, the use of HP significantly more competitive than existing DH, at least in terms of CO2 emissions [5].

1.1. District Heating

District Heating networks distribute thermal energy and are therefore really well suited for covering the heating and domestic hot water demand of the buildings, which represent about 50% of the energy demand of the building sector. DHs are continuously evolving [6]: the first DH generation was based on steam distribution, the second generation on pressurized hot water over 100 °C, and the third generation on pressurized hot water below 100 °C, proceeding towards low-temperature DH with the fourth and fifth generations. Reducing the operative temperature of the DH allows for reaching higher efficiencies (i.e., reducing the distribution losses) and fosters the integration of renewable heat sources and distributed low-temperature waste. DH enables to effectively exploit also geothermal energy, solar energy, heat from biomass combustion, industrial waste heat, Combined Heat and Power (CHP), industrial waste heat, waste incineration and other heat sources; see [7,8,9]. Due to the limited availability of biomass, and as medium and high-temperature industrial processes will depend on biomass, the use of biomass in DH systems will be limited. It is noteworthy to mention that the use of biomass in DH is also limited due to the following aspects [6]: biomass boilers are not flexible; therefore, they can only be used to cover the base load unless a gasification process is applied, and it is the only competitor against fossil fuel for the production of biofuel in the transportation field.
According to IEA [10], the average renewables share in the DH networks all over the world should increase from 8% in 2020 to 14% in 2025 until 22% in 2030. The actual share of renewables is highly dependent on each country and local sources’ availability (see [11]).
DH systems are typically very individual and depend on the local conditions. The largest DH system in Austria is Vienna with a high share of waste incineration [12]. The DH in Graz is dominated by CHP [13], while the DH in Innsbruck is comparatively small and complex with several small distributed heat sources [13] (see Table 1).
The simplified monthly energy balance of the DHs of Innsbruck and Vienna is presented in Figure 2. Both show significant seasonal variation with a high share of fossil energy contributions in winter.

1.2. Buildings

By 2021, all new buildings in the European Union (EU) must be nearly zero-energy buildings (nZEBs) in order to contribute to the achievement of the European CO2 neutrality by 2050. Nevertheless, the European renovation rate is around 1.1%, far below the expected rate of 3% necessary to achieve the climate neutrality goals by 2050 [14].
The energy demand, heating load and flow temperature requirement of the building stock are crucial factors in the operation of the DH networks. Ref. [15] reviews measures for achieving a decrease of the required heating system temperatures during building renovations to allow a reduction of the DH operative temperatures. The demand of the building stock in terms of total energy and distribution over time play also an important role in the DH operation. In fact, the DH can be operated if the energy demand lies above the profitability threshold [16].

1.3. Heat Pumps

The rising trend in the installation of HP outlined in [1] is supported by the data reported in [17] for the Austrian market. The report [17] indicates a strong growth in the number of sold heating and domestic hot water HP with a nominal power up to 20 kW (i.e., for domestic use). In addition, Ref. [17] describes a possible scenario for 2050 where the HP technologies will be strongly integrated with the urban DH networks.
It is noteworthy to mention that HP can play a major role in the transition toward low-temperature DH since they influence the energy demand and temperature required by the buildings [15]. Booster HPs can, in fact, help in overcoming this problem [18], allowing for operating the DH network with lower temperature, thus with reduced distribution losses and increased performance.
Manifold combinations of HP in the DH network are possible (see also Section 2.3):
  • DH + Central HP (air, ground, water, waste-heat);
  • DH + Building/Block-wise HP for SH;
  • DH + Building/Block-wise HP for DHW;
  • DH + decentral/flat-wise Air—HP for DHW (PV-own-consumption);
  • DH + decentral/flat-wise RF—HP for DHW (PV-own-consumption);
  • DH + decentral/flat-wise Booster HP for DHW (low-ex);
  • Building/Block-wise HP for SH and DHW (no DH);
  • Decentral/flat-wise Air—HP for SH and DHW (no DH).
Typical DH systems are operated with a flow-temperature of up to typically 160 °C in winter and 90 °C in summer with a return temperature of 60 °C [19]. HPs can be integrated as large-scale absorption or compression HPs centrally in the DH system. The source is low-grade environmental energy (air or ground) or low-temperature waste heat. The supply temperature of at least 90 °C has to be delivered if (fossil-based) post-heaters are not available.
Decentral HPs can be integrated block-wise with a low-temperature distribution system (e.g., 80/30) or building-wise [20]. In low-energy buildings, typically 60 °C flow temperature is required for DHW, while space heating can be provided even at lower temperatures (e.g., 35 °C with underfloor heating). Decentral flat-wise HPs can deliver DHW at 50 °C to 55 °C.

1.4. Concept of the Decentral Booster Heat Pump

There exist different variants of these so-called decentral booster HPs. A common concept is shown schematically in Figure 3. The apartments are heated centrally, i.e., here by means of DH. The heat emission system in the apartments is a low-temperature heating system (i.e., underfloor heating). The central heat supply from a buffer store is controlled via the return temperature. There is a decentral booster HP in each of the apartments for preparing domestic hot water. It consists of a small (1.5 kWthermal) water-to-water HP and a small domestic hot water tank of typically 120 l or 150 l. The HP source (evaporator) is connected in parallel to the branches of the underfloor heating. Typically, there is an additional (1.2 kW) heating rod in case backup heating is required. In summer, the underfloor heating loops are used to extract heat from the conditioned space (i.e., to provide space cooling) and the central source is only activated if the underfloor heating temperature falls below a threshold or if comfort conditions in the conditioned space cannot be met anymore. Thus, in summer, only a negligible amount of heat is extracted from the DH instead.
Another concept is represented by the so-called return flow (RF) HP, where the evaporator of the HP is in a series with the floor heating loops, see [21], which is not further considered here.

1.5. Sector Coupling—Combined Heat and Power, District Heating and Electricity Mix

Each combination of HP in the DH network (see Section 1.3) has a different impact on the DH energy load and temperature. Therefore, HP will have an impact on the grid network, DH network and building energy demand creating a strong mutual interaction between these different elements. In his work, Volodona et al. [22] highlight that the installation of HP in the DH network presents technical challenges related to a lack of experience with this technology and introduce an important element of risk, namely the connection of HP to the electricity network. This implies that the DH-HP-Building system will be dependent on electricity prices.
Integrating HPs in buildings will decrease the energy demand (and load) of the DH system. In addition, with the increasing thermal renovation of the building stock, a future decrease of the energy demand is anticipated [2]. To compensate for that, and in order to maintain an economic operation, a DH system would need to be expanded.
A higher total efficiency base load is typically covered by combined heat and power plants (CHP). The CHP coefficient σ is typically in a range between 0.6 and 1. In future, it is expected that, increasingly, biomass CHP plants will contribute to heat generation in DH systems [23]. For the evaluation of CHP, several methods are applied (allocation methods [24]) and the thermodynamic-based Carnot method [24] seems to be the most recommended one recently (see also Section 2.4.3 below).

1.6. Renewables Integration and Mismatch between Source Availability and Demand

HP enables also an increased own-consumption of PV yield [25], even though it is seen that the benefit of PV is much more important when PV-sharing in renewable energy communities is considered.
The application of renewable sources in buildings will surely increase in the next future, transforming the building from consumer to prosumer [26]. In addition to buildings, the share of renewables in the electricity grid and DH will also have to increase in order to reach the climate neutrality targets. According to [27], and depending on the assumed scenario, the share of fossils (coal, oil, gas) in DH will decrease from approximately 50% to 20% in 2030 and further to 30% in 2050 with main contributions from wind, biomass and PV but also nuclear power and imported hydrogen and biofuels. Nevertheless, renewable production is not always matching the load on a daily and seasonal basis. For this reason, electric and thermal storage have to be integrated on both building and network levels.

1.7. Monthly CO2 Evaluation

As depicted in Section 1.5 in the near future, a strong mutual interaction between the electricity system, DH and load (i.e., buildings or prosumers) can be expected.
A reduction of the energy demand could also influence the DH heat production fuel mix as, e.g., biomass boiler can be operated only if a minimum baseload is needed [16]. In addition, as is well known, the renewable availability is strongly varying throughout seasons and day/night, influencing the electricity production and price; therefore, the DH in the future has to be equipped with a generation system able to respond to the high variability of the electricity prices and storage capacity able to decouple heat generation and demand [28].
In such a scenario, it is clear that fossil fuels will predominantly cover the winter load and that this has to be considered in the evaluation of the CO2 emissions [29]. This statement is equally true for the electricity grid and DH, yet annual CO2 conversion factors are still commonly applied. This contributes to a misleading prediction of the CO2 emission and does not allow a differentiation between energy efficiency measures that contribute to a reduction of fossil fuel consumption (i.e., reduction of the energy demand in winter) and energy efficiency measures that only contribute to increasing the overproduction of renewable energy in summer. In this work, the CO2 conversion factors suggested by OIB-6:2019 [30] (see Table 2) are used as a basis for the calculation of the monthly CO2 conversion factors.
It is remarkable that the electricity mix in Austria is characterized by a high share of hydropower, which leads to comparatively low CO2 conversion factors compared to Germany (see Figure 4).
The DH networks are very dependent on the local resources (see Section 1.1), and this affects the CO2 conversion factors (see Figure 5 for two examples, i.e., Innsbruck and Vienna). CO2 conversion factors are derived based on the monthly balance in Figure 2.
Within this work, different scenarios including different shares of renewable and fossil for both DH and electricity networks are analysed, aiming at deriving more general conclusions regarding the integration of HP in DH networks, which significantly depend on the local conditions. In both the electricity and the DH systems, the share of renewables is likely to grow; however, with different speeds and different contributions (e.g., biomass CHP in electricity and DH, HP in DH and PV and wind in electricity). This can be depicted with different combinations of CO2 conversion factors.

1.8. Novelty of This Work

The review reveals that HPs will play a major role in the heating of buildings as well as in a future decarbonized DH system, and that they will contribute in combination with PV systems to decarbonize the building sector. However, a comprehensive investigation is missing on how to optimally integrate HPs in particular in densely populated areas with DH systems. Both central integration (on DH level) and decentral integration on building or on a flat level are possible and discussed. Integration of HPs on a building level will influence both the DH demand and the electricity demand. The DH system is typically very individual and specific to a location, while, for the electricity system, a local consideration makes no sense because of the European wide transmission of electricity.
Based on the energetic and environmental evaluation of two examples of DH systems in Austria (Innsbruck and Vienna), various variants of integrating HPs in DH are evaluated. Different scenarios for the European electricity grid and generic DH systems are developed and monthly CO2-conversion factors are applied for the environmental evaluation. Of particular interest is the integration of decentralized so-called booster HPs, which can be integrated into buildings on a flat level and allow in combination with photovoltaics (PV) for increasing the PV own-consumption.
A generic DH system has been developed based on the analysis of the Austrian DH systems that is used for the evaluation of the efficiency and the environmental impact of the energy supply of a typical multi-story residential building in a heating dominated climate like Austrian with DH and HPs. The novelty of this work lies on the comprehensive comparison on both an energy system and building level considering the mutual dependencies of the future development of DH systems and the European electricity system.
To the best of our knowledge, it is the first time that it is investigated how the integration of decentral HPs will influence the feasibility to operate a DH system. Thus, both the perspectives of the building and the DH are considered.

1.9. Organization of the Paper

First, in the Method sections, the reference building (a typical Austrian MFH) used for the analysis of the DH system in this work is briefly described (Section 2.1). This reference building is applied, in Section 2.2, as a basis for the calculation of the heat load curve of all the buildings, connected to a generic DH network in a heating-dominated climate. From this analysis, the heat load curve of the average building included in this generic DH network is defined, and it is used for the calculation of the thermal and electric balance considering different HP solutions (see Section 2.3).
A special focus is reserved for the flat-wise booster HPs to analyse their capabilities to increase the PV own-consumption. Based on the concept of the booster HP (see Section 1.4), a dynamic model of the booster HP is described in Section 2.3.1, and the description of the PV system is reported in Section 2.3.2.
Based on the dynamic simulation results, the thermal and electric balance considering different HP solutions in buildings and the district heating is determined (Section 2.3.3). The DH level (Section 2.3.4) and the energy system level (Section 2.3.5) are evaluated depending on the number of buildings with HP on an annual energy balance basis.
The calculation of the CO2 emission for each solution is done considering different scenarios (DH mixes) and is explained in Section 2.4 and additionally considers two variants of DH, with and without CHP. The allocation method of CO2 emissions of CHP plants is given in Section 2.4.3.
The Results section is divided into four main parts: in Section 3.1, the results of the dynamic simulation of the booster HP are reported, showing the possibilities and limits to increase the own-consumption under different boundary conditions (flat-level). In Section 3.1, the results of the different possibilities for HP integration from a building perspective are discussed followed by the effects of HP integration in the DH network in Section 3.3 (DH perspective). Finally, the energy system perspective is given in Section 3.4.

2. Methods

2.1. Reference Building

Figure 6 shows a sketch of the reference building and summarizes its characteristics. This building is a real case study, built-in Passive House quality in Innsbruck [5], and it is used as a basis to model the energy demand of a generic building connected to a generic DH system.
The quality of the envelope (U-value) and ventilation system (i.e., either exhaust air or MVHR) are varied. Based on Passive House Planning Package (PHPP ([33]) calculations, heating demands and heat load curves representing the building with different ages and qualities (see Figure 6 and Table 3) are derived. The resulting heat load curves are reported in Section 2.2 in Figure 7a.
In all the variations of the building (envelope) quality, standard profiles are used for hot water consumption based on [34] resulting in DHW demand of 20 kWh/(m2 a) and 25 kWh/(m2 a) including storage and distribution losses (within the building), respectively. Furthermore, standard profiles are used for household electricity (e.g., appliances, lighting, etc.) [35] resulting in 25 kWh/(m2 a).

2.2. District Heating System

A (future) generic DH system is assumed consisting of 100 buildings with a Gaussian distribution of SH demands (with the probability density as shown in Figure 7b. Hence, the average building has a space HD of 45 kWh/(m2 a) (see solid green line Figure 7a).
The DH system’s thermal losses are assumed to be 10% with respect to the useful energy, i.e., 7 kWh/(m2 a), which is rather optimistic. Thus, the DH system can be represented with an average building with an SH demand of 45 kWh/(m2 a) and DHW of 25 kWh/(m2 a) leading to a total heat demand of 70 kWh/(m2 a) (site energy) and 77 kWh/(m2 a) of heat generation.
For the purpose of further investigation, a simplified generic DH system is developed which consists of different relative shares of biomass and gas heating: 30–70, 40–60, 50–50. The overall efficiency of the biomass and gas heater is included in the CO2 conversion factors, see Section 2.4.
As the availability of biomass is generally limited and in particular for heating applications, the maximum amount of biomass is kept constant in all DH variants. Hence, the following results (Section 3.1) apply under the assumption of a limited availability of biomass of (exemplarily 32 kWh/(m2 a) for the DH scenario 40–60), i.e., in the reference, DH system biomass contributes to approximately 40% and gas contributes to approximately 60%. Fossil gas heating (or CHP, see Section 2.4.3) is then partly replaced by integrating decentral HPs or central HPs central or with different capacities (see Section 2.3) and the relative share of biomass in the DH system is increasing.
As biomass is the only available directly storable renewable source, it is of high value and will not be used for heating purposes only but increasingly for electricity generation. In this case of combined heat and power (CHP), the distribution of CO2 emissions to the electric and the heating part should be calculated using the Carnot Method. CHP has an important contribution in many DH systems (see Section 2.4.3).
The different variants of the DH system are calculated by means of monthly energy balances with different options of HP integration, see Section 2.3. The modelling approach for the HP is described in Section 2.3.3.
Four perspectives are considered:
  • Perspective 1 is the building perspective in the DH system. The CO2 emissions are calculated supposing that all buildings in the DH system are supplied with the same system.
  • Perspective 2 is the perspective of the DH system. Every decentral HP in a building (or flat) reduces the energy demand of the DH system and, as such, the economic feasibility of the entire system. On the other hand, if a number of buildings is equipped with an HP, it allows—given a constant absolute contribution of biomass—for increasing the share of biomass in the other buildings reducing the CO2 emissions of the DH system.
  • The third perspective is the future one. Both the electricity and the DH system are subject to decarbonisation. A more detailed consideration is given to the flat-wise booster-HP.
  • Perspective 4 focuses on the PV own-consumption.

2.3. Modelling Heat Pumps Integrated in District Heating

The following variants (see Table 4) are compared on a building level and DH system level in terms of heat and electricity demand and CO2 emissions considering the mutual interdependencies, as sketched in Figure 8:
This picture (Figure 8) is obviously simplified but shows the mutual dependencies of integrating HPs in DH. Furthermore, it has to be noted that nuclear energy is excluded in this investigation as not existent in Austria and being subject to phase-out in Germany and other European countries. Furthermore, electric vehicles are excluded; however, they can represent a significant further electric load.
Variant A represents the reference case, namely the operation without HP, the variants B and C represent decentral solutions integrating flat-wise HP for the preparation of the DHW. These two variants are evaluated for the whole building also considering the influence of the PV own-consumption. It is noteworthy to mention that, for variant B, until at least one building of the DH network does not have a decentral HP for the DHW operation, the DH has to be operated also during the summertime with the related thermal losses. In contrast, if all the buildings of the DH are equipped with a decentral HP for the DHW operation, the DH network could be not operated in summer reducing the transmission losses of the network.
For the building/block-wise HP, the variants D and F are analysed (i.e., in variant D the HP is supplying the energy for the SH while the DHW is covered with the DH, and, in the variant F, the HP is providing the energy for both DHW and SH purposes; therefore, the building is not connected to the DH). For variant F the impact of the PV own-consumption is additionally analysed.
The variant E is considering a central high-temperature HP supplying energy to the DH. In this case, different variations are considered including different HP capacities (i.e., different energy shares supplied by the HP in the DH network).
Different model components are used and described in the following sections:
  • Flat level model with a detailed simulation of the booster HP (see Section 2.3.1);
  • Modelling PV own consumption (see Section 2.3.2);
  • Building level model with a comparison of the different integration options (see Section 2.3.3);
  • DH level with the perspective of the DH system depending on the number of buildings equipped with an HP (see Section 2.3.4);
  • The energy system level looking into the future development of the electricity and DH system (see Section 2.3.5);
  • For the environmental impact, the CO2 emissions of all variants are evaluated on a monthly basis (see Section 2.4). In the case of DH two cases being compared, with and without CHP based on the Carnot Method (see Section 2.4.3).

2.3.1. Simulation Model of the Booster HP

A detailed dynamic model of a booster HP providing DHW for each flat of the reference multifamily house is developed in Matlab/Simulink, and a simplified scheme of the model is reported in Figure 9. This model is used to make a detailed analysis of the capabilities of a booster HP for what concerns the PV own-consumption.
The booster HP located in each flat uses as a source the energy from the DH. It is considered that the energy from DH is used to heat a central storage based on a set point temperature, which is a function of the ambient temperature (i.e., from 34 °C until 22 °C when the ambient temperature is −10 °C and 19 °C respectively) as the hot water from the DH is also used for the heating system of the flat. From the central storage, the warm water is supplied to the booster HPs.
The performance maps of the booster HP used in the model are reported in Figure 10 (i.e., a: thermal power provided by the HP on the secondary side; b: Coefficient of Performances; c: electric power required by the HP considering different temperatures for the source and supply sides).
The supply temperature of the HP to the decentral storage is controlled with the three-way valve to avoid a deterioration of the stratification (see Figure 9) and the control is based on the temperature of the highest node of the thermal storage, which has 150 L, and it is modelled considering 10 thermal nodes. Two different storage energy classes (i.e., ErP A with a heat transfer coefficient of 0.9 W/K and ErP B with an HTC of 1.2 W/K) are considered.
Three different variants are considered regarding control of the set point of the storage to increase the own-consumption while electricity from the PV is available (see Table 5). The first strategy is applying the standard profile (i.e., Tset = 53 °C from 02:00:00 to 09:00:00 and from 15:00:00 to 22:00:00 otherwise Tset = 49 °C) independently of the PV yield, the second one is increasing the set point of the store to 60 °C when the PV yield per flat reaches 100 W and the third one only when the PV yield reaches 500 W.
The supply temperature on the user side is set at 45 °C, and it is controlled by means of the three-way valve after the storage (see Figure 9). The mass flow of the tapping is controlled based on the energy (i.e., if the temperature does not reach the set point, the tapping will last longer until the set energy is reached). Three different DHW tapping profiles are considered all with tapping energy of 5.9 kWh/day but with different distributions of the tapping (see Figure A1 in the Appendix A). The profile “DHW1” foresee one shower in the morning and one in the evening, “DHW2” has two showers in the morning and “DHW3” has two showers in the evening.
For a comprehensive analysis of the PV own-consumption (see next section), three different variants for the electricity demand of the appliances and common rooms are considered (see Table 6). The case “APP1” disregards the electricity demands for the appliances and common areas, while in the cases “APP2” and “APP3” a constant electricity demand is considered for the common areas and a dynamic hourly profile including seasonal and daily variations is assumed and rescaled for the cases “APP2” and “APP3” (see Figure A2 in the Appendix A and Table 6).

2.3.2. Modelling PV Own-Consumption

The PV panels are installed with a south orientation and 10° of inclination and they have an efficiency of 14% [36]. An inverter efficiency of 97% is considered.
Different sizes of PV panels (see Table 7) and different battery sizes (The battery system is used to increase the PV own-consumption for the electricity demand of the common areas). (BATT1: No battery, BATT2: 15 kWh, BATT3: 30 kWh) are analysed. It should be noted that a roof coverage of 60% is normally reachable, while reaching a share between 60% and 80% is challenging and requires accurate planning.
Because of low PV buyback prices, the share of PV that is directly used in the building shall be optimized (from the economic point of view of the building user/owner). Performing dynamic simulations, different control strategies for increasing the PV-own-consumption of the booster HP are analysed.
Typically, the PV own-consumption is evaluated in terms of load and supply cover factor (i.e., LCF and SCF respectively) as defined by Equations (1) and (2):
LCF = PVown/Wel,tot
SCF = PVown/PVtot
where PVown is the own consumption of the PV yield, PVtot is the total PV yield and Wel,tot is the electricity demand of the building. In the evaluation of LCF and SCF, the total electricity demand (el) including auxiliary and appliances should be considered.

2.3.3. Modelling of Heat Pumps Integrated in Buildings and District Heating

For the building perspective, monthly thermal and electric energy balances are determined for all HP integration options on a building level using the reference building energy balance and based on the simulation results.
The HPs are modelled for the sake of simplicity with a Carnot based approach (see Equations (3) and (4)):
COPC = Tmax/(Tmax − Tmin)
COP = ηC ∙ COPC
where COP is the coefficient of performance calculated based on the COPC, the Carnot coefficient of performance depending on Tmax and Tmin, the sink and source temperatures in [K], respectively, and ηC the Carnot performance factor.
Different Carnot performance factors ηC as well as maximum and minimum temperatures are used depending on the type of HP and HP integration option. The maximum temperature corresponds to the flow temperature of the heat pump, i.e., either the DHW temperature (see also [20]) or the flow temperature of the heating system and the minimum temperature is either the ambient air or, in case of the booster-HP, the flow temperature of the heating system. In detail, the following assumptions apply:
The decentral/flat-wise air—HP for DHW is modelled as air-sourced HP that delivers hot water at 55 °C with a Carnot performance factor of 0.35. The Seasonal Performance Factor (SPF) results in being 2.49.
This variant is evaluated considering also the impact of the increased PV own-consumption due to the application of decentral HP (see Section 2.3.2). In addition, the thermal losses of the DH are considered differently to distinguish between the case in which the DH network there is at least one building without the HP for DHW (i.e., the DH has to be operated also in summer) and the case in which all the buildings connected to the DH are equipped with the DHW-HP (i.e., no DH operation in summer).
Decentral/flat-wise Booster HP for DHW: As described in Section 1.4, winter and summer operation have to be distinguished in the case of the Booster HP. In winter, the HP uses the flow temperature of 35 °C (max., with a heating curve) as a source to provide DHW at 55 °C. The relatively high COP of about 3 reduces the energy provided by the DH system to 2/3 in winter. In summer, instead, the source of the HP is the room temperature (20 °C in the transition seasons and 25 °C in summer) and the COP of the HP is correspondingly lower (i.e., COP = 2). In the transition months (May and September), a mixed operation (i.e., average of winter and summer conditions) is assumed. Based on the efficiency (COP) of the HP, derived from the simulation of the refrigerant cycle, for DHW preparation of 2.5 at 30 °C and 1.7 at 20 °C source temperature at 55 °C sink temperature, a Carnot performance factor ηC between 0.18 and 0.19 can be determined (see also Figure 10 for the performance maps of the booster HP).
This variant is evaluated by considering also the impact of the increased PV own-consumption due to the application of decentral HP (see Section 2.3.2) and by means of dynamic simulations (see Section 2.3.1).
The Building-/Block-wise HP for SH is modelled as air sourced HP with a conservative Carnot performance factor of 0.35 leading with (ϑflow = 35 °C for SH and ϑflow = 55 °C for DHW to a SPF of 3.4.
Central HP: For the COP of large-capacity high-temperature HPs, a cascade system is assumed. The overall COP is approximated with a relative optimistic Carnot performance factor of 0.55 leading with a flow temperature of ϑflow = 90 °C to a COP in winter conditions of about 2.2 and in summer of 2.8 and a SPF of 2.5. Different variants are considered analysing different central HP sizes covering different thermal energy shared of the total DH energy (i.e., 8%, 16%, 23%, 31%, and 39%).
The Building-/Block-wise HP for DHW and SH is modelled as air sourced HP with a rather conservative Carnot performance factor of 0.35 leading to a SPF of 3.
This variant is evaluated by considering also the impact of the increased PV own-consumption (see Section 2.3.2).

2.3.4. District Heating Perspective Model

The reference building from the DH perspective is the average building connected to DH. The reference DH system consists of only buildings without any HP. Depending on the HP integration options (see Section 2.3) and on the number of buildings equipped with an HP in the DH system, the reduction of the total heat demand in the DH can be calculated.
Assuming an absolute limit of the amount of biomass available for the DH, the relative share of biomass increases with increasing number of buildings with HP, leading to overall lower CO2 emissions. HPs replace gas heating (or CHP) plants, but not biomass plants unless all gas plants are replaced.
Decentral (building-wise) HPs reduce the amount of heat sold by DH threatening the economic feasibility. With an increasing number of buildings disconnected from DH (in case of decentral HP for SH and DHW) or with reduced heat demand (in case of building wise HP for either SH or DHW or in case of booster-HPs), the sold heat by the DH system decreases, but the infrastructure (that has to be maintained) and the thermal losses of the DH remain the same. To compare different HP integration options under equal conditions, a threshold is defined that gives the maximum allowed number of buildings allowed in a DH system until the total heat delivered by the DH system is reduced concerning the reference. The determination of that threshold is not trivial and depends on several site-specific factors (in particular size and heat density as well as energy mix of the DH, fuel costs, electricity costs, etc.). Here, a threshold of 80% is assumed. The number of buildings and the corresponding CO2 emissions are calculated on an annual basis assuming different shares of biomass and gas plants in the DH system.

2.3.5. Energy System Perspective Model

The future development of the thermal and electric energy systems and their mutual dependencies are determined based on a scenario-based approach using annual balances. Assuming a path of 100% fossil-free electricity and DH system in 2050, an increasing share of PV and wind is anticipated in the electricity system replacing fossil-based power and CHP plants, while, in the DH, fossil heating and CHP plants are being replaced by biomass heating, large-scale central as well as medium- and small-scale decentral HPs, and remaining CHP plants (by a certain extent).

2.4. Environmental Model Based on CO2 Emissions

2.4.1. CO2 Emissions and CO2 Conversion Factor

The CO2 emissions are evaluated on a monthly basis using Equation (5) where the qDH is calculated according to Equation (6) and wel according to Equations (7) and (8). Relative losses of floss = 10% related to the space heating (SH) and domestic hot water (DHW) demand and 1% for auxiliary energy (i.e., electric energy for circulation pumps), respectively, is taken based on measurements of the DH in Innsbruck presented in [13]:
CO2 = qDH∙fCO2,DH + wel∙fCO2,el
qDH = floss ∙ (qSH + qDHW)
wel = wel,AUX + wel,HP
wel,AUX = fAUX ∙ qDH
The monthly CO2 conversion factors for the DH system the resulting CO2 conversion factor can be calculated according to Equation (9):
fCO2,DH = (QGas∙fCO2,Gas + QBio∙fCO2,Bio)/qDH

2.4.2. Scenarios for District Heating and Electricity

Different scenarios are evaluated for what concerns the DH and electricity networks considering different shares of renewables and fossil sources.
For this purpose, conversion factors based on the OIB-6:2019 [30] for the different energy sources are used:
  • Electricity 227 tCO2/MWh (see Table 2);
  • Gas 244 tCO2/MWh (incl. 82% thermal efficiency);
  • Biomass/Waste Heat 50 tCO2/MWh.
The CO2 conversion factors of four generic DH systems with a different share of biomass/waste heat and natural gas are shown in Figure 11. As a reference, the DH system with 40% of biomass is used, which features rather high CO2 emissions compared to those determined for the DH in Vienna and Innsbruck (see Section 1.7).
Generalized monthly CO2 conversion factors of future electricity mixes [29] are used to obtain results that are not country-specific. In particular, two scenarios of a generic electricity mix with 10% hydro, 10% wind and 10% PV, and 10% hydro, 30% wind and 30% PV, respectively (residual fossil) according to [29] (see Figure 12). The “10-10-10” representing a possible near-future energy mix for Germany (rather fossil dominated) electricity system and the “10-30-30” a near future renewable dominated one.
A constant conversion factor of electricity of fCO2el = 227 g/kWh is used as a reference; additionally, the scenarios shown in Figure 12 are applied to show the influence of the seasonal variation of the electricity mix.

2.4.3. Model for Combined Heat and Power

Gas and Biomass base load plants are typically operated as CHP plants. The CHP coefficient (power to heat ratio) is defined as the ratio between electricity generation (Wel) and thermal generation (Qth):
σ = W el Q th
With an electric efficiency of 30% and a thermal efficiency of 50%, a CHP coefficient of 0.6 is obtained (see Equation (11)). A COP coefficient of 1 is obtained instead, if the electric efficiency is equal to the thermal efficiency (here 40%) (see Equation (12)); see also [37,38]:
η el = 0.3 ,   η th = 0.5 ,   σ = 0.6
η el = 0.4 ,   η th = 0.4 ,   σ = 1.0
To evaluate the CO2 emissions allocated to the electric energy and the thermal energy, the Carnot Method is applied. The Carnot-Efficiency η C is calculated based on the maximum i.e., the flow temperature of the DH system and the minimum temperature, i.e., the ambient temperature:
η C = 1 T min T max
With an ambient temperature of e.g., Tmin = 283.15 K and supply temperature of e.g., Tmax = 433.15 K, the Carnot efficiency is 0.346. Using this Carnot efficiency, the so-called fuel fraction of electrical and thermal energy can be calculated:
Fuel fraction of electrical energy AF,el:
A F , el = ( 1 · η el ) η el + η C · η th
Fuel fraction thermal energy AF,th
A F , th = ( η C · η th ) η el + η C · η th
Finally, the specific CO2-emissions are calculated according to Equation (16) for the electricity part and according to Equation (17) for the thermal part:
f CO 2 , el = A F , el · f CO 2 , gas / η el
f CO 2 , th = A F , th · f CO 2 , gas / η th
For the given flow temperature of 160 °C, the following CO2 conversion factors can be calculated:
  • σ = 0.6 : fCO2,el = 423 g/kWhel, fCO2,th = 146 g/kWhth
  • σ = 1.0 : fCO2,el = 371 g/kWhel, fCO2,th = 129 g/kWhth
Compared to a gas heating plant with fCO2,gas = 200 g/kWh and a thermal efficiency of ηth = 0.82 (fCO2,th = 244 g/kWhth), the CO2 emissions are significantly reduced to ca. 53%. Reducing further the flow temperature down to 100 °C, the conversion factor could be further reduced to fCO2,th = 97 g/kWh. However, in the following, an existing DH system with a flow temperature of 160 °C is assumed. The influence on the electric CO2 conversion factor is rather small with 371 g/kWhel compared to a power plant with an efficiency of 50% with 400 g/kWhel, see Table 8. Given that gas has a relatively small share in the electricity mix 15% in 2018 according to [39], the influence on the electricity mix is of second-order importance. Hence, for sake of simplicity, two scenarios for gas are assumed. Gas power plant with fCO2,th = 244 g/kWhth and gas CHP plant with fCO2,th = 129 g/kWhth, while, for biomass, the conversion factor is kept constant with fCO2,th = 50 g/kWhth.
In the electricity sector, which is expected to significantly increase due to the electrification, gas is expected to be replaced mainly by wind (on- and off-shore) and PV. The limited use of hydro and biomass does not need further discussion.

3. Results and Discussion

3.1. Dynamic Simulations of the Booster HP—PV Own-Consumption

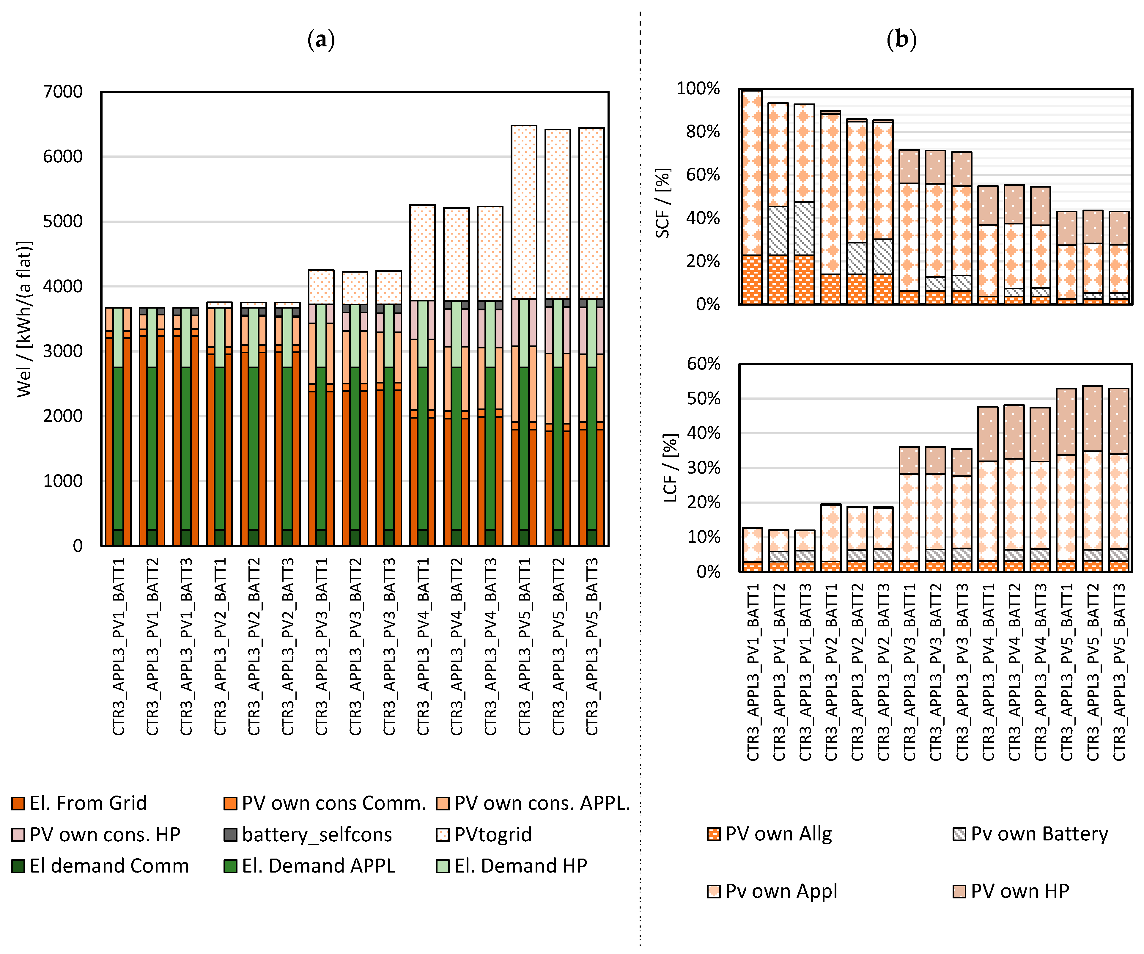
The PV own-consumption of booster HPs in DH systems is determined by means of dynamic simulations considering different control strategies (i.e., CTR1, CTR2, CTR3), DHW profiles (i.e., DHW1, DHW2, DHW3), storage quality (i.e., class A and class B), electricity demand for the appliances and common areas (APP1, APP2, APP3), PV sizes (i.e., PV1, PV2, PV3, PV4, PV5) and battery (i.e., BATT1, BATT2, BATT3, BATT4), as described in Section 2.3.1 and Section 2.3.2.
Figure 13 shows the annual electricity balance considering different control logics, appliances and PV sizes for the case without batteries. The control logic CTR2 leads to higher own-consumption of the PV yield, but at the same time increases the electricity demand since the increased setpoint temperature leads to higher storage losses and poorer COP of the HP compared to CTR1. If the appliances are included in the energy balance (see Table 6), the electricity demand of the HP is only around 25% of the total electricity demand considering APP3 and 35% considering APP2. This means that the PV yield available for the HP after subtracting the own-consumption for appliances is minor considering the cases PV1 and PV2. The cases from PV3 to PV5 allow covering from 8% to 19% of the HP electricity demand.
It is noteworthy to mention that the controller of the HP should consider the electricity need of the appliances (i.e., when the threshold of PV yield is reached, the booster HP is switched on only if also the PV electricity cannot be consumed by the appliances); otherwise, the electricity demand increases for example by +14% in case of CTR2.
The storage quality (i.e., class A and class B, see Section 2.3.1) influences the storage thermal losses but does not significantly affect the electricity balance of the system. The losses create a slight shift in electricity demand but do not change the general trend of the results; therefore, for the sake of simplicity, only the results with the storage Class A are presented.
The DHW profile influences the electricity demand and the results show that the DHW2 has the lowest electricity demand because the storage is discharged in the morning (due to morning showers) and then is charged during the day when the solar availability is high. Higher electricity demand is required in the case of DHW1 and DHW3 profiles compared to DHW2, since the storage is discharged in the evening, and it has to be recharged during the night or in the early morning to guarantee the target setpoint temperature (see Section 2.3.1). Nevertheless, the DHW profile is not known, and it is very likely that the pattern would change in different days and periods of the year. Therefore, the results obtained with the three different DHW profiles are averaged with the same weight to eliminate the dependency on this unknown factor.
Figure 14 shows the electricity balance (a) and the LCF and the SCF (b) for all the cases considering the CTR3 and APPL3 varying the PV and battery sizes. It can be noticed that increasing the PV size reduces the electricity needs from the grid, but the benefit is not linear. In fact, from PV3 to PV5, the increase of the LCF is compensated by a reduction of the SCF leading to a marginal increase in the own-consumed electricity and an increase in the electricity supplied to the grid. The batteries used to increase the own-consumption of the PV yield for the electricity demand of the common rooms, in this case study, do not lead to major benefits in terms of reduction of electricity from the grid since the energy stored in the battery reduces the own-consumption for the appliances.

3.2. Evaluation of HP Integration in DH—Building Level

3.2.1. Thermal and Electric Energy Balance

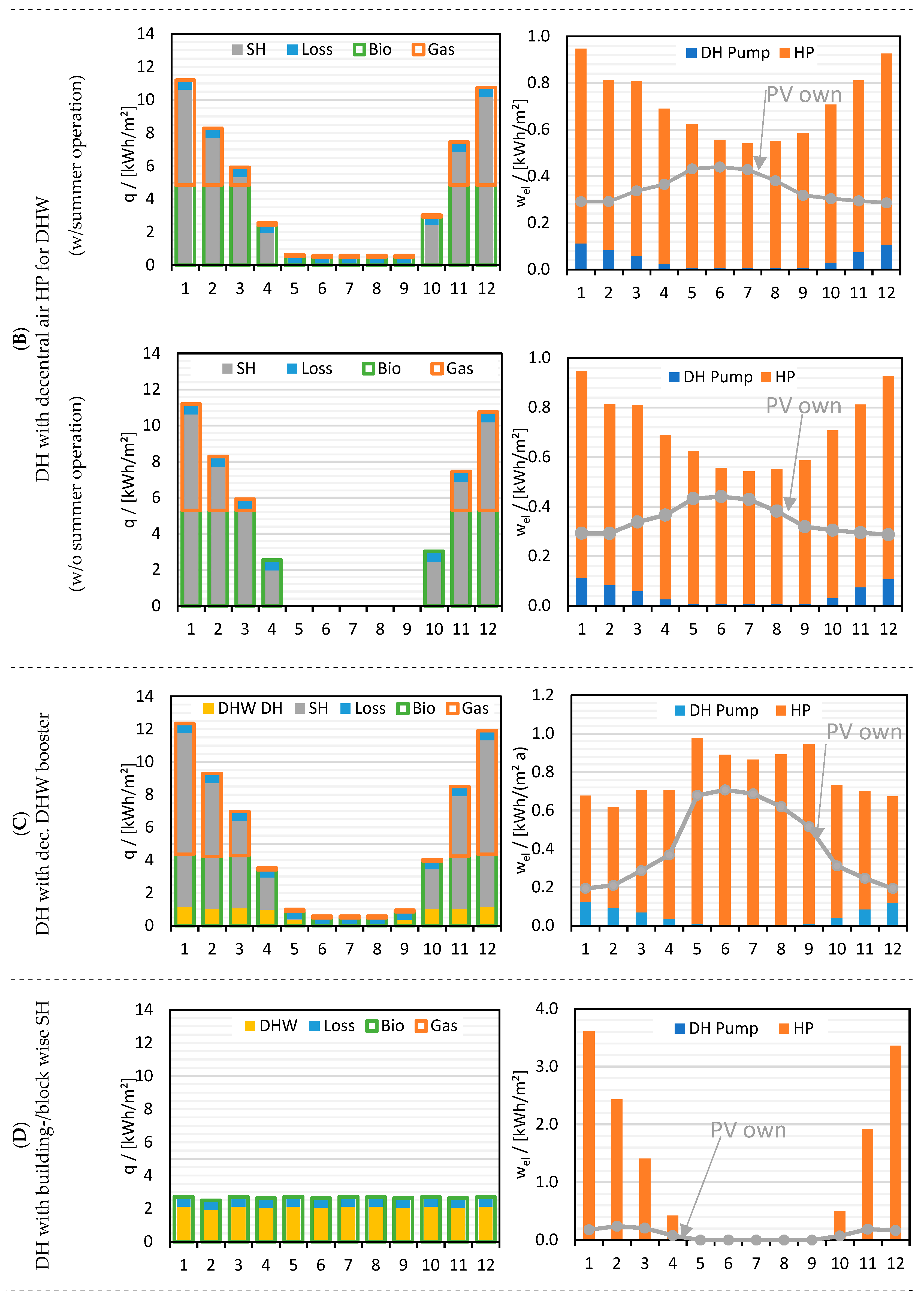
The results of the different cases of integrating HPs in buildings and the DH system presented in Section 2.3 are summarized here and presented from the average building perspective. The monthly thermal and electric energy balances for the different investigated variants are presented in Figure 15.
The DH is represented by the average building with an SH demand of 45 kWh/(m2 a), a DHW demand of 20 kWh/(m2 a) in case of decentral i.e., apartment-wise preparation and 25 kWh/(m2 a) in case of central, i.e., building-wise preparation and depending on the variant is consisting of contributions of biomass, of gas and of HPs. The electric energy balance is composed of the DH circulation pump and the HP electricity (if applicable), right-hand side of Figure 15.
In the case of DH only (variant A), the strong seasonal pattern of the thermal balance can be seen with about 13.3 kWhth/(m2 month) in winter and 2.7 kWhth/(m2 a) in summer. The electricity consumption is low and concerns only the DH circulation pumps. In the case of decentral building-wise DHW HP (B), there is either no operation of the DH in summer (would be applicable only if all buildings had such a DHW HP) or summer operation only covers the thermal losses of the DH system. The difference between winter and summer operation is otherwise equal to the reference (A). The electric balance shows a slight seasonal pattern because of the improved efficiency of the HP in summer.
In the case of the booster-HP (C), the thermal balance is only insignificantly different to the reference case. In winter and during the interim seasons, roughly 2/3 of the DHW demand is covered by DH and 1/3 by the HP (electricity). Only in a few months during the summer is the DH reduced to the thermal losses as the source for the HP is the ambient/room air. It is remarkable that the annual electric consumption is comparable with that of the DHW HP (B), but, in contrast, the performance is better in winter as it is then operated with a higher source temperature, i.e., the flow temperature of the heating system.
From the DH system operation perspective, the most favourable option is that of a decentral (building-wise) SH HP (D). The resulting monthly energy balance is flat, almost constant throughout the year, however with significantly reduced demand. Instead, there is a strong seasonal electric energy profile and the building-wise HP is only operated in the heating season from October to April.
Variants with a central HP (E) show the same thermal energy balance as the reference and depending on the contribution of the HP the electric energy demand increases with a slight seasonal pattern because of the better performance in summer.
Variant F, the HP only solution, represents the one with the highest electricity demand and a strong seasonal pattern. The building is disconnected from the DH; therefore, from the perspective of the building, there is no DH operation at all.
In Figure 15, in the electric energy balances (right-hand side), in addition, for decentral (building and apartment-wise) HP variants, i.e., B, C, D and F, the possible PV own-consumption is shown for a PV system size of 2 kWp per flat. It has to be mentioned that appliances are not considered here (see Section 3.1 for a detailed discussion on the influence of appliances on the PV own consumption). In case of SH HP, PV has obviously no relevant contribution. The highest contribution can be seen in the case of the building-wise HP (B) for DHW and the booster-HP (C).
The total specific thermal demand of the DH and the total specific electric demand, for all HP integration options (A through F), are shown for the average building in Figure 16. The thermal demand of the central HP integration options (E) is equal to the reference DH (A). It is noteworthy, on the one hand, the flat load curve in case of SH HP (D) and, on the other hand, the very low to zero demand in summer in case of DHW HP integration options (B, C). Obviously, in case of HP, there is no thermal demand for only (F). The electricity demand is obviously highest for the HP only case (F) and the SH HP (D), while, in the latter case, there is only a minor summer load from the DH circulation pumps. In case of the central HP variants (E), the electricity demand shows a slight seasonal behaviour with higher electricity consumption in winter, while, for the booster HP (C), it is the opposite.

3.2.2. Building Level CO2 Emissions

Based on the total specific thermal and electric energy demand, the possible CO2 emission savings that can be obtained from integrating HPs in DH systems are determined. The CO2 emissions depend on the energy mix of the DH system, the electricity mix and the type of integration. If, instead of biomass waste, heat is used in the DH, the use of decentral HPs can even lead to an increase in CO2 emissions. Generally, the integration of decentral HPs for DHW preparation reduces the summer load, thus leading to a more pronounced (relative) winter peak. Typically, DH system operators prefer the reduction of winter load and rather flat load curves.
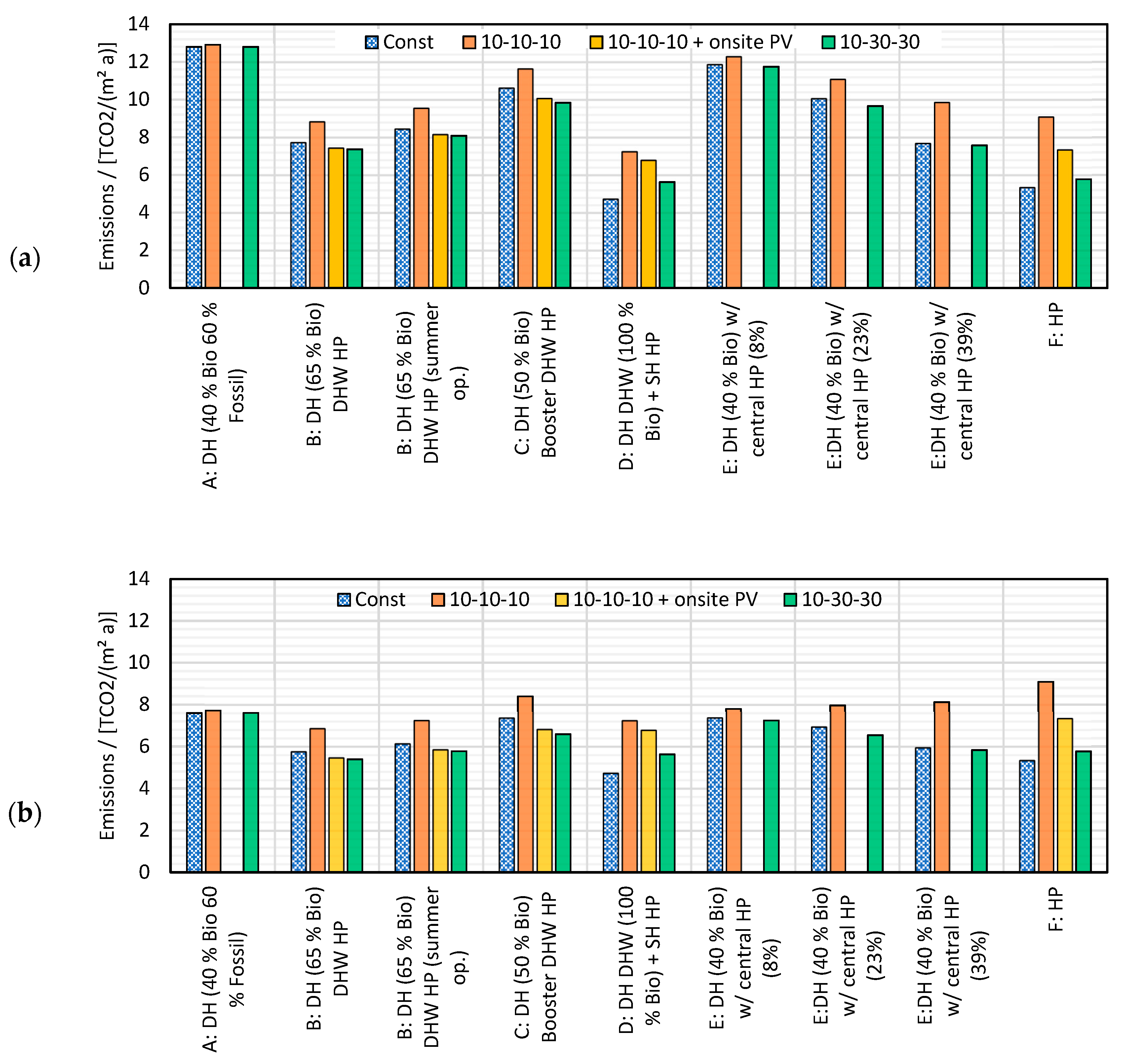
Based on the monthly thermal and electric energy balance (as presented in Figure 15), the total annual CO2 emissions are calculated for different DH system scenarios as well as different electricity mixes and compared in Figure 17.
In all combinations with a gas heating plant (Figure 17a), integration of an HP (or replacing DH with HP) leads to a reduction of the CO2 emissions. In case of gas CHP (Figure 17b), high CO2 savings can only be achieved by integrating HPs when the ‘10-30-30’ electricity mix is assumed or when onsite PV is considered. With a better DH system, the trend is less clear, but it can be seen that, in most cases, integration of HPs leads to a reduction of the CO2 emissions. The best performance is obtained with either building-wise HP for SH and DHW or DH for DHW and building-wise HP for SH (where the highest COPs can be reached). The higher the share of HP, and in particular of HP in SH, the larger is the difference between constant CO2-emission conversion factors and monthly ones according to the scenario “10-10-10”. It has to be noted that the assumption of low-temperature heating in (renovated) buildings with an HD of 45 kWh/(m2 a) is optimistic. In this sense, the solution with Booster-HP is not applicable or at least not recommended in buildings with HD higher than ca. 45 kWh/(m2 a). The overall performance depends on the number of buildings equipped with an HP.

3.3. Evaluation of HP Integration in DH—DH Level Considerations

From the perspective of the DH system operator, integrating a relevant number of decentral HPs (on building, block or apartment level) leads to a reduction of the load and thus threatens the economic operation of the DH system. The number of decentral HPs that are acceptable from the DH point of view depends on the amount of energy that is reduced per building and also on the type of integration. A DHW-HP reduces the base load, while an SH-HP reduces mainly winter peaks, as shown in the previous section. The lowest influence can be seen in the case of the booster-HP as the source of the HP is the DH, so the DH load is only reduced by the amount of electric energy that is consumed by the HP’s compressor (plus a few weeks in summer, when the booster HP uses the room air as a source instead of the DH). In the following, a generic DH consisting of 100 buildings is analysed with variable numbers of HPs (0 to 100) integrated for four different cases (see Figure 18):
  • Building-wise SH + DHW HP: these buildings are not connected to DH, each building with HP reduces the DH demand by 77 kWh/(m2 a) or 100% of its load (see Figure 18a);
  • Apartment-wise Booster-HP: in these buildings, DH is operated with a reduction of 22% of the load (see Figure 18b);
  • Building-wise DHW-HP: buildings need SH energy from the DH in winter only, leading to a reduction of 32% of the load (see Figure 18c);
  • Building-wise SH-HP: these buildings are connected to DH with which they cover the DHW base load, leading to a reduction of 58% of the load (see Figure 18d).
Assuming an absolute limit of biomass available in the DH system, and considering that an HP integrated into a building replaces partly biomass, an additional replacement of gas with biomass would be possible until 100% of the DH can be operated with biomass. This effect can be seen in the cases of the Building-wise SH + DHW HP and SH-HP (see Figure 18a), where a relevant part of the DH is replaced by the HP.
The threshold of when a DH falls out of economic operation is very individual, depending on the size of the system and other local conditions. Assuming a rather arbitrary threshold of 80% with respect to the energy delivered by the DH without integration of HPs, it can be determined how many buildings in the DH system can be equipped with HP until the operation of the DH system loses economic feasibility. In the case of HPs on the building (or block level) for SH and DHW, a max of 20% of the buildings can be equipped leading to a building averaged specific emission of 10 TCO2/(m2 a) for the reference case (DH 40–60) (see Figure 18a). In the case of building or block-wise SH HPs, 35% of the buildings can be equipped with HP before the threshold of 20% is reached (see Figure 18d). This would result in an average of 10 TCO2/(m2 a) as an average for the entire district (20% of buildings w/HP and 80% of DH w/o HP).
However, as in this case the DH load curve is flat and the operation of the DH system is constant throughout the year (i.e., relative low power, no peaks), an economic operation of the DH would also be possible with a higher share of buildings equipped with HP. Assuming that 60% of the original energy delivery (see Figure 18d) is still feasible in this case, averaged specific emissions can be reduced to 8.0 TCO2/(m2 a).
On the contrary, even though decentral DHW HPs can reduce the CO2 emissions significantly (see Figure 18c), the averaged savings would be less: As such, a DH system (with decentral DHW HPs) would have no summer load (except for the losses if the system was operated throughout the year) and would thus feature relatively low operation time and relatively high peaks, in spite of the remaining relative high share of energy for SH, for an economic operation of a DH system, only a few decentral DHW HPs might be acceptable (here as an example 40%, indicated by the dotted line in Figure 18c). Hence, decentral DHW HPs would on average lead to CO2 emissions of 11.0 TCO2/(m2 a).
It is remarkable that the overall highest savings can be obtained with a building-wise SH and DHW HP (see Figure 17a, 100% HP) and specific CO2 emissions could be theoretically reduced to 5.3 TCO2/(m2 a). Nevertheless, from the DH point of view—given the assumption that for an economic operation of the DH system only a maximum of 20% of the buildings can be equipped with HPs—total specific CO2 emissions of 10 TCO2/(m2 a) would result for the average district. Therefore, from the DH point of view building-wise, SH HPs seem to be the most promising solution that enable the highest CO2 savings without threatening the economic feasibility of the DH system.
Booster HPs do not significantly reduce the DH load except for a few months in summer, when ambient energy is used as a source. Because of the remaining high share of DH demand, (almost) all buildings could be equipped with such an HP without threatening economic operation. However, this would also lead to a rather low reduction of the CO2 emissions from 12.75 TCO2/(m2 a) to 10.9 TCO2/(m2 a) (see Figure 18b).
It is to be remarked that the threshold of 80% with respect to the reference heat delivered by the DH is to be seen as an example and might differ in specific DH systems and depends on a series of local boundary conditions and parameters. Furthermore, the increase of this threshold in the case of DHW heat pump to and the increase in the case of the SH HP is to be understood as an example and can also be subject to change.

3.4. Future Development of District Heating and Electricity—Energy System Level Considerations

The path to the required phase-out of fossil energy cannot be predicted, but it is certain that it will lead to an increasing share of PV and wind in the electricity system and will involve HPs in the DH sector. Assuming a full phase-out until 2050, a possible phase-out scenario is shown in Figure 19. The increasing share of wind and PV (see Figure 19a) will lead to a significant reduction of the CO2 conversion factor for electricity from 227 g/kWh to below 50 g/kWh (see Figure 19c). This will also have a relevant influence on the CO2 conversion factor of DH, when HPs are involved (see Figure 19b,c). The CO2 conversion factor of DH is calculated assuming a constant conversion factor of electricity (227 g/kWh) and with the decarbonized one leading to a further relevant reduction from 2030 on (see Figure 19c). The integration of onsite PV will not significantly influence the CO2 emissions of a building but will be required to reach the goal of the phase-out.
It has to be mentioned that, due to the volatile character of PV and wind, electric and thermal storage needs to be integrated into the energy systems.

4. Conclusions and Outlook

The integration of HPs either centrally on a DH level or directly in buildings is comprehensively investigated considering the mutual interdependencies using a generic DH system in a heating dominated climate (central Europe) based on two examples from Austria focusing on an energetic and environmental evaluation. HPs can significantly contribute to improving the efficiency in buildings for space heating and domestic hot water preparation. The investigation of HP integration options from the building, DH and (electric) energy system perspective by means of a simulation based energetic and ecologic evaluation of central (i.e., DH level), and decentral (i.e., building and flat level) integration options gives new insights and quantifies the mutual dependencies with regard to the thermal and electric grid.
From the energetic point of view, the application of decentral Booster-HPs in combination with DH is not recommended. In the heating season (typically 7 out of 12 months), the DHW is provided by approximately 1/3th of electricity and 2/3th of DH (COP of 3, the source of the HP is the DH). Only in 5 out of 12 months (or less) the source of the HP is ambient heat. Thus, in spite of reduced distribution (and storage) losses in the building, integration of Booster-HPs does not show significant savings. The advantage is instead (if the hydraulic configuration allows for it) the possibility to (partly) provide space cooling. Furthermore, the PV-own-consumption can be slightly increased, which can be an advantage from the building-owner point of view.
Decentral air-to-water HPs for DHW preparation outperform Booster-HPs. However, their integration into the building/flat is more challenging (air-source, visual/design aspects, sound emissions). In addition, the application of decentral DHW-HPs leads to a reduction of the base load of the DHW system. In a theoretic DH system with 100% DHW-HPs, there would be no summer operation. The application of decentral DHW-HPs can be a good solution in the renovation of buildings if DHW distribution in the building is not available and cumbersome to install.
Increasing the PV own-consumption is one of the main motivations for integrating booster HPs in DH systems. Nevertheless, it has been found that a control logic solely oriented towards increasing PV own consumption could result in an increase in electricity from the grid. The PV own-consumption of HP should be analysed including also the appliances in the balance. Particularly in the case of multi-family houses, the energy from PV per flat could be so low that it would be almost completely used to cover the load from appliances. Accordingly, for this case study, the booster HP would contribute to increasing the PV own-consumption only for a PV size bigger than 2 kWp/flat.
Central HPs integrated in the district DH typically have to provide up to 90 °C in winter and 60 °C in summer (or higher) and even though large HPs typically perform better than small HPs, the loss of efficiency due to high sink temperatures cannot be compensated.
Thus, in the sense of better performance, decentral application of HPs seems to be more favourable. However, the load of the DH system reduces by means of integrating decentral HPs and in particular in the case of DHW HPs (both building-wise or flat-wise air-to-water) or decentral apartment-wise booster HPs. The load curve becomes unfavourable for DH: the summer load reduces to close to zero leading to shorter runtimes of the DH system (only during the heating season from September to May). On a wider perspective, DH systems with a significant amount of buildings with decentral DHW HPs will not be operable in an economic way.
Integrating building- or flat-wise HPs for SH could be beneficial and, for the DH system, the remaining DHW load represents a constant and flat load. HPs can be operated with low sink temperatures (55 °C for DHW and 35 °C or lower for SH with underfloor heating) and thus with high performance. A drawback of building- or block-wise SH HPs is the short operation time (only during the winter season) and thus their application might be economically challenging.
Integrating HPs in DH does not generally lead to CO2 savings but would in the case of typical DH systems (with relevant fossil share) and in the case of the current EU electricity mix. In the reference case, CO2 emissions could be reduced from 12.8 TCO2/(m2 a) down to 4.7 TCO2/(m2 a) in the best case. In a future increasing renewable electricity mix, HPs will either outperform DH or enable their transition to renewable DH. Large-scale integration of HP will lead to an increase of the electricity demand, which has to be compensated by large-scale development of renewable electricity sources and by energy storage to compensate for the seasonal mismatch.
Based on the findings, in future work, a micro-economic (building and DH perspective) and macro-economic (society perspective) evaluation would contribute to developing guidelines to the optimal path for the decarbonisation of the building stock.

Author Contributions

Conceptualization, F.O.; Data curation, F.O. and M.M.; Formal analysis, F.O. and M.M.; Investigation, F.O. and M.M.; Methodology, F.O.; Project administration, F.O.; Writing—original draft, F.O. and M.M.; Writing—review and editing, F.O., M.M. and G.D. All authors will be informed about each step of manuscript processing including submission, revision, revision reminder, etc. via emails from our system or assigned Assistant Editor. All authors have read and agreed to the published version of the manuscript.

Funding

This research received no external funding except as mentioned in the acknowledgements.

Institutional Review Board Statement

Not applicable.

Informed Consent Statement

Not applicable.

Data Availability Statement

The datasets generated during and/or analyzed during the current study are not publicly available because the project is ongoing and the database will be further extended but will be available on request by sending an email to fabian.ochs@uibk.ac.at.

Acknowledgments

The work presented in this paper is based on the results of a collaboration within IEA SHC Task 66 “Solar Energy Buildings” and IEA HPT “Heat Pumps in Positive Energy Districts”. Financial support was provided by the Austrian Ministry for Transport, Innovation and Technology and the Austrian Research Promotion Agency (FFG) through the IEA Research Cooperation.

Conflicts of Interest

The authors declare no conflict of interest.

Nomenclature

Abbreviations
AUXAuxiliaries
BioBiomass
CCarnot
CHPCombined Heat and power
COPCoefficient of Performance
DHDistrict Heating
DHWDomestic Hot Water
elelectricity
ErPEnergy related Products
g-valueSolar Factor
HPHeat Pump
HVACHeating Ventilation and Air Conditioning
LCFLoad Cover Factor
losslosses
MVHRMechanical Ventilation with Heat Recovery
ownown-consumption of the PV yield
PVPhotovoltaic
RERenewables
RFReturn flow
SCFSupply Cover Factor
SHSpace Heating
SPFSeasonal Performance Factor
ththermal
tottotal
UFHUnder Floor Heating
Symbols
ATTreated area
AFFuel fraction of a CHP (electrical or thermal energy)
ambAmbient
fCO2CO2 conversion factor
flossRelative losses of the DH
mmass flow
PElectric power
QThermal energy
qSpecific thermal energy
Q ˙ Thermal power
RERenewables
tTime
TTemperature [K]
U-valueHeat transfer coefficient
WElectric energy
ηEfficiency [-]
ϑTemperature [°C]
σCHP coefficient (power to heat ratio)

Appendix A

Figure A1 shows the DHW tapping profiles considered for the simulation of the booster HP (see Section 2.3.1).
Figure A1. Domestic Hot Water (DHW) profiles (based on [34]) for the cases: (a) DHW1, (b) DHW2, and (c) DHW3.
Figure A1. Domestic Hot Water (DHW) profiles (based on [34]) for the cases: (a) DHW1, (b) DHW2, and (c) DHW3.
Energies 15 03889 g0a1
Figure A2 shows the dynamic hourly appliances profile including seasonal and daily variations used for the cases “APP2” and “APP3” (see Section 2.3.1).
Figure A2. Dynamic appliances profile for one flat used in the simulation of the booster HP (a) for the whole year and a zoom of the profile of a winter period (b) and of a summer period (c).
Figure A2. Dynamic appliances profile for one flat used in the simulation of the booster HP (a) for the whole year and a zoom of the profile of a winter period (b) and of a summer period (c).
Energies 15 03889 g0a2aEnergies 15 03889 g0a2b

References

  1. United Nations Environment Programme. Global Status Report for Buildings and Construction: Towards a Zero-emission, Efficient and Resilient Buildings and Construction Sector; UN Environment Programme: Nairobi, Kenya, 2021. [Google Scholar]
  2. Steininger, K.W.; Mayer, J.; Duelli, S.; Bachner, G. The Economic Effects of Achieving the 2030 EU Climate Targets in the Context of the Corona Crisis-An Austrian Perspective; Universität Graz: Graz, Austria, 2021. [Google Scholar] [CrossRef]
  3. Sterchele, P.; Brandes, J.; Heiling, J.; Wrede, D.; Kost, C.; Schlegl, T.; Bett, A.; Henning, H. Wege Zu Einem Klimaneutralen EnerGiesystem; Fraunhofer: Munich, Germany, 2020. [Google Scholar]
  4. BMWi. Energiedaten: Gesamtausgabe; Bundesministerium für Wirtschaft und Klimaschutz: Berlin, Germany, 2019. [Google Scholar]
  5. Dermentzis, G.; Ochs, F.; Thuer, A.; Streicher, W. Supporting decision-making for heating and distribution systems in a new residential district-An Austrian case study. Energy 2021, 224, 120141. [Google Scholar] [CrossRef]
  6. Jodeiri, A.M.; Goldsworthy, M.J.; Buffa, S.; Cozzini, M. Role of sustainable heat sources in transition towards fourth generation district heating—A review. Renew. Sustain. Energy Rev. 2022, 158, 112156. [Google Scholar] [CrossRef]
  7. Lund, H.; Möller, B.; Mathiesen, B.V.; Dyrelund, A. The role of district heating in future renewable energy systems. Energy 2010, 35, 1381–1390. [Google Scholar] [CrossRef]
  8. Sorknæs, P.; Østergaard, P.A.; Thellufsen, J.; Lund, H.; Nielsen, S.; Djørup, S.; Sperling, K. The benefits of 4th generation district heating in a 100% renewable energy system. Energy 2020, 213, 119030. [Google Scholar] [CrossRef]
  9. Menapace, A.; Boscheri, W.; Baratieri, M.; Righetti, M. An efficient numerical scheme for the thermo-hydraulic simulations of thermal grids. Int. J. Heat Mass Transf. 2020, 161, 120304. [Google Scholar] [CrossRef]
  10. IEA. District Heating. 2021. Available online: https://www.iea.org/reports/district-heating (accessed on 22 May 2022).
  11. IEA. How Can District Heating Help Decarbonise the Heat Sector by 2024? 2019. Available online: https://www.iea.org/articles/how-can-district-heating-help-decarbonise-the-heat-sector-by-2024 (accessed on 31 March 2022).
  12. Wiener Stadtwerke Gruppe. Die Welt im Gleichgewicht Halten. 2020. Available online: https://www.wienerstadtwerke.at/o/document/wienerstadtwerke/wiener-stadtwerke_nachhaltigkeitsbericht-2020_de (accessed on 22 May 2022).
  13. Streicher, W. Fernwärmeverbundsystem der TIGAS für 2017-Ermittlung des Primärenergiemix für das FW Verbundnetz der TIGAS für 2017 und weiteren Ausbau Innsbruck. 2018. Available online: https://www.tigas.at/produkte/fernwaerme/fernwaerme-im-ueberblick/ (accessed on 22 May 2022).
  14. Wang, Y.; Qu, K.; Chen, X.; Gan, G.; Riffat, S. An innovative retrofit Motivation-Objective-Criteria (MOC) approach integrating homeowners’ engagement to unlocking low-energy retrofit in residential buildings. Energy Build. 2022, 259, 111834. [Google Scholar] [CrossRef]
  15. Østergaard, D.S.; Smith, K.M.; Tunzi, M.; Svendsen, S. Low-temperature operation of heating systems to enable 4th generation district heating: A review. Energy 2022, 248, 123529. [Google Scholar] [CrossRef]
  16. Andrić, I.; Fournier, J.; Lacarrière, B.; le Corre, O.; Ferrão, P. The impact of global warming and building renovation measures on district heating system techno-economic parameters. Energy 2018, 150, 926–937. [Google Scholar] [CrossRef]
  17. Biermayr, P.; Dißauer, C.; Eberl, M.; Enigl, M.; Fechner, H.; Fürnsinn, B.; Jaksch-Fliegenschnee, M.; Leonhartsberger, K.; Moidl, S.; Premet, E.; et al. Innovative Energietechnologien in Österreich: Marktentwicklung; IEA Forschungs Cooperation: Vienna, Austria, 2019. [Google Scholar]
  18. Østergaard, P.A.; Andersen, A.N. Booster heat pumps and central heat pumps in district heating. Appl. Energy 2016, 184, 1374–1388. [Google Scholar] [CrossRef]
  19. Lund, H.; Werner, S.; Wiltshire, R.; Svendsen, S.; Thorsen, J.; Hvelplund, F.; Mathiesen, V. 4th Generation District Heating (4GDH): Integrating smart thermal grids into future sustainable energy systems. Energy 2014, 68, 1–11. [Google Scholar] [CrossRef]
  20. Ochs, F.; Breuss, S.; Venturi, E.; Magni, M.; Dermentzis, G.; Fisco, S. Modelling and Simulation of Innovative Decentral Domestic Hot Water Systems with Heat Pumps for Multi-Family Buildings. In BauSIM 2020—8th Conference of IBPSA Germany and Austria; Graz University of Technology: Graz, Austria, 2020; pp. 135–142. [Google Scholar] [CrossRef]
  21. Ochs, F.; Krimbacher, P.; Siegele, D.; Feist, W. Niedertemperaturheizung in Kombination mit Einer Dezentralen Boiler-Wärmepumpe. In BauSIM 2014 5th Conference of IBPSA Germany and Austria; RWTH Aachen University: Aachen, Germany, 2014; pp. 379–386. [Google Scholar]
  22. Volodina, V.; Wheatcroft, E.; Wynn, H. Comparing district heating options under uncertainty using stochastic ordering. Sustain. Energy Grids Netw. 2022, 30, 100634. [Google Scholar] [CrossRef]
  23. Pääkkönen, A.; Joronen, T. Revisiting the feasibility of biomass-fueled CHP in future energy systems—Case study of the Åland Islands. Energy Convers. Manag. 2019, 188, 66–75. [Google Scholar] [CrossRef]
  24. Wolfgang, M.; Corradini, R.; Wiesemeyer, K.; Schwentzek, M. Allokationsmethoden für spezifische CO2-Emissionen von Strom und Wärme aus KWK-Anlagen. Energ. Tagesfr. 2010, 60, 12–14. [Google Scholar]
  25. Vivian, J.; Chinello, M.; Zarrella, A.; de Carli, M. Investigation on Individual and Collective PV Self-Consumption for a Fifth Generation District Heating Network. Energies 2022, 15, 1022. [Google Scholar] [CrossRef]
  26. Kontu, K.; Rinne, S.; Junnila, S. Introducing modern heat pumps to existing district heating systems—Global lessons from viable decarbonizing of district heating in Finland. Energy 2019, 166, 862–870. [Google Scholar] [CrossRef]
  27. ENTOS-E. TYNDP 2022 Draft Scenario Report; ENTSO-E European Network of Transmission System Operators for Electricity: Brussels, Belgium, 2021. [Google Scholar]
  28. Büchele, R.; Kranzl, L.; Hartner, M.; Hasani, J. Opportunities and challenges of future district heating portfolios of an austrian utility. Energies 2020, 13, 2457. [Google Scholar] [CrossRef]
  29. Ochs, F.; Dermentzis, G. Evaluation of Efficiency and Renewable Energy Measures Considering the Future Energy Mix. In Proceedings of the 7th International Building Physics Conference, Syracuse, NY, USA, 23–26 September 2018; pp. 1271–1276. [Google Scholar]
  30. Österreichisches Institut für Bautechnik. OIB-RICHTLINIE 6: OIB-RICHTLINIE 6 Energieeinsparung und Wärmeschutz; Österreichisches Institut für Bautechnik: Wien, Austria, 2019. [Google Scholar]
  31. Roßkopf-Nachbaur, T.; Ploß, M. Ermittlung Monatlicher Primärenergiefaktoren und CO2eq-Konversionsfaktoren für den Aktuellen Osterreichischen und Deutschen Verbraucherstrommix Sowie Szenarien zur Entwicklung in Österreich bis 2030; Low-Cost nearly Zero Energy Buildings: Dornbirn, Austria, 2021. [Google Scholar]
  32. Ploß, M.; Hatt, T.; Roßkopf-Nachbaur, T.; Peter, A.; Reis, M.; Ochs, F.; Magni, M.; Dermentzis, G.; Sigg, F.; Wirnsberger, M.; et al. Low-Cost nZEB, Paris-kompatible Mehrfamilienhäuser; Partner des im Rahmen des interreg V-A-Programms Österreich Bayern 2014: Dornbirn, Austria, 2022. [Google Scholar]
  33. Passivhaus Institut. Passive House Planning Package (PHPP). 2022. Available online: https://passiv.de/en/04_phpp/04_phpp.htm (accessed on 13 January 2022).
  34. DIN EN 16147; Heat Pumps with Electrically Driven Compressors-Testing, Performance Rating and Requirements for Marking of Domestic Hot Water Units. German Institute for Standardisation: Berlin, Germany, 2017.
  35. APCS. Power Clearing & Settlement Austria. 2022. Available online: https://www.apcs.at/de (accessed on 12 January 2022).
  36. Wemhoener, C.; Ochs, F.; Magni, M.; Betzold, C. Methodology for comparison of nZEB ambition level in different countries by building and system simulation. In Proceedings of the BS Conference, Innsbruck, Austria, 26 April 2021. [Google Scholar]
  37. Ren, H.; Gao, W.; Ruan, Y. Optimal sizing for residential CHP system. Appl. Therm. Eng. 2008, 28, 514–523. [Google Scholar] [CrossRef]
  38. Gambini, M.; Vellini, M. High efficiency cogeneration: Electricity from cogeneration in CHP plants. Energy Procedia 2015, 81, 430–439. [Google Scholar] [CrossRef] [Green Version]
  39. International Energy Agency. Energy Policy Review Austria. 2020. Available online: https://www.iea.org/reports/austria-2020 (accessed on 22 May 2022).
Figure 1. Share of District Heating (DH) in the heating of buildings acc. to (a) for Austria [2] and (b) for Germany [3]; prediction for 2030 and 2050 (i.e., HP: Heat Pump, ST: Solar Thermal, Elec. Electricity).
Figure 1. Share of District Heating (DH) in the heating of buildings acc. to (a) for Austria [2] and (b) for Germany [3]; prediction for 2030 and 2050 (i.e., HP: Heat Pump, ST: Solar Thermal, Elec. Electricity).
Energies 15 03889 g001
Figure 2. (a) District Heating (DH) in Innsbruck (monthly balance, simplified), acc. to [13]; (b) DH in Vienna (monthly balance, simplified) acc. to [12]; both own representation (i.e., RE: Renewables, CHP: Combined Heat and Power).
Figure 2. (a) District Heating (DH) in Innsbruck (monthly balance, simplified), acc. to [13]; (b) DH in Vienna (monthly balance, simplified) acc. to [12]; both own representation (i.e., RE: Renewables, CHP: Combined Heat and Power).
Energies 15 03889 g002
Figure 3. Simplified hydraulic scheme of a booster heat pump.
Figure 3. Simplified hydraulic scheme of a booster heat pump.
Energies 15 03889 g003
Figure 4. Monthly CO2 conversion factors for the electricity network of Germany and Austria derived from measured data from 2019 [31,32].
Figure 4. Monthly CO2 conversion factors for the electricity network of Germany and Austria derived from measured data from 2019 [31,32].
Energies 15 03889 g004
Figure 5. Monthly CO2 conversion factors for the DH networks of Innsbruck and Vienna including losses derived from measured data from 2017 and 2018, respectively (our own calculations based on [13,12,31], see also monthly energy balance in Figure 2).
Figure 5. Monthly CO2 conversion factors for the DH networks of Innsbruck and Vienna including losses derived from measured data from 2017 and 2018, respectively (our own calculations based on [13,12,31], see also monthly energy balance in Figure 2).
Energies 15 03889 g005
Figure 6. Sketch of the reference building, multi-apartment building with 4 stories and 16 flats (Neue Heimat Tirol).
Figure 6. Sketch of the reference building, multi-apartment building with 4 stories and 16 flats (Neue Heimat Tirol).
Energies 15 03889 g006
Figure 7. (a) Monthly space heating demand (HD) of the building with different qualities of the envelope (acc. to Table 3), considering the climate of Innsbruck [30]; (b) normal distribution of the space HD of the buildings in the considered DH system.
Figure 7. (a) Monthly space heating demand (HD) of the building with different qualities of the envelope (acc. to Table 3), considering the climate of Innsbruck [30]; (b) normal distribution of the space HD of the buildings in the considered DH system.
Energies 15 03889 g007
Figure 8. Sketch of the interactions between electric system, DH and load (i.e., Buildings) (i.e., SH: Space Heating, DHW: Domestic Hot Water, RF: Return Flow, HP: Heat Pump, DH: District Heating) * industrial waste heat and incineration.
Figure 8. Sketch of the interactions between electric system, DH and load (i.e., Buildings) (i.e., SH: Space Heating, DHW: Domestic Hot Water, RF: Return Flow, HP: Heat Pump, DH: District Heating) * industrial waste heat and incineration.
Energies 15 03889 g008
Figure 9. Simplified scheme of the developed simulation model of the booster HP including PV, battery and control.
Figure 9. Simplified scheme of the developed simulation model of the booster HP including PV, battery and control.
Energies 15 03889 g009
Figure 10. Performance maps of the booster HP (i.e., (a) thermal energy; (b) COP and (c) electric power).
Figure 10. Performance maps of the booster HP (i.e., (a) thermal energy; (b) COP and (c) electric power).
Energies 15 03889 g010
Figure 11. CO2 conversion factors for four generic DH systems with different shares of biomass/waste heat and natural gas (our own calculations based on [13]).
Figure 11. CO2 conversion factors for four generic DH systems with different shares of biomass/waste heat and natural gas (our own calculations based on [13]).
Energies 15 03889 g011
Figure 12. CO2 conversion factors for electricity according to two scenarios of a generic electricity mix with 10% hydro, 10% wind and 10% PV and 10% hydro, 30% wind and 30% PV, respectively (residual fossil), according to [29].
Figure 12. CO2 conversion factors for electricity according to two scenarios of a generic electricity mix with 10% hydro, 10% wind and 10% PV and 10% hydro, 30% wind and 30% PV, respectively (residual fossil), according to [29].
Energies 15 03889 g012
Figure 13. Electricity balance for all the cases considering no batteries and averaged results over the three DHW profiles.
Figure 13. Electricity balance for all the cases considering no batteries and averaged results over the three DHW profiles.
Energies 15 03889 g013
Figure 14. (a) Electricity balance for the cases implementing the CTR3 and APPL3 varying the PV and battery sizes; (b) Supply Cover Factor (SCF) and Load Cover Factor (LCF) of the same cases.
Figure 14. (a) Electricity balance for the cases implementing the CTR3 and APPL3 varying the PV and battery sizes; (b) Supply Cover Factor (SCF) and Load Cover Factor (LCF) of the same cases.
Energies 15 03889 g014
Figure 15. Thermal balance (left) and electric balance (right) of all the analysed possibilities for HP integration on the DH network.
Figure 15. Thermal balance (left) and electric balance (right) of all the analysed possibilities for HP integration on the DH network.
Energies 15 03889 g015aEnergies 15 03889 g015bEnergies 15 03889 g015c
Figure 16. Total specific thermal demand of DH (left) and total specific electricity demand (right) for the different integration options (A through F).
Figure 16. Total specific thermal demand of DH (left) and total specific electricity demand (right) for the different integration options (A through F).
Energies 15 03889 g016
Figure 17. CO2 emissions of the different systems considering different conversion factors for the electricity (i.e., Constant, 10-10-10 and 10-30-30) and the PV own-consumption. (a) represents the case in which the gas is directly used in the DH network and (b) the case in which all the gas is used in CHP power plants.
Figure 17. CO2 emissions of the different systems considering different conversion factors for the electricity (i.e., Constant, 10-10-10 and 10-30-30) and the PV own-consumption. (a) represents the case in which the gas is directly used in the DH network and (b) the case in which all the gas is used in CHP power plants.
Energies 15 03889 g017
Figure 18. Specific CO2 emissions and energy share of HP and DH considering the integration of (a) HP for SH and DHW, (b) decentral DHW Booster HP, (c) building–wise HP for DHW, and (d) building–wise HP for SH. The CO2 emissions are reported for different DH scenarios considering different shares of Biomass and gas (e.g., “30–70” includes 30% of biomass and 70% of gas).
Figure 18. Specific CO2 emissions and energy share of HP and DH considering the integration of (a) HP for SH and DHW, (b) decentral DHW Booster HP, (c) building–wise HP for DHW, and (d) building–wise HP for SH. The CO2 emissions are reported for different DH scenarios considering different shares of Biomass and gas (e.g., “30–70” includes 30% of biomass and 70% of gas).
Energies 15 03889 g018aEnergies 15 03889 g018b
Figure 19. (a) Possible phase-out scenario in the electricity system with an increasing share of Wind and PV, (b) possible phase-out scenario in DH with an increasing share of HPs and (c) resulting CO2 conversion factors for electricity and DH.
Figure 19. (a) Possible phase-out scenario in the electricity system with an increasing share of Wind and PV, (b) possible phase-out scenario in DH with an increasing share of HPs and (c) resulting CO2 conversion factors for electricity and DH.
Energies 15 03889 g019aEnergies 15 03889 g019b
Table 1. Share of renewables in DH in %, examples from Austria, acc. to [13].
Table 1. Share of renewables in DH in %, examples from Austria, acc. to [13].
InnsbruckViennaGrazLinz
Reference year2017201520112012
System size in GWh/a66.7576712001289
  renewables (biomass)22.1%16.0%0.2%15.3%
  waste incineration0%17.7%0.0%15.0%
  industrial waste heat23.4%0%4.0%12.4%
  Combined Heat and Power (CHP)18.4%51.0%95.8%0.0%
  fossil (gas, oil)36.0%15.4%0.0%57.3%
Table 2. Primary energy and CO2 conversion factors (in Austria, acc. OIB-6:2019).
Table 2. Primary energy and CO2 conversion factors (in Austria, acc. OIB-6:2019).
fPE,totfPE,REfCO2
Gas1.100.00247
Biomass s1.131.0317
Biomass l1.51.0070
DH (CHP)0.88075
Electricity1.631.02227
Table 3. Quality of the building envelope and type of ventilation system for the different building energy standards with extract air or mechanical ventilation with heat recovery (MVHR).
Table 3. Quality of the building envelope and type of ventilation system for the different building energy standards with extract air or mechanical ventilation with heat recovery (MVHR).
Building Energy LevelU-Value Opaque/
[W/(m2 K)]
U-Value Windows/
[W/(m2 K)]
Ventilation
System
HD = 10 kWh/(m2 a)0.100.91MVHR
HD = 25 kWh/(m2 a)0.161.46MVHR
HD = 45 kWh/(m2 a)0.171.46Extract
HD = 65 kWh/(m2 a)0.262.03Extract
HD = 80 kWh/(m2 a)0.362.54Extract
Table 4. Overview of DH and HP integration options, see also Section 1.3.
Table 4. Overview of DH and HP integration options, see also Section 1.3.
VariantDHHPRemark
ADH (100%)noReference (no HP)
BDH for SHDecentral/flat-wise air—HP for DHW
  • With DH summer operation
  • Without DH summer operation
optional PV own-consumption
CDH for SH and source for BoosterDecentral/flat-wise booster HP for DHWPV own-consumption
DDH for DHWDecentral building/block-wise HP for SHLow-temperature SH
EDH (100%)Central HP (air, ground, water, waste–heat)HP contribution to the DH:
  • 8%
  • 16%
  • 23%
  • 31%
  • 39%
FNo DHDecentral building-wise SH + DHW HPoptional PV own-consumption
Table 5. Control logics of the set point of the decentral storage depending on the PV yield.
Table 5. Control logics of the set point of the decentral storage depending on the PV yield.
CTR 1CTR 2CTR 3
ϑset = standard profile (Tset = 53 °C from 02:00:00 to 09:00:00 and from 15:00:00 to 22:00:00 otherwise Tset = 49 °C) Energies 15 03889 i001 Energies 15 03889 i002
Table 6. Variants for the electricity demand (appliances and common areas) in [kWh/(a flat)].
Table 6. Variants for the electricity demand (appliances and common areas) in [kWh/(a flat)].
APP1APP2APP3
AppliancesCommonAppliancesCommonAppliancesCommon
0016002522500252
Table 7. PV peak power, percentage of areas covered with PV modules [36] and PV yield per area for the different variants of PV; reference building with 16 flats and a roof area of 449.4 m2.
Table 7. PV peak power, percentage of areas covered with PV modules [36] and PV yield per area for the different variants of PV; reference building with 16 flats and a roof area of 449.4 m2.
PV Peak per FlatPV Peak TotalArea Covered by PVPV Yield per Area
[kWp/Flat][kWp][%][kWh/(a m2footprint)]
PV10.5813% Roof16.7
PV20.8613.822% Roof28.5
PV323251% Roof66.7
PV43.55680% Roof +
20% South façade
116.8
PV558080% Roof +
80% south facade +
15% East and West facades
166.8
Table 8. CO2 conversion factor fCO2 for electricity and DH (thermal); Remark: if 10% losses of the DH system are assumed the CO2 conversion factor of gas would increase to fCO2,th = 288 g/kWhth. In the following calculation, the losses are included in the generated heat.
Table 8. CO2 conversion factor fCO2 for electricity and DH (thermal); Remark: if 10% losses of the DH system are assumed the CO2 conversion factor of gas would increase to fCO2,th = 288 g/kWhth. In the following calculation, the losses are included in the generated heat.
Electric EnergyThermal Energy
(w/o Losses)
Biomass Heating10063
Bio CHP σ = 0.610637
Gas Heating400244
Gas CHP σ = 0.6423146
Gas CHP σ = 1.0371129
Publisher’s Note: MDPI stays neutral with regard to jurisdictional claims in published maps and institutional affiliations.

Share and Cite

MDPI and ACS Style

Ochs, F.; Magni, M.; Dermentzis, G. Integration of Heat Pumps in Buildings and District Heating Systems—Evaluation on a Building and Energy System Level. Energies 2022, 15, 3889. https://doi.org/10.3390/en15113889

AMA Style

Ochs F, Magni M, Dermentzis G. Integration of Heat Pumps in Buildings and District Heating Systems—Evaluation on a Building and Energy System Level. Energies. 2022; 15(11):3889. https://doi.org/10.3390/en15113889

Chicago/Turabian Style

Ochs, Fabian, Mara Magni, and Georgios Dermentzis. 2022. "Integration of Heat Pumps in Buildings and District Heating Systems—Evaluation on a Building and Energy System Level" Energies 15, no. 11: 3889. https://doi.org/10.3390/en15113889

APA Style

Ochs, F., Magni, M., & Dermentzis, G. (2022). Integration of Heat Pumps in Buildings and District Heating Systems—Evaluation on a Building and Energy System Level. Energies, 15(11), 3889. https://doi.org/10.3390/en15113889

Note that from the first issue of 2016, this journal uses article numbers instead of page numbers. See further details here.

Article Metrics

Back to TopTop