Numerical Analysis on Thermohydraulic Performance of the Tube Inserted with Rectangular Winglet Vortex Generators
Abstract
:1. Introduction
2. Methodology
2.1. Geometry of the Model
2.2. Mathematical Modeling
2.3. BSL k-ω Model
2.4. Boundary Conditions
3. Data Reduction and Validation
3.1. Data Reduction
3.2. Mathematical Modeling Selection
3.3. Mesh Independence
3.4. Validation
4. Result and Discussion
4.1. Analysis of Influence of RWVGs
4.2. Effect of Geometric Parameters
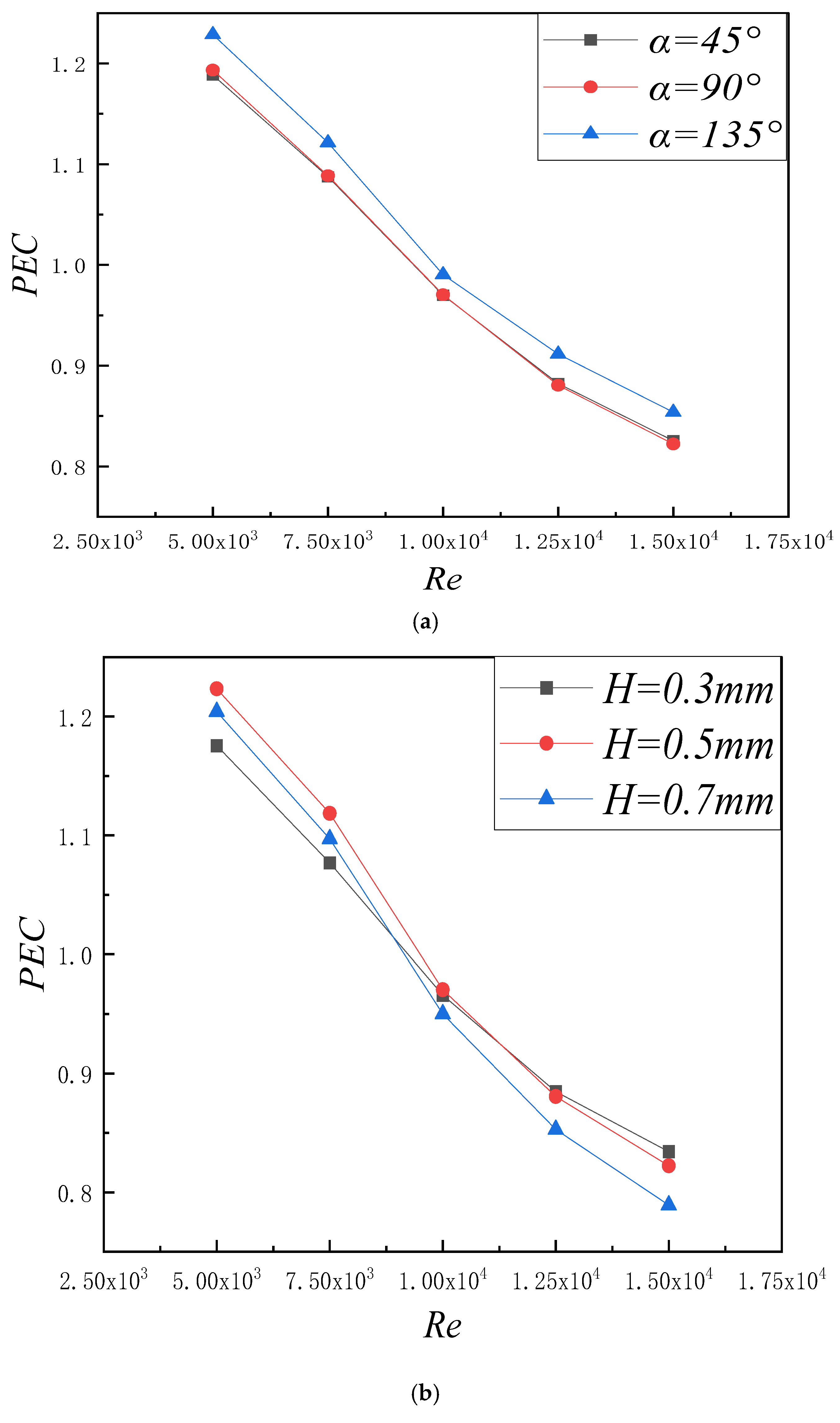
4.2.1. Effect of the RWVG Angle
4.2.2. Effect of the RWVG Height
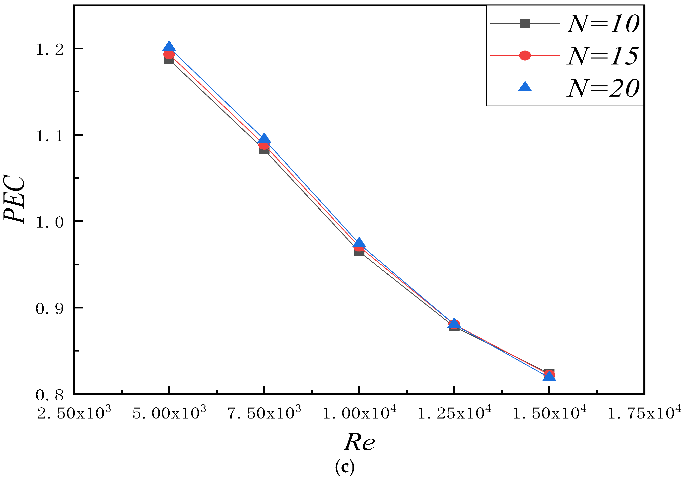
4.2.3. Effect of the RWVG Number in a Circle
4.3. Analyze the Influence of RWVGs on Comprehensive Performance
4.4. Comparison with Previous Work
5. Conclusions
- (1)
- For the range of Reynolds numbers investigated, both Nu and f increased with the increased of H and N, and the percentage increase of the Nusselt number was about 9.7% and 7.3%. At the same time, the case of α = 135° showed the greatest enhancement of thermal performance than the case of α = 45° and α = 90°. The percentage increase of the Nusselt number could reach 7%.
- (2)
- Vortices made the radial movement of the fluid between the tube wall and the core flow region more violent, which also led a better fluid turbulence and a greater thermal performance in the tube inserted with VGs.
- (3)
- The three variables mentioned above had influence on the thermal performance in the tube with RWVGs inserted. It was found that angle was the factor that had the greatest impact on the thermal performance among the studied parameters. The results showed that the maximum value of PEC under the three angles was 1.211, while the PEC of the number N and the height H was of 1.201 and 1.199, respectively.
- (4)
- The PEC achieved the highest value of 1.23 when the height H of the RWVG was 0.7 mm, the number N was 20, and the angle α was 135°.
6. Highlights
- The ribbed tube with novel RWVGs is proposed for heat transfer enhancement.
- The BSL k-ω model is employed owing to better accuracy in the tube with the proposed RWVGs.
- Details of the flow structures and temperature distributions in the ribbed tube are presented and analyzed.
- Effects of geometric parameters on thermal-hydraulic characteristics are examined and optimum parameters for the ribbed tube with RWVGs are reported for practical applications.
Author Contributions
Funding
Institutional Review Board Statement
Informed Consent Statement
Data Availability Statement
Conflicts of Interest
Nomenclature
| The area of heated wall () | |
| The heat capacity of working fluid () | |
| The hydraulic diameter () | |
| The friction factor | |
| The mass flow of working fluid () | |
| () | |
| The turbulence intensity | |
| k | Turbulent kinetic energy () |
| The length of flow direction () | |
| The Nusselt number | |
| P | () |
| Performance evaluation criterion | |
| Prandtl number | |
| The total rate of heat transfer () | |
| The Reynolds number | |
| The temperature of the outlet () | |
| The temperature of the inlet () | |
| The temperature of wall () | |
| Temperature of the working fluid () | |
| T () | |
| T () | |
| T () | |
| T () | |
| Volume of working fluid () |
Greek Symbols
| The pressure drops between the inlet and outlet () | |
| () | |
| Dissipation rate of turbulent kinetic energy of the k- model () | |
| () | |
| Dynamic viscosity () | |
| Kinematic viscosity () | |
| Density of working fluid () |
Subscripts
References
- Sheikholeslami, M.; Gorji-Bandpy, M.; Ganji, D.D. Review of heat transfer enhancement methods: Focus on passive methods using swirl flow devices. Renew. Sustain. Energy Rev. 2015, 49, 444–469. [Google Scholar] [CrossRef]
- Liu, S.; Sakr, M. A comprehensive review on passive heat transfer enhancements in pipe exchangers. Renew. Sustain. Energy Rev. 2013, 19, 64–81. [Google Scholar] [CrossRef]
- Eiamsa-ard, S.; Changcharoen, W.; Beigzadeh, R.; Eiamsa-ard, P.; Wongcharee, K.; Chuwattanakul, V. Influence of co/counter arrangements of multiple twisted-tape bundles on heat transfer intensification. Chem. Eng. Process.-Process Intensif. 2021, 160, 108304. [Google Scholar] [CrossRef]
- Manglik, R.; Bergles, A. Heat transfer and pressure drop correlations for twisted-tape inserts in isothermal tubes: Part I—laminar flows. Trans.-Am. Soc. Mech. Eng. J. Heat Transf. 1993, 115, 881–889. [Google Scholar] [CrossRef]
- Manglik, R.M.; Bergles, A.E. Heat transfer and pressure drop correlations for twisted-tape inserts in isothermal tubes: Part II—Transition and turbulent flow. J. Heat Transf. 1993, 115, 890–896. [Google Scholar] [CrossRef]
- Saha, S.K.; Dutta, A.; Dhal, S.K. Friction and heat transfer characteristics of laminar swirl flow through a circular tube fitted with regularly spaced twisted-tape elements. Int. J. Heat Mass Transf. 2001, 44, 4211–4223. [Google Scholar] [CrossRef]
- Wongcharee, K.; Eiamsa-Ard, S. Friction and heat transfer characteristics of laminar swirl flow through the round tubes inserted with alternate clockwise and counter-clockwise twisted-tapes. Int. Commun. Heat Mass Transf. 2011, 38, 348–352. [Google Scholar] [CrossRef]
- Dang, W.; Wang, L. Convective heat transfer enhancement mechanisms in circular tube inserted with a type of twined coil. Int. J. Heat Mass Transf. 2021, 169, 120960. [Google Scholar] [CrossRef]
- Sharifi, K.; Sabet, M.; Rafiei, M.; Mohammadi, A.H.; Ghaffari, A.; Asl, M.H.; Yousefi, H. A good contribution of computational fluid dynamics (CFD) and GA-ANN methods to find the best type of helical wire inserted tube in heat exchangers. Int. J. Therm. Sci. 2020, 154, 106398. [Google Scholar] [CrossRef]
- Chiou, J. Experimental investigation of the augmentation of forced convection heat transfer in a circular tube using spiral spring inserts. J. Heat Transf. 1987, 109, 300–307. [Google Scholar] [CrossRef]
- Yu, C.; Zhang, H.; Youqiang Wang, M.Z.; Gao, B. Numerical study on turbulent heat transfer performance of twisted oval tube with different cross sectioned wire coil. Case Stud. Therm. Eng. 2020, 22, 100759. [Google Scholar] [CrossRef]
- Keklikcioglu, O.; Ozceyhan, V. Entropy generation analysis for a circular tube with equilateral triangle cross sectioned coiled-wire inserts. Energy 2017, 139, 65–75. [Google Scholar] [CrossRef]
- Promvonge, P.; Skullong, S.; Kwankaomeng, S.; Thiangpong, C. Heat transfer in square duct fitted diagonally with angle-finned tape—Part 1: Experimental study. Int. Commun. Heat Mass Transf. 2012, 39, 617–624. [Google Scholar] [CrossRef]
- Tandiroglu, A. Effect of flow geometry parameters on transient heat transfer for turbulent flow in a circular tube with baffle inserts. Int. J. Heat Mass Transf. 2006, 49, 1559–1567. [Google Scholar] [CrossRef]
- Liou, T.; Chen, C.; Wang, C.; Wang, E. Thermal-fluidic correlations for turbulent flow in a serpentine heat exchanger with novel wing-shaped turbulators. Int. J. Heat Mass Transf. 2020, 160, 120220. [Google Scholar] [CrossRef]
- Skullong, S.; Promvonge, P.; Thianpong, C.; Jayranaiwachira, N. Thermal behaviors in a round tube equipped with quadruple perforated-delta-winglet pairs. Appl. Therm. Eng. 2017, 115, 229–243. [Google Scholar] [CrossRef]
- Promvonge, P.; Skullong, S. Thermo-hydraulic performance in heat exchanger tube with V-shaped winglet vortex generator. Appl. Therm. Eng. 2020, 164, 114424. [Google Scholar] [CrossRef]
- Wang, W.; Shuai, Y.; Ding, L.; Li, B.; Sundén, B. Investigation of complex flow and heat transfer mechanism in multi-tube heat exchanger with different arrangement corrugated tube. Int. J. Therm. Sci. 2021, 167, 107010. [Google Scholar] [CrossRef]
- Tan, X.-H.; Zhu, D.-S.; Zhou, G.-Y.; Yang, L. 3D numerical simulation on the shell side heat transfer and pressure drop performances of twisted oval tube heat exchanger. Int. J. Heat Mass Transf. 2013, 65, 244–253. [Google Scholar] [CrossRef]
- Talib, R.N.; Yasin, N.J.; Nasser, M.A. The effect of external helical ribs tube on the heat transfer and pressure drop performance for multi-tube heat exchanger. IOP Conf. Ser. Mater. Sci. Eng. 2019, 518, 032015. [Google Scholar] [CrossRef]
- Hong, Y.; Du, J.; Wang, S.; Huang, S. Heat transfer and flow behaviors of a wavy corrugated tube. Appl. Therm. Eng. 2017, 126, 151–166. [Google Scholar] [CrossRef]
- Liu, J.J.; Liu, Z.C.; Liu, W. 3D numerical study on shell side heat transfer and flow characteristics of rod-baffle heat exchangers with spirally corrugated tubes. Int. J. Therm. Sci. 2015, 89, 34–42. [Google Scholar] [CrossRef]
- Jia, H.; Liu, W.; Liu, Z. Enhancing convective heat transfer based on minimum power consumption principle. Chem. Eng. Sci. 2012, 69, 225–230. [Google Scholar] [CrossRef]
- Liu, W.; Jia, H.; Liu, Z.C.; Fang, H.S.; Yang, K. The approach of minimum heat consumption and its applications in convective heat transfer optimization. Int. J. Heat Mass Transf. 2013, 57, 389–396. [Google Scholar] [CrossRef]
- Jia, H.; Liu, Z.C.; Liu, W.; Nakayama, A. Convective heat transfer optimization based on minimum entransy dissipation in the circular tube. Int. J. Heat Mass Transf. 2014, 73, 124–129. [Google Scholar] [CrossRef]
- Chamoli, S.; Zhuang, X.; Pant, P.K.; Yu, P. Heat transfer in a turbulent flow tube integrated with tori as vortex generator inserts. Appl. Therm. Eng. 2021, 194, 117062. [Google Scholar] [CrossRef]
- Promvonge, P.; Promthaisong, P.; Skullong, S. Thermal performance augmentation in round tube with louvered V-winglet vortex generator. Int. J. Heat Mass Transf. 2022, 182, 121913. [Google Scholar] [CrossRef]
- Habchi, C.; Harion, J.-L. Residence time distribution and heat transfer in circular pipe fitted with longitudinal rectangular wings. Int. J. Heat Mass Transf. 2014, 74, 13–24. [Google Scholar] [CrossRef]
- Ali, S.; Habchi, C.; Menanteau, S.; Lemenand, T.; Harion, J.-L. Three-dimensional numerical study of heat transfer and mixing enhancement in a circular pipe using self-sustained oscillating flexible vorticity generators. Chem. Eng. Sci. 2017, 162, 152–174. [Google Scholar] [CrossRef]
- Zheng, N.; Liu, W.; Liu, Z.; Liu, P.; Shan, F. A numerical study on heat transfer enhancement and the flow structure in a heat exchanger tube with discrete double inclined ribs. Appl. Therm. Eng. 2015, 90, 232–241. [Google Scholar] [CrossRef]
- Zheng, N.; Liu, P.; Shan, F.; Liu, Z.; Liu, W. Heat transfer enhancement in a novel internally grooved tube by generating longitudinal swirl flows with multi-vortexes. Appl. Therm. Eng. 2016, 95, 421–432. [Google Scholar] [CrossRef]
- Deshmukh, P.W.; Vedula, R.P. Heat transfer and friction factor characteristics of turbulent flow through a circular tube fitted with vortex generator inserts. Int. J. Heat Mass Transf. 2014, 79, 551–560. [Google Scholar] [CrossRef]
- Deshmukh, P.W.; Prabhu, S.V.; Vedula, R.P. Heat transfer enhancement for laminar flow in tubes using curved delta wing vortex generator inserts. Appl. Therm. Eng. 2016, 106, 1415–1426. [Google Scholar] [CrossRef]
- Khoshvaght-Aliabadi, M.; Sartipzadeh, O.; Alizadeh, A. An experimental study on vortex-generator insert with different arrangements of delta-winglets. Energy 2015, 82, 629–639. [Google Scholar] [CrossRef]
- Khoshvaght-Aliabadi, M.; Shabanpour, H.; Alizadeh, A.; Sartipzadeh, O. Experimental assessment of different inserts inside straight tubes: Nanofluid as working media. Chem. Eng. Process. Process Intensif. 2015, 97, 1–11. [Google Scholar] [CrossRef]
- Khoshvaght-Aliabadi, M.; Akbari, M.H.; Hormozi, F. An empirical study on vortex-generator insert fitted in tubular heat exchangers with dilute Cu–water nanofluid flow. Chin. J. Chem. Eng. 2016, 24, 728–736. [Google Scholar] [CrossRef]
- Sun, Z.; Chen, Q.; Zheng, N. Experimental and numerical studies of intensified turbulent heat transfer in round pipes with curved wing vortex generators. Int. J. Heat Mass Transf. 2021, 180, 121823. [Google Scholar] [CrossRef]
- Menter, F.R. Two-Equation Eddy-Viscosity Turbulence Models for Engineering Applications. AIAA J. 1994, 32, 1598–1605. [Google Scholar] [CrossRef] [Green Version]
- Bharadwaj, P.; Khondge, A.D.; Date, A.W. Heat transfer and pressure drop in a spirally grooved tube with twisted tape insert. Int. J. Heat Mass Transf. 2009, 52, 1938–1944. [Google Scholar] [CrossRef]
- Webb, R. Performance evaluation criteria for use of enhanced heat transfer surfaces in heat exchanger design. Int. J. Heat Mass Transf. 1981, 24, 715–726. [Google Scholar] [CrossRef]
- Cheraghi, M.H.; Ameri, M.; Shahabadi, M. Numerical study on the heat transfer enhancement and pressure drop inside deep dimpled tubes. Int. J. Heat Mass Transf. 2020, 147, 118845. [Google Scholar] [CrossRef]
- Fluent; Version 6; ANSYS Inc.: Canonsburg, PA, USA, 2009.
- Bergman, T.L.; Incropera, F.P.; Lavine, A.S.; Dewitt, D.P. Introduction to Heat Transfer; John Wiley & Sons: Hoboken, NJ, USA, 2011. [Google Scholar]
- Zhang, K.; Sun, Z.; Zheng, N.; Chen, Q. Effects of the configuration of winglet vortex generators on turbulent heat transfer enhancement in circular tubes. Int. J. Heat Mass Transf. 2020, 157, 119928. [Google Scholar] [CrossRef]
- Wang, Q.W.; Lin, M.; Zeng, M. Effect of lateral fin profiles on turbulent flow and heat transfer performance of internally finned tubes. Appl. Therm. Eng. 2009, 29, 3006–3013. [Google Scholar] [CrossRef]
- Bilen, K.; Cetin, M.; Gul, H.; Balta, T. The investigation of groove geometry effect on heat transfer for internally grooved tubes. Appl. Therm. Eng. 2009, 29, 753–761. [Google Scholar] [CrossRef]
- Eiamsa-ard, S.; Thianpong, C.; Eiamsa-ard, P.; Promvonge, P. Convective heat transfer in a circular tube with short-length twisted tape insert. Int. Commun. Heat Mass Transf. 2009, 36, 365–371. [Google Scholar] [CrossRef]
- Promvonge, P. Thermal performance in circular tube fitted with coiled square wires. Energy Convers. Manag. 2008, 49, 980–987. [Google Scholar] [CrossRef]

















| Tube Parameters | Unit | Value |
|---|---|---|
| Inner diameter of the tube (Di) | mm | 14.3 |
| Outer diameter of the tube (Do) | mm | 15.8 |
| Tube length (L) | mm | 814 |
| RWVGs geometry | ||
| Height (H) | mm | 0.3, 0.5, 0.7 |
| Width (W) | mm | 2 |
| Number (N) | 10, 15, 20 | |
| Angle (α) | 45, 90, 135 | |
| Thickness (T) | mm | 1 |
| Thermo-Physical Properties | Value |
|---|---|
| 998.2 kg/m3 | |
| μ | 0.6 W/(m·K) |
| λ | 1.003 × 10−3 kg/(m·s) |
| c | 4182 J/(kg·K) |
| Total Element Number | Nu | f |
|---|---|---|
| 6,032,861 | 50.11 | 0.0331 |
| 8,204,582 | 50.94 | 0.0338 |
| 11,277,684 | 51.83 | 0.0349 |
| 13,765,576 | 51.92 | 0.0351 |
| 15,538,497 | 51.98 | 0.0352 |
Publisher’s Note: MDPI stays neutral with regard to jurisdictional claims in published maps and institutional affiliations. |
© 2021 by the authors. Licensee MDPI, Basel, Switzerland. This article is an open access article distributed under the terms and conditions of the Creative Commons Attribution (CC BY) license (https://creativecommons.org/licenses/by/4.0/).
Share and Cite
Li, Y.; Qian, Z.; Wang, Q. Numerical Analysis on Thermohydraulic Performance of the Tube Inserted with Rectangular Winglet Vortex Generators. Energies 2022, 15, 179. https://doi.org/10.3390/en15010179
Li Y, Qian Z, Wang Q. Numerical Analysis on Thermohydraulic Performance of the Tube Inserted with Rectangular Winglet Vortex Generators. Energies. 2022; 15(1):179. https://doi.org/10.3390/en15010179
Chicago/Turabian StyleLi, Yicong, Zuoqin Qian, and Qiang Wang. 2022. "Numerical Analysis on Thermohydraulic Performance of the Tube Inserted with Rectangular Winglet Vortex Generators" Energies 15, no. 1: 179. https://doi.org/10.3390/en15010179
APA StyleLi, Y., Qian, Z., & Wang, Q. (2022). Numerical Analysis on Thermohydraulic Performance of the Tube Inserted with Rectangular Winglet Vortex Generators. Energies, 15(1), 179. https://doi.org/10.3390/en15010179

