Novel Multi-Time Scale Deep Learning Algorithm for Solar Irradiance Forecasting
Abstract
1. Introduction
2. Materials and Methods
2.1. Proposed Multi-Time Scale Forecasting
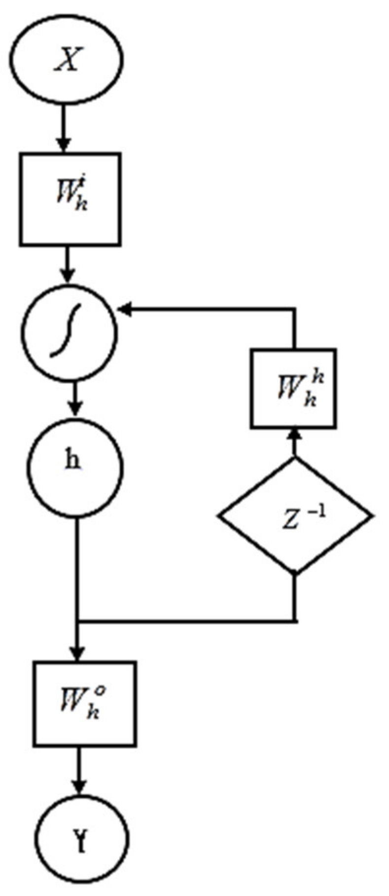
2.2. Recurrent Neural Network
2.3. LSTM Deep Learning Model
2.4. Chicken Swarm Optimization Algorithm—An Overview
2.5. Grey Wolf Optimizer Algorithm—An Overview
2.6. Proposed Hybrid CSO-GWO Optimization Algorithm
| Algorithm 1 Proposed hybrid CSO-GWO optimizer |
| 1: Initialize the population of rooster, hen and chicks of CSO 2: Initialize the population of alpha, beta, delta wolves of GWO 3: Initialize r1, r2, FL, R(.), a 4: while (MSE = 10–5 || Max_iter = 700) 5: { 6: for all individual in population 7: { 8: do 9: Evaluate the fitness value of all swarm in the population 10: Update the position of , and wolves in the population is updated as 11: 12: 13: 14: Update position of rooster, hen and chick as, 15: 16: 17: 18: } 19: end for 20: } 21: end while 22: return the evaluated fitness value 23: return the iter_no 24: return MSE |
- Step 1: The population of rooster, hen, and the chicks of CSO algorithm are initialized.
- Step 2: The population of alpha, beta and delta wolves of the grey wolf optimization algorithm is initialized.
- Step 3: Until stopping criteria is attained, the fitness function is evaluated for the entire population. Based on the fitness value obtained, the position of chicks and hens are updated.
- Step 4: Steps 2 to 4 is repeated until the stopping criteria of the maximum number of iterations or minimum MSE order of 10−5 are attained.
- Step 5: The fitness value and the corresponding MSE is returned.
3. Results
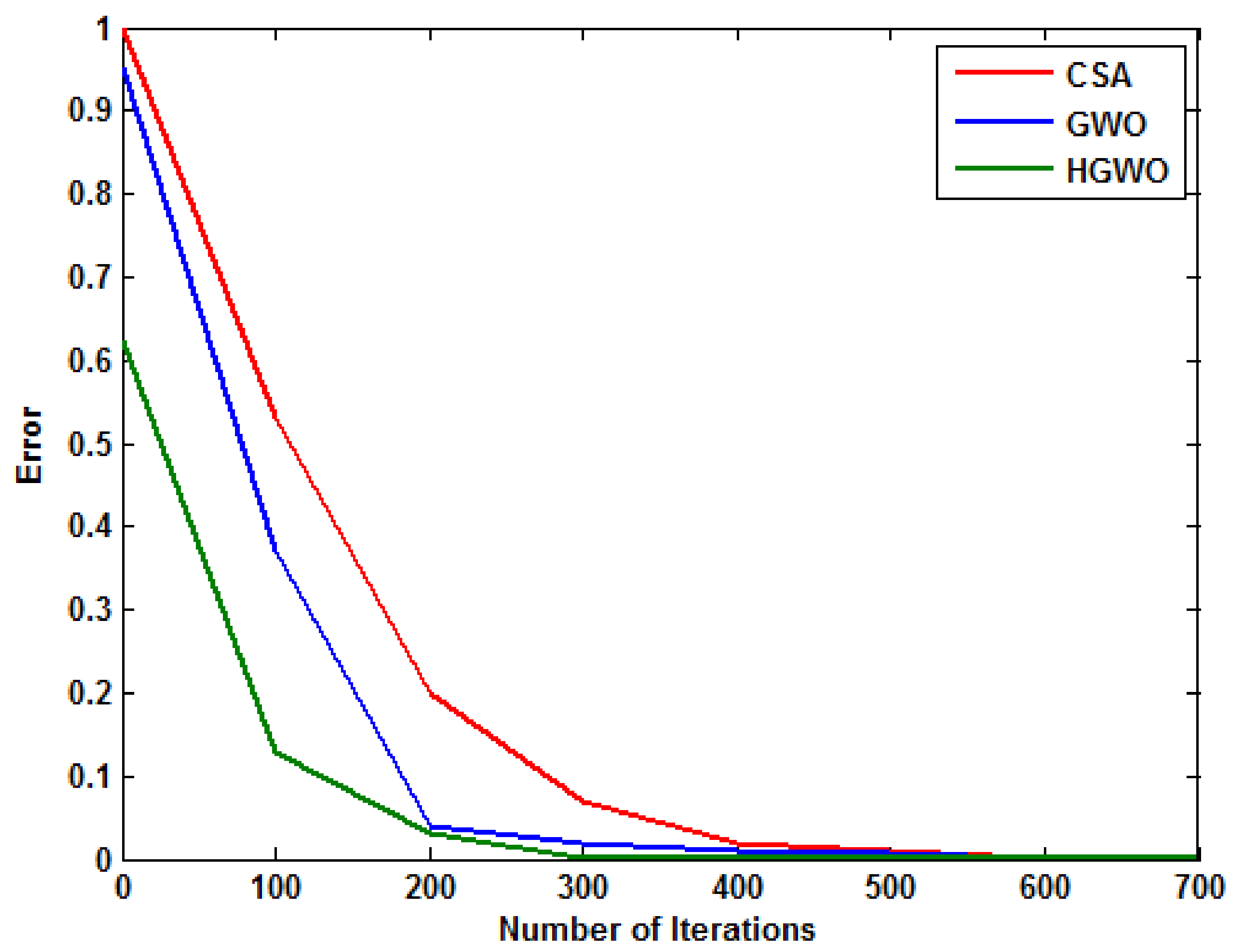
3.1. Performance of CSO Algorithm
3.2. Performance of GWO Optimization Algorithm
3.3. Performance of Hybrid CSO-GWO Optimization Algorithm
3.4. Comparative Analysis with Existing Works of Literature
4. Conclusions
Author Contributions
Funding
Institutional Review Board Statement
Data Availability Statement
Acknowledgments
Conflicts of Interest
References
- Gielen, D.; Boshell, F.; Saygin, D.; Bazilian, M.D.; Wagner, N.; Gorini, R. The role of renewable energy in the global energy transformation. Energy Strategy Rev. 2019, 24, 38–50. [Google Scholar] [CrossRef]
- Kabir, E.; Kumar, P.; Kumar, S.; Adelodun, A.A.; Kim, K.H. Solar energy: Potential and future prospects. Renew. Sustain. Energy Rev 2018, 82, 894–900. [Google Scholar] [CrossRef]
- Shahsavari, A.; Akbari, M. Potential of solar energy in developing countries for reducing energy-related emissions. Renew. Sustain. Energy Rev. 2018, 90, 275–291. [Google Scholar] [CrossRef]
- Hosseini, S.E.; Wahid, M.A. Hydrogen from solar energy, a clean energy carrier from a sustainable source of energy. Int. J. Energy Res. 2020, 44, 4110–4131. [Google Scholar] [CrossRef]
- Khalid, M.; Shanks, K.; Ghosh, A.; Tahir, A.; Sundaram, S.; Mallick, T.K. Temperature regulation of concentrating photovoltaic window using argon gas and polymer dispersed liquid crystal fi lms. Renew. Energy 2021, 164, 96–108. [Google Scholar] [CrossRef]
- Mesloub, A.; Ghosh, A.; Albaqawy, G.A.; Noaime, E.; Alsolami, B.M. Energy and Daylighting Evaluation of Integrated Semitransparent Photovoltaic Windows with Internal Light Shelves in Open-Office Buildings. Adv. Civ. Eng. 2020, 2020. [Google Scholar] [CrossRef]
- Alrashidi, H.; Issa, W.; Sellami, N.; Ghosh, A.; Mallick, T.K.; Sundaram, S. Performance assessment of cadmium telluride-based semi-transparent glazing for power saving in façade buildings. Energy Build. 2020, 215, 109585. [Google Scholar] [CrossRef]
- Karthick, A.; Kalidasa Murugavel, K.; Ghosh, A.; Sudhakar, K.; Ramanan, P. Investigation of a binary eutectic mixture of phase change material for building integrated photovoltaic (BIPV) system. Sol. Energy Mater. Sol. Cells 2020, 207. [Google Scholar] [CrossRef]
- Ramanan, P.; Kalidasa Murugavel, K.; Karthick, A. Performance analysis and energy metrics of grid-connected photovoltaic systems. Energy Sustain. Dev. 2019, 52, 104–115. [Google Scholar] [CrossRef]
- Pichandi, R.; Murugavel Kulandaivelu, K.; Alagar, K.; Dhevaguru, H.K.; Ganesamoorthy, S. Performance enhancement of photovoltaic module by integrating eutectic inorganic phase change material. Energy Sources Part A Recover. Util. Environ. Eff. 2020. [Google Scholar] [CrossRef]
- Ghosh, A.; Norton, B.; Mallick, T.K. Influence of atmospheric clearness on PDLC switchable glazing transmission. Renew. Energy 2018, 172, 257–264. [Google Scholar] [CrossRef]
- Ghosh, A.; Norton, B. Optimization of PV powered SPD switchable glazing to minimise probability of loss of power supply. Renew. Energy 2019, 131, 993–1001. [Google Scholar] [CrossRef]
- Mesloub, A.; Ghosh, A. Daylighting performance of light shelf photovoltaics (LSPV) for office buildings in hot desert-like regions. Appl. Sci. 2020, 10, 7959. [Google Scholar] [CrossRef]
- Miller, S.D.; Rogers, M.A.; Haynes, J.M.; Sengupta, M.; Heidinger, A.K. Short-term solar irradiance forecasting via satellite/model coupling. Sol. Energy 2018, 168, 102–117. [Google Scholar] [CrossRef]
- Diagne, M.; David, M.; Lauret, P.; Boland, J.; Schmutz, N. Review of solar irradiance forecasting methods and a proposition for small-scale insular grids. Renew. Sustain. Energy Rev. 2013, 27, 65–76. [Google Scholar] [CrossRef]
- Akarslan, E.; Hocaoglu, F.O. A novel method based on similarity for hourly solar irradiance forecasting. Renew. Energy 2017, 112, 337–346. [Google Scholar] [CrossRef]
- Zeng, X.; Hammid, A.T.; Kumar, N.M.; Subramaniam, U.; Almakhles, D.J. A grasshopper optimization algorithm for optimal short-term hydrothermal scheduling. Energy Rep. 2021, 7, 314–323. [Google Scholar] [CrossRef]
- Akarslan, E.; Hocaoglu, F.O.; Edizkan, R. Novel short term solar irradiance forecasting models. Renew. Energy 2018, 123, 58–66. [Google Scholar] [CrossRef]
- Balasubramanian, K.; Thanikanti, S.B.; Subramaniam, U.N.; Sudhakar, N.; Sichilalu, S. A novel review on optimization techniques used in wind farm modelling. Renew. Energy Focus 2020, 35, 84–96. [Google Scholar] [CrossRef]
- Marzouq, M.; El Fadili, H.; Zenkouar, K.; Lakhliai, Z.; Amouzg, M. Short term solar irradiance forecasting via a novel evolutionary multi-model framework and performance assessment for sites with no solar irradiance data. Renew. Energy 2020, 157, 214–231. [Google Scholar] [CrossRef]
- Yin, W.; Han, Y.; Zhou, H.; Ma, M.; Li, L.; Zhu, H. A novel non-iterative correction method for short-term photovoltaic power forecasting. Renew. Energy 2020, 159, 23–32. [Google Scholar] [CrossRef]
- Madurai Elavarasan, R.; Afridhis, S.; Vijayaraghavan, R.R.; Subramaniam, U.; Nurunnabi, M. SWOT analysis: A framework for comprehensive evaluation of drivers and barriers for renewable energy development in significant countries. Energy Rep. 2020, 6, 1838–1864. [Google Scholar] [CrossRef]
- Dong, N.; Chang, J.F.; Wu, A.G.; Gao, Z.K. A novel convolutional neural network framework based solar irradiance prediction method. Int. J. Electr. Power Energy Syst. 2020, 114. [Google Scholar] [CrossRef]
- Yan, K.; Shen, H.; Wang, L.; Zhou, H.; Xu, M.; Mo, Y. Short-term solar irradiance forecasting based on a hybrid deep learning methodology. Information 2020, 11, 32. [Google Scholar] [CrossRef]
- Mahmoudimehr, J.; Sebghati, P. A novel multi-objective Dynamic Programming optimization method: Performance management of a solar thermal power plant as a case study. Energy 2019, 168, 796–814. [Google Scholar] [CrossRef]
- Lotfi, M.; Javadi, M.; Osório, G.J.; Monteiro, C.; Catalão, J.P.S. A novel ensemble algorithm for solar power forecasting based on kernel density estimation. Energies 2020, 13, 216. [Google Scholar] [CrossRef]
- Zang, H.; Liu, L.; Sun, L.; Cheng, L.; Wei, Z.; Sun, G. Short-term global horizontal irradiance forecasting based on a hybrid CNN-LSTM model with spatiotemporal correlations. Renew. Energy 2020, 160, 26–41. [Google Scholar] [CrossRef]
- Lee, D.; Kim, K. Recurrent neural network-based hourly prediction of photovoltaic power output using meteorological information. Energies 2019, 12, 215. [Google Scholar] [CrossRef]
- Cheng, L.; Zang, H.; Ding, T.; Sun, R.; Wang, M.; Wei, Z.; Sun, G. Ensemble recurrent neural network based probabilistic wind speed forecasting approach. Energies 2018, 11, 958. [Google Scholar] [CrossRef]
- Wang, Y.; Liao, W.; Chang, Y. Gated recurrent unit network-based short-term photovoltaic forecasting. Energies 2018, 11, 2163. [Google Scholar] [CrossRef]
- Wen, L.; Zhou, K.; Yang, S.; Lu, X. Optimal load dispatch of community microgrid with deep learning based solar power and load forecasting. Energy 2019, 171, 1053–1065. [Google Scholar] [CrossRef]
- Li, G.; Wang, H.; Zhang, S.; Xin, J.; Liu, H. Recurrent neural networks based photovoltaic power forecasting approach. Energies 2019, 12, 2538. [Google Scholar] [CrossRef]
- Husein, M.; Chung, I.Y. Day-ahead solar irradiance forecasting for microgrids using a long short-term memory recurrent neural network: A deep learning approach. Energies 2019, 12, 1856. [Google Scholar] [CrossRef]
- Di Piazza, A.; Di Piazza, M.C.; La Tona, G.; Luna, M. An artificial neural network-based forecasting model of energy-related time series for electrical grid management. Math. Comput. Simul. 2021, 184, 294–305. [Google Scholar] [CrossRef]
- Jung, Y.; Jung, J.; Kim, B.; Han, S.U. Long short-term memory recurrent neural network for modeling temporal patterns in long-term power forecasting for solar PV facilities: Case study of South Korea. J. Clean. Prod. 2020, 250, 119476. [Google Scholar] [CrossRef]
- Wu, Z.; Li, Q.; Xia, X. Multi-timescale Forecast of Solar Irradiance Based on Multi-task Learning and Echo State Network Approaches. IEEE Trans. Ind. Inform. 2021, 17, 300–310. [Google Scholar] [CrossRef]
- Wang, F.; Yu, Y.; Zhang, Z.; Li, J.; Zhen, Z.; Li, K. Wavelet decomposition and convolutional LSTM networks based improved deep learning model for solar irradiance forecasting. Appl. Sci. 2018, 8, 1286. [Google Scholar] [CrossRef]
- Qing, X.; Niu, Y. Hourly day-ahead solar irradiance prediction using weather forecasts by LSTM. Energy 2018, 148, 461–468. [Google Scholar] [CrossRef]
- Li, J.; Ward, J.K.; Tong, J.; Collins, L.; Platt, G. Machine learning for solar irradiance forecasting of photovoltaic system. Renew. Energy 2016, 90, 542–553. [Google Scholar] [CrossRef]
- Alzahrani, A.; Shamsi, P.; Dagli, C.; Ferdowsi, M. Solar Irradiance Forecasting Using Deep Neural Networks. Procedia Comput. Sci. 2017, 114, 304–313. [Google Scholar] [CrossRef]
- Siddiqui, T.A.; Bharadwaj, S.; Kalyanaraman, S. A deep learning approach to solar-irradiance forecasting in sky-videos. In Proceedings of the 2019 IEEE Winter Conference on Applications of Computer Vision (WACV), Waikoloa, HI, USA, 7–11 January 2019; pp. 2166–2174. [Google Scholar] [CrossRef]
- Khodayar, M.; Mohammadi, S.; Khodayar, M.E.; Wang, J.; Liu, G. Convolutional graph autoencoder: A generative deep neural network for probabilistic spatio-temporal solar irradiance forecasting. IEEE Trans. Sustain. Energy 2020, 11, 571–583. [Google Scholar] [CrossRef]
- Sharma, A.; Kakkar, A. Forecasting daily global solar irradiance generation using machine learning. Renew. Sustain. Energy Rev. 2018, 82, 2254–2269. [Google Scholar] [CrossRef]
- Ssekulima, E.B.; Anwar, M.B.; Al Hinai, A.; El Moursi, M.S. Wind speed and solar irradiance forecasting techniques for enhanced renewable energy integration with the grid: A review. IET Renew. Power Gener. 2016, 10, 885–898. [Google Scholar] [CrossRef]
- Wang, W.; Zhen, Z.; Li, K.; Lv, K.; Wang, F. An Ultra-short-term Forecasting Model for High-resolution Solar Irradiance Based on SOM and Deep Learning Algorithm. In Proceedings of the 2019 IEEE Sustainable Power and Energy Conference (iSPEC), Beijing, China, 21–23 November 2019; pp. 1090–1095. [Google Scholar] [CrossRef]
- Dong, Z.; Yang, D.; Reindl, T.; Walsh, W.M. A novel hybrid approach based on self-organizing maps, support vector regression and particle swarm optimization to forecast solar irradiance. Energy 2015, 82, 570–577. [Google Scholar] [CrossRef]
- Wojtkiewicz, J.; Katragadda, S.; Gottumukkala, R. A Concept-Drift Based Predictive-Analytics Framework: Application for Real-Time Solar Irradiance Forecasting. In Proceedings of the 2018 IEEE International Conference on Big Data (Big Data), Seattle, WA, USA, 10–13 December 2019; pp. 5462–5464. [Google Scholar] [CrossRef]
- Wang, F.; Zhen, Z.; Liu, C.; Mi, Z.; Shafie-Khah, M.; Catalão, J.P.S. Time-section fusion pattern classification based day-ahead solar irradiance ensemble forecasting model using mutual iterative optimization. Energies 2018, 11, 184. [Google Scholar] [CrossRef]
- Peng, Z.; Peng, S.; Fu, L.; Lu, B.; Tang, J.; Wang, K.; Li, W. A novel deep learning ensemble model with data denoising for short-term wind speed forecasting. Energy Convers. Manag. 2020, 207, 112524. [Google Scholar] [CrossRef]
- Kartini, U.T.; Chen, C.R. Short Term Forecasting of Global Solar Irradiance by k-Nearest Neighbor Multilayer Backpropagation Learning Neural Network Algorithm. In Proceedings of the International Conference on Graphics and Signal Processing (ICGSP ’17), Singapore, Singapore, 24–27 June 2017; Association for Computing Machinery: New York, NY, USA, 2017; pp. 96–100. [Google Scholar] [CrossRef]
- Ren, Y.; Suganthan, P.N.; Srikanth, N. Ensemble methods for wind and solar power forecasting—A state-of-the-art review. Renew. Sustain. Energy Rev. 2015, 50, 82–91. [Google Scholar] [CrossRef]
- Aryaputera, A.W.; Yang, D.; Walsh, W.M. Day-Ahead Solar Irradiance Forecasting in a Tropical Environment. J. Sol. Energy Eng. Trans. ASME 2015, 137, 1–7. [Google Scholar] [CrossRef]
- Melzi, F.N.; Touati, T.; Same, A.; Oukhellou, L. Hourly solar irradiance forecasting based on machine learning models. In Proceedings of the 2016 15th IEEE International Conference on Machine Learning and Applications (ICMLA), Anaheim, CA, USA, 18–20 December 2017; pp. 441–446. [Google Scholar] [CrossRef]
- Rajagukguk, R.A.; Ramadhan, R.A.; Lee, H.J. A Review on Deep Learning Models for Forecasting Time Series Data of Solar Irradiance and Photovoltaic Power. Energies 2020, 13, 6623. [Google Scholar] [CrossRef]
- Photovoltaic Geographical Information System. Available online: https://re.jrc.ec.europa.eu/pvg_tools/en/#MR (accessed on 4 December 2020).










| Reference | Methodology Employed | Metric Results (MSE) |
|---|---|---|
| [22] | DRNN-LSTM | 0.0754 |
| [27] | CNN-LSTM | 0.4188 |
| [31] | Deep LSTM | 0.6031 |
| [35] | DWT-CNN-LSTM | 0.6210 |
| [36] | LSTM | 0.7624 |
| [33] | LSTM RNN | 0.086 |
| [50] | GRU | 0.9835 |
| Time Scale | Multi Time Scale Forecasting | Individual Time Scale Forecasting | ||||
|---|---|---|---|---|---|---|
| MSE (W/m2) | MAPE (W/m2) | DA | MSE (W/m2) | MAPE (W/m2) | DA | |
| LSTM Model | ||||||
| Hourly | 0.2392 | 0.3562 | 0.3189 | 0.3670 | 0.1249 | 0.1398 |
| Daily | 0.4326 | 0.4652 | 0.4206 | 0.3468 | 0.3135 | 0.3428 |
| Weekly | 0.3456 | 0.5521 | 0.5735 | 0.4021 | 0.4350 | 0.2352 |
| CSO-LSTM Model | ||||||
| Hourly | 0.2029 | 0.2312 | 0.2672 | 0.2561 | 0.1327 | 0.1245 |
| Daily | 0.3526 | 0.3032 | 0.3156 | 0.2451 | 0.1225 | 0.1135 |
| Weekly | 0.3256 | 0.4022 | 0.3235 | 0.1021 | 0.2350 | 0.2352 |
| GWO-LSTM Model | ||||||
| Hourly | 0.0051 | 0.1042 | 0.1502 | 0.0572 | 0.1163 | 0.0932 |
| Daily | 0.0616 | 0.2521 | 0.1693 | 0.0641 | 0.1075 | 0.1348 |
| Weekly | 0.2019 | 0.2442 | 0.2746 | 0.0921 | 0.1030 | 0.1052 |
| Hybrid CSO-GWO LSTM Model | ||||||
| Hourly | 3.412E-4 | 0.0310 | 2.71E-3 | 3.33E-4 | 0.0487 | 0.0198 |
| Daily | 5.208E-2 | 0.1582 | 0.0470 | 2.094E-3 | 0.0714 | 0.0634 |
| Weekly | 0.1018 | 0.1951 | 0.117 | 4.292E-3 | 0.1851 | 0.0218 |
| Ecostate Neural Network (ESO) [34] | ||||||
| Hourly | 6.0931E-3 | 0.2503 | 5.32E-2 | 4.021E-2 | 0.0992 | 0.0829 |
| Daily | 0.2920 | 0.3219 | 0.1960 | 0.0931 | 0.1101 | 0.1092 |
| Weekly | 0.3319 | 0.4093 | 0.5092 | 0.1311 | 0.5121 | 0.1739 |
| Particle Swarm Optimization—Support Vector Regression (PSO-SVR) [47] | ||||||
| Hourly | 0.1690 | 0.4109 | 0.2392 | 0.2024 | 0.3832 | 0.3854 |
| Daily | 0.2041 | 0.5375 | 0.3023 | 0.2453 | 0.4098 | 0.4903 |
| Weekly | 0.320 | 0.5809 | 0.4782 | 0.3239 | 0.5122 | 0.3219 |
| Gated Recurrent Unit (GRU) [50] | ||||||
| Hourly | 0.1292 | 0.2053 | 0.2590 | 0.3241 | 0.2893 | 0.1787 |
| Daily | 0.1345 | 0.2369 | 0.3190 | 0.4051 | 0.3278 | 0.2391 |
| Weekly | 0.2341 | 0.3251 | 0.4211 | 0.3921 | 0.4823 | 0.2676 |
| Model Under Study | Statistical Score | |
|---|---|---|
| r | R2 | |
| GWO-LSTM | 0.8768 | 0.7687 |
| CSO-LSTM | 0.9274 | 0.8601 |
| Hybrid CSO-GWO LSTM | 0.9865 | 0.9731 |
Publisher’s Note: MDPI stays neutral with regard to jurisdictional claims in published maps and institutional affiliations. |
© 2021 by the authors. Licensee MDPI, Basel, Switzerland. This article is an open access article distributed under the terms and conditions of the Creative Commons Attribution (CC BY) license (https://creativecommons.org/licenses/by/4.0/).
Share and Cite
Jayalakshmi, N.Y.; Shankar, R.; Subramaniam, U.; Baranilingesan, I.; Karthick, A.; Stalin, B.; Rahim, R.; Ghosh, A. Novel Multi-Time Scale Deep Learning Algorithm for Solar Irradiance Forecasting. Energies 2021, 14, 2404. https://doi.org/10.3390/en14092404
Jayalakshmi NY, Shankar R, Subramaniam U, Baranilingesan I, Karthick A, Stalin B, Rahim R, Ghosh A. Novel Multi-Time Scale Deep Learning Algorithm for Solar Irradiance Forecasting. Energies. 2021; 14(9):2404. https://doi.org/10.3390/en14092404
Chicago/Turabian StyleJayalakshmi, N. Yogambal, R. Shankar, Umashankar Subramaniam, I. Baranilingesan, Alagar Karthick, Balasubramaniam Stalin, Robbi Rahim, and Aritra Ghosh. 2021. "Novel Multi-Time Scale Deep Learning Algorithm for Solar Irradiance Forecasting" Energies 14, no. 9: 2404. https://doi.org/10.3390/en14092404
APA StyleJayalakshmi, N. Y., Shankar, R., Subramaniam, U., Baranilingesan, I., Karthick, A., Stalin, B., Rahim, R., & Ghosh, A. (2021). Novel Multi-Time Scale Deep Learning Algorithm for Solar Irradiance Forecasting. Energies, 14(9), 2404. https://doi.org/10.3390/en14092404

