An Industrial Scale, Mechanical Process for Improving Pellet Quality and Biogas Production from Hazelnut and Olive Pruning
Abstract
1. Introduction
2. Materials and Methods
2.1. Harvesting and Processing
2.2. Chemical and Elemental Composition Analysis
2.3. Particle Size Analysis
2.4. Heating Value
2.5. Anaerobic Digestion
3. Results and Discussion
3.1. Specific Energy Requirement
3.2. Characterization of the Biomasses
3.3. Biogas Yield and Quality
3.4. Higher and Lower Heating Values
4. Discussion
5. Conclusions
Author Contributions
Funding
Institutional Review Board Statement
Informed Consent Statement
Data Availability Statement
Conflicts of Interest
References
- Commission, E. Communication From the Commission To the Council and the European Parliament, Renewable energy road map-Renewable energies in the 21st century: Building a more sustainable future. COM 2006, 848, EUR-Lex-52006DC0848-EN-EUR-Lex. Available online: https://eur-lex.europa.eu/legal-content/HR/TXT/?uri=CELEX:52006DC0848 (accessed on 7 January 2021).
- Zambon, I.; Colosimo, F.; Monarca, D.; Cecchini, M.; Gallucci, F.; Proto, A.R.; Lord, R.; Colantoni, A. An innovative agro-forestry supply chain for residual biomass: Physicochemical characterisation of biochar from olive and hazelnut pellets. Energies 2016, 9, 526. [Google Scholar] [CrossRef]
- ARSIA. The Wood-Energy Chain. Final Results from the Interregional Project Woodland Energy; Regione Toscana: Firenze, Italy, 2009; ISBN 978-88-8295-106-1. (In Italian) [Google Scholar]
- Spinelli, R.; Picchi, G. Industrial harvesting of olive tree pruning residue for energy biomass. Bioresour. Technol. 2010, 101, 730–735. [Google Scholar] [CrossRef] [PubMed]
- Fedrizzi, M.; Sperandio, G.; Pagano, M.; Pochi, D.; Fanigliulo, R. A Prototype Machine for Harvesting and Chipping of Pruning Residues: First test on Hazelnut Plantation (Corylus avellana L.) A Prototype Machine for Harvesting and Chipping of Pruning Residues: First test on Hazelnut Plantation (Corylus avellana L.). Energy Biomass Biol. Residues. Int. Conf. Agric. Eng. CIGR AgEng Agric. Eng. Heal. Life Val. Spain 2012, 7, 1301. [Google Scholar]
- Bernetti, I.; Fagarazzi, C.; Fratini, R. A methodology to anaylse the potential development of biomass-energy sector: An application in Tuscany. For. Policy Econ. 2004, 6, 415–432. [Google Scholar] [CrossRef]
- Monarca, D.; Cecchini, M.; Colantoni, A.; Di Giacinto, S.; Marucci, A.; Longo, L. Assessment of the energetic potential by hazelnuts pruning in Viterbo?s area. J. Agric. Eng. 2013, 44, 10–13. [Google Scholar] [CrossRef][Green Version]
- Torquati, B.; Marino, D.; Venanzi, S.; Porceddu, P.R.; Chiorri, M. Using tree crop pruning residues for energy purposes: A spatial analysis and an evaluation of the economic and environmental sustainability. Biomass Bioenergy 2016, 95, 124–131. [Google Scholar] [CrossRef]
- Velázquez-Martí, B.; Fernández-González, E.; López-Cortés, I.; Salazar-Hernández, D.M. Quantification of the residual biomass obtained from pruning of trees in Mediterranean olive groves. Biomass Bioenergy 2011, 35, 3208–3217. [Google Scholar] [CrossRef]
- Garcia-Maraver, A.; Zamorano, M.; Fernandes, U.; Rabaçal, M.; Costa, M. Relationship between fuel quality and gaseous and particulate matter emissions in a domestic pellet-fired boiler. Fuel 2014, 119, 141–152. [Google Scholar] [CrossRef]
- Vega-Nieva, D.J.; Ortiz Torres, L.; Míguez Tabares, J.L.; Morán, J. Measuring and Predicting the Slagging of Woody and Herbaceous Mediterranean Biomass Fuels on a Domestic Pellet Boiler. Energy Fuels 2016, 30, 1085–1095. [Google Scholar] [CrossRef]
- Arranz, J.I.; Miranda, M.T.; Montero, I.; Sepúlveda, F.J.; Rojas, C.V. Characterization and combustion behaviour of commercial and experimental wood pellets in South West Europe. Fuel 2015, 142, 199–207. [Google Scholar] [CrossRef]
- Carvalho, L.; Wopienka, E.; Pointner, C.; Lundgren, J.; Verma, V.K.; Haslinger, W.; Schmidl, C. Performance of a pellet boiler fired with agricultural fuels. Appl. Energy 2013, 104, 286–296. [Google Scholar] [CrossRef]
- Picchi, G.; Silvestri, S.; Cristoforetti, A. Vineyard residues as a fuel for domestic boilers in Trento Province (Italy): Comparison to wood chips and means of polluting emissions control. Fuel 2013, 113, 43–49. [Google Scholar] [CrossRef]
- Lehtikangas, P. Quality properties of pelletised sawdust, logging residues and bark. Biomass Bioenergy 2001, 20, 351–360. [Google Scholar] [CrossRef]
- Samson, R.; Lem, C.H.; Stamler, S.B.; Dooper, J. Developing energy crops for thermal applications: Optimizing fuel quality, energy security and GHG mitigation. In Biofuels, Solar and Wind as Renewable Energy Systems: Benefits and Risks; Springer: Amsterdam, The Netherlands, 2008; pp. 395–423. ISBN 9781402086533. [Google Scholar]
- Bordelanne, O.; Montero, M.; Bravin, F.; Prieur-Vernat, A.; Oliveti-Selmi, O.; Pierre, H.; Papadopoulo, M.; Muller, T. Biomethane CNG hybrid: A reduction by more than 80% of the greenhouse gases emissions compared to gasoline. J. Nat. Gas. Sci. Eng. 2011, 3, 617–624. [Google Scholar] [CrossRef]
- Ministero dello sviluppo economico Decreto 10 ottobre 2014. Aggiornamento delle condizioni, dei criteri e delle modalità di attuazione dell’obbligo di immissione in consumo di biocarburanti compresi quelli avanzati. Gazz. Uff. Della Repubb. Ital. 2014, 250, 81–88. [Google Scholar]
- GSE Fonti Rinnovabili in Italia e nelle Regioni—Rapporto di Monitoraggio 2012–2018. Available online: https://www.gse.it/documenti_site/Documenti GSE/Rapporti statistici/Rapporto di Monitoraggio di cui al DM 11-5-15 art 7_anni 2012-2018.pdf (accessed on 30 January 2021).
- Serrano, A.; Fermoso, F.G.; Alonso-Fariñas, B.; Rodríguez-Gutiérrez, G.; López, S.; Fernandez-Bolaños, J.; Borja, R. Long-term evaluation of mesophilic semi-continuous anaerobic digestion of olive mill solid waste pretreated with steam-explosion. Energies 2019, 12, 2222. [Google Scholar] [CrossRef]
- Şenol, H. Biogas potential of hazelnut shells and hazelnut wastes in Giresun City. Biotechnol. Rep. 2019, 24, e00361. [Google Scholar] [CrossRef] [PubMed]
- Kabir, M.M.; Rajendran, K.; Taherzadeh, M.J.; Sárvári Horváth, I. Experimental and economical evaluation of bioconversion of forest residues to biogas using organosolv pretreatment. Bioresour. Technol. 2015, 178, 201–208. [Google Scholar] [CrossRef]
- Shafiei, M.; Karimi, K.; Zilouei, H.; Taherzadeh, M.J. Enhanced ethanol and biogas production from pinewood by NMMO pretreatment and detailed biomass analysis. Biomed. Res. Int. 2014. [Google Scholar] [CrossRef]
- Nitsos, C.; Matsakas, L.; Triantafyllidis, K.; Rova, U.; Christakopoulos, P. Evaluation of mediterranean agricultural residues as a potential feedstock for the production of biogas via anaerobic fermentation. Biomed. Res. Int. 2015, 2015. [Google Scholar] [CrossRef]
- Barakat, A.; de Vries, H.; Rouau, X. Dry fractionation process as an important step in current and future lignocellulose biorefineries: A review. Bioresour. Technol. 2013, 134, 362–373. [Google Scholar] [CrossRef] [PubMed]
- Pelgrom, P.J.M.; Vissers, A.M.; Boom, R.M.; Schutyser, M.A.I. Dry fractionation for production of functional pea protein concentrates. Food Res. Int. 2013, 53, 232–239. [Google Scholar] [CrossRef]
- Dell’Omo, P.; Luciani, F.; Preti, R.; Vinci, G. Hypercritical separation technology (HYST): A sustainable technology for agricultural by-products valorization. In Pathways to Environmental Sustainability: Methodologies and Experiences; Springer International Publishing: Berlin/Heidelberg, Germany, 2014; pp. 53–63. ISBN 9783319038261. [Google Scholar]
- Murthy, G.S.; Singh, V.; Johnston, D.B.; Rausch, K.D.; Tumbleson, M.E. Evaluation and Strategies to Improve Fermentation Characteristics of Modified Dry-Grind Corn Processes. Cereal Chem. J. 2006, 83, 455–459. [Google Scholar] [CrossRef]
- Papatheofanous, M.G.; Billa, E.; Koullas, D.P.; Monties, B.; Koukios, E.G. Optimizing Multisteps Mechanical-Chemical Fractionation of Wheat Straw Components. Ind. Crops Prod. 1998, 7, 249–256. [Google Scholar] [CrossRef]
- Manola, U. Biomass Crushing and Separating Device. 2010. Available online: https://patents.google.com/patent/US9266113B2/en (accessed on 15 January 2021).
- Rice, E.W.; Baird, R.B.; Eaton, A.D. Standard Methods for the Examination of Water and Wastewater, 23rd ed.; American Public Health Association: Washington, DC, USA, 2005; ISBN 9780875532875. [Google Scholar]
- ISO. ISO 16948:2015 Solid Biofuels—Determination of Total Content of Carbon, Hydrogen and Nitrogen. 2015. Available online: http://store.uni.com/catalogo/en-iso-16948-2015 (accessed on 19 January 2021).
- ASAE Methods for Determining and Expressing Fineness of Feed Materials by Sieving. 1995. Available online: https://elibrary.asabe.org/standards.asp (accessed on 19 January 2021).
- ISO. ISO 18125:2017-Solid Biofuels—Determination of Calorific Value. Available online: https://www.iso.org/standard/61517.html#:~:text=Solid%20biofuels%20%E2%80%94%20Determination%20of%20calorific%20value,Buy%20this%20standard&text=ISO%2018125%3A2017%20specifies%20a,combustion%20of%20certified%20benzoic%20acid. (accessed on 30 January 2021).
- Colantoni, A.; Longo, L.; Gallucci, F.; Monarca, D. Pyro-gasification of hazelnut pruning using a downdraft gasifier for concurrent production of syngas and biochar. Contemp. Eng. Sci. 2016, 9, 1339–1348. [Google Scholar] [CrossRef]
- Monarca, D.; Cecchini, M.; Colantoni, A. Plant for the Production of Chips and Pellet: Technical and Economic Aspects of an Case Study in the Central Italy. In Proceedings of the Lecture Notes in Computer Science (including subseries Lecture Notes in Artificial Intelligence and Lecture Notes in Bioinformatics), San Jose, CA, USA; 2011; Volume 6785, pp. 296–306. [Google Scholar]
- Boubaker, K.; de Franchi, M.; Colantoni, A.; Monarca, D.; Cecchini, M.; Longo, L.; Allegrini, E.; Di Giacinto, S.; Biondi, P.; Menghini, G. Prospective for hazelnut cultivation small energetic plants outcome in Turkey: Optimization and inspiration from an Italian model. Renew. Energy 2015, 74, 523–527. [Google Scholar] [CrossRef]
- Monarca, D.; Cecchini, M.; Guerrieri, M.; Colantoni, A. Conventional and alternative use of biomasses derived by hazelnut cultivation and processing. Acta Hortic. 2009, 845, 627–634. [Google Scholar] [CrossRef]
- Colantoni, A.; Paris, E.; Bianchini, L.; Ferri, S.; Marcantonio, V.; Carnevale, M.; Palma, A. Spent coffee ground characterization, pelletization test and emissions assessment in the combustion process. Sci. Rep. 2021, 1–14. [Google Scholar] [CrossRef]
- Lukáč, L.; Rimár, M.; Variny, M.; Kizek, J.; Lukáč, P.; Jablonskỳ, G.; Janošovskỳ, J.; Fedák, M. Experimental investigation of primary de-NOx methods application effects on NOx and CO emissions from a small-scale furnace. Processes 2020, 8. [Google Scholar] [CrossRef]
- ISO 17225-2:2014-Solid Biofuels-Fuel Specifications and Classes-Part 2: Graded Wood Pellets. 2014. Available online: http://store.uni.com/catalogo/iso-17225-2-2014 (accessed on 22 January 2021).
- Stelte, W.; Holm, J.K.; Sanadi, A.R.; Barsberg, S.; Ahrenfeldt, J.; Henriksen, U.B. A study of bonding and failure mechanisms in fuel pellets from different biomass resources. Biomass Bioenergy 2011, 35, 910–918. [Google Scholar] [CrossRef]
- Venturini, E.; Vassura, I.; Agostini, F.; Pizzi, A.; Toscano, G.; Passarini, F. Effect of fuel quality classes on the emissions of a residential wood pellet stove. Fuel 2018, 211, 269–277. [Google Scholar] [CrossRef]
- Bardiya, N.; Gaur, A.C. Effects of carbon and nitrogen ratio on rice straw biomethanation. J. Rural Energy 1997, 4, 1–16. [Google Scholar]
- Weide, T.; Baquero, C.D.; Schomaker, M.; Brügging, E.; Wetter, C. Effects of enzyme addition on biogas and methane yields in the batch anaerobic digestion of agricultural waste (silage, straw, and animal manure). Biomass Bioenergy 2020, 132, 105442. [Google Scholar] [CrossRef]
- Maccarini, A.C.; Bessa, M.R.; Errera, M.R. Energy valuation of urban pruning residues feasibility assessment. Biomass Bioenergy 2020, 142, 105763. [Google Scholar] [CrossRef]



| ID | Species | Product |
|---|---|---|
| HP | hazelnut | Chopped Pruning |
| HC | hazelnut | Coarse |
| HM | hazelnut | Medium |
| HF1 | hazelnut | Fines type 1 |
| HF2 | hazelnut | Fines type 2 |
| OP | olive | Chopped Pruning |
| OC | olive | Coarse |
| OM | olive | Medium |
| OF1 | olive | Fines type 1 |
| OF2 | olive | Fines type 2 |
| Moisture [%] | Ash [%DM] | |
|---|---|---|
| HP | 10.1 ± 0.6 a | 3.6 ± 0.3 a |
| HC | 7.9 ± 0.5 b | 1.3 ± 0.2 b |
| HM | 8.9 ± 0.2 c | 1.7 ± 0.2 b |
| HF1 | 9.4 ± 0.4 c | 4.0 ± 0.3 c |
| HF2 | 9.9 ± 0.4 c | 9.1 ± 0.2 d |
| OP | 9.2 ± 0.5 a | 4.1 ± 0.2 a |
| OC | 7.9 ± 0.4 b | 2.1 ± 0.2 b |
| OM | 7.8 ± 0.2 b | 2.6 ± 0.2 b |
| OF1 | 7.1 ± 0.4 bc | 5.3 ± 0.2 c |
| OF2 | 6.8 ± 0.4 c | 6.1 ± 0.2 d |
| C [%DM] | N [%DM] | H [%DM] | O [%DM] | C/N | |
|---|---|---|---|---|---|
| HP | 42.8 ± 0.51 a | 0.64 ± 0.004 a | 5.61 ± 0.18 a | 50.95 | 66.9 ± 1.2 a |
| HC | 41.3 ± 0.20 b | 0.02 ± 0.001 b | 5.63 ± 0.07 a | 53.05 | 2367.1 ± 147 b |
| HM | 43.0 ± 0.10 a | 0.19 ± 0.004 c | 5.72 ± 0.11 a | 51.09 | 220.6 ± 5.0 c |
| HF1 | 42.5 ± 0.32 a | 0.54 ± 0.003 d | 5.61 ± 0.13 a | 51.35 | 78.2 ± 1.0 d |
| HF2 | 39.3 ± 0.21 d | 1.11 ± 0.003 e | 5.28 ± 0.09 d | 54.31 | 35.4 ± 0.3 e |
| OP | 42.9 ± 0.45 ad | 0.39 ± 0.007 a | 6.54 ± 0.21 b | 50.17 | 110.7 ± 3.0 a |
| OC | 41.5 ± 0.31 b | 0.07 ± 0.002 b | 6.52 ± 0.09 b | 51.91 | 592.2 ± 21.1 b |
| OM | 41.8 ± 0.59 bc | 0.10 ± 0.002 c | 6.53 ± 0.12 b | 51.57 | 415.5 ± 14.2 c |
| OF1 | 42.2 ± 0.44 bc | 0.42 ± 0.004 d | 6.55 ± 0.08 b | 50.83 | 101.5 ± 1.9 d |
| OF2 | 42.6 ± 0.5 dc | 0.79 ± 0.005 e | 6.59 ± 0.15 b | 50.02 | 53.6 ± 1.0 e |
| d50 [μm] | HHV [MJ/kgDM] | LHV [MJ/kg] | |
|---|---|---|---|
| HP | 19.3 ± 2.0 bc | 16.0 ± 2.1 b | |
| HC | 1600 | 19.0 ± 0.3 b | 16.3 ± 0.7 b |
| HM | 700 | 20.1 ± 0.3 c | 16.9 ± 0.6 b |
| HF1 | 310 | 19.8 ± 0.3 c | 16.6 ± 0.6 b |
| HF2 | 180 | 18.2 ± 0.4 b | 15.3 ± 0.7 b |
| OP | 19.2 ± 1.0 d | 15.9 ± 1.3 c | |
| OC | 1800 | 19.2 ± 0.3 d | 16.2 ± 0.6 c |
| OM | 750 | 19.2 ± 0.1 d | 16.2 ± 0.6 c |
| OF1 | 300 | 19.2 ± 0.2 d | 16.3 ± 0.5 c |
| OF2 | 160 | 20.0 ± 0.1 d | 17.1 ± 0.5 c |
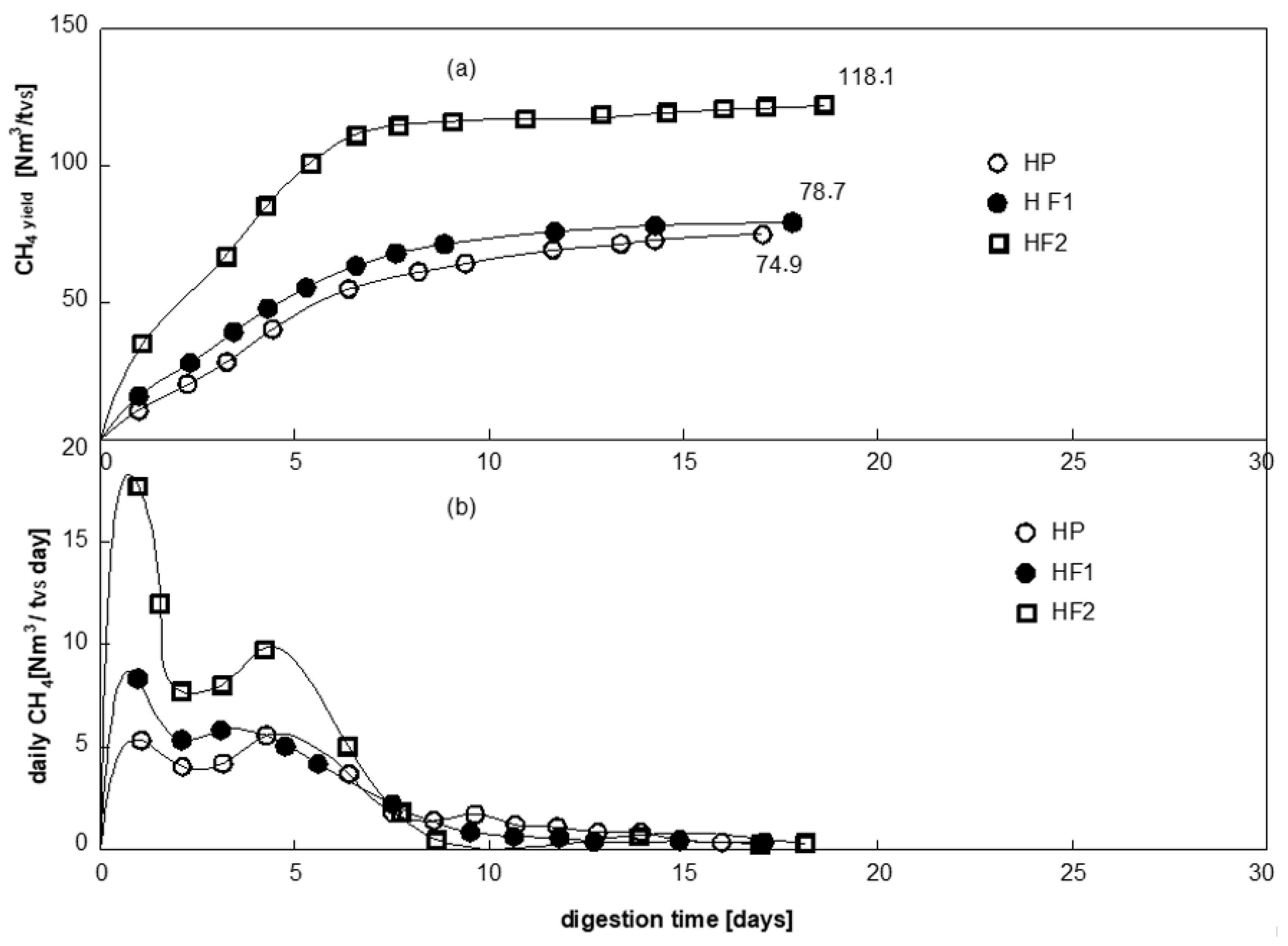
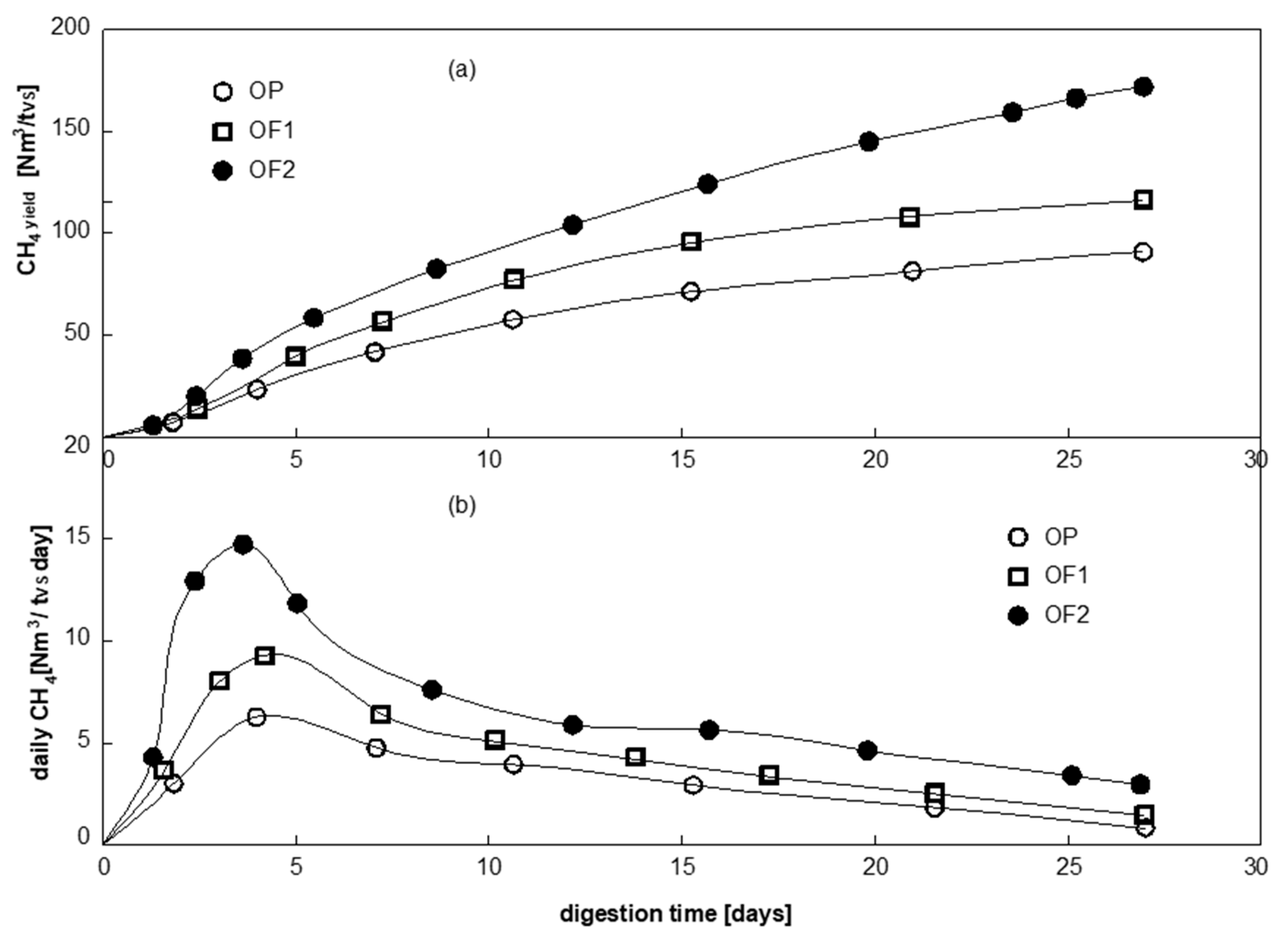
| BMP-CH4 [Nm3/t] | BMP-CH4 [Nm3/tSV] | %CH4 [Nm3/tSV] | |
|---|---|---|---|
| HP | 59.8 ± 4.5 a | 69.4 ± 5.1 a | 49.8 ± 0.4 a |
| HF1 | 67.3 ± 3.6 a | 78.7 ± 4.0 a | 50.0 ± 0.1 a |
| HF2 | 96.8 ± 3.8 b | 118.1 ± 4.2 b | 49.8 ± 0.1 a |
| OP | 79.4 ± 5.4 a | 91.2 ± 5.7 a | 49.3 ± 0.4 a |
| OF1 | 101.3 ± 4.7 b | 115.6 ± 4.9 b | 49.7 ± 0.1 a |
| OF2 | 153.8 ± 4.4 c | 176.5 ± 4.2 c | 50.4 ± 0.2 b |
| Moisture % | LHV MJ/kg | Ash %TS | N %TS | ||
|---|---|---|---|---|---|
| ISO 17225-2 industrial pellets | I1 | ≤10 | ≥16.5 | ≤1 | ≤0.3 |
| I2 | ≤10 | ≥16.5 | ≤1.5 | ≤0.3 | |
| I3 | ≤10 | ≥16.5 | ≤3 | ≤0.6 | |
| ISO 17225-2 non industrial pellets | A1 | ≤10 | ≥16.5 | ≤0.7 | ≤0.3 |
| A2 | ≤10 | ≥16.5 | ≤1.2 | ≤0.5 | |
| B | ≤10 | ≥16.5 | ≤2 | ≤1 | |
| Hazelnut | HP | 10.1 | 16.0 | 3.6 | 0.6 |
| HC | 7.4 | 16.3 | 1.3 | 0.0 | |
| HM | 8.9 | 16.9 | 1.7 | 0.2 | |
| Olive | OP | 9.2 | 15.9 | 4.1 | 0.4 |
| OC | 7.9 | 16.2 | 2.1 | 0.1 | |
| OM | 7.8 | 16.2 | 2.6 | 0.1 |
Publisher’s Note: MDPI stays neutral with regard to jurisdictional claims in published maps and institutional affiliations. |
© 2021 by the authors. Licensee MDPI, Basel, Switzerland. This article is an open access article distributed under the terms and conditions of the Creative Commons Attribution (CC BY) license (http://creativecommons.org/licenses/by/4.0/).
Share and Cite
Bianchini, L.; Costa, P.; Dell’Omo, P.P.; Colantoni, A.; Cecchini, M.; Monarca, D. An Industrial Scale, Mechanical Process for Improving Pellet Quality and Biogas Production from Hazelnut and Olive Pruning. Energies 2021, 14, 1600. https://doi.org/10.3390/en14061600
Bianchini L, Costa P, Dell’Omo PP, Colantoni A, Cecchini M, Monarca D. An Industrial Scale, Mechanical Process for Improving Pellet Quality and Biogas Production from Hazelnut and Olive Pruning. Energies. 2021; 14(6):1600. https://doi.org/10.3390/en14061600
Chicago/Turabian StyleBianchini, Leonardo, Paolo Costa, Pier Paolo Dell’Omo, Andrea Colantoni, Massimo Cecchini, and Danilo Monarca. 2021. "An Industrial Scale, Mechanical Process for Improving Pellet Quality and Biogas Production from Hazelnut and Olive Pruning" Energies 14, no. 6: 1600. https://doi.org/10.3390/en14061600
APA StyleBianchini, L., Costa, P., Dell’Omo, P. P., Colantoni, A., Cecchini, M., & Monarca, D. (2021). An Industrial Scale, Mechanical Process for Improving Pellet Quality and Biogas Production from Hazelnut and Olive Pruning. Energies, 14(6), 1600. https://doi.org/10.3390/en14061600

