Heavy Metals Behavior in Soil/Plant System after Sewage Sludge Application
Abstract
1. Introduction
2. Materials and Methods
2.1. Study Area
2.2. Sewage Sludge
2.3. Soil and Sewage Sludge Sample Collection before Experiment
2.4. Experiment Design
2.5. Soil Sampling and Analyses after Sewage Sludge Application
2.6. Total HMs Content and Their Fractions Levels in Soil
2.7. The Analysis of Lawn Grasses Mixture
2.8. Bioaccumulation (BCF) and Translocation (TF) Factors Evaluation
2.9. Statistical Analysis
3. Results
3.1. Soil Properties after Sewage Sludge Application
3.2. Heavy Metals and Their Fractions Concentration in Soil
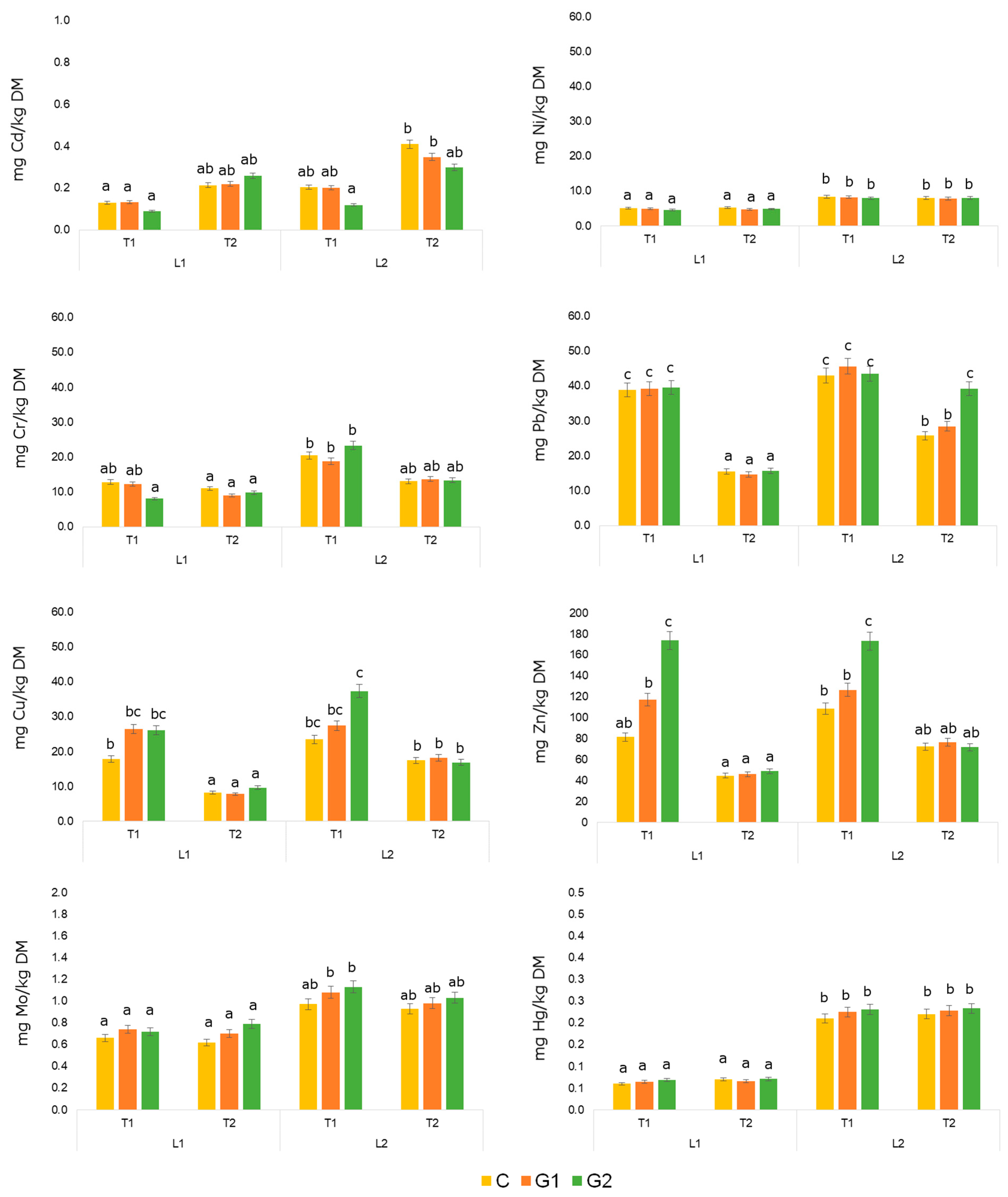
3.3. The Total Yield and HMs Content in Grass
3.4. Bioconcentration (BCF) and Translocation (TF) Factors and Their Relationship with Soil Properties
4. Discussion
4.1. Sewage Sludge Effect on Heavy Metals Content in Soil
4.2. Sewage Sludge Effect on Plant Yield and Its Ability to Promote HMs Accumulation
5. Conclusions
Supplementary Materials
Author Contributions
Funding
Institutional Review Board Statement
Informed Consent Statement
Data Availability Statement
Conflicts of Interest
References
- Foti, L.; Dubs, F.; Gignoux, J.; Lata, J.-C.; Lerch, T.Z.; Mathieu, J.; Nold, F.; Nunan, N.; Raynaud, X.; Abbadie, L.; et al. Trace element concentrations along a gradient of urban pressure in forest and lawn soils of the Paris region (France). Sci. Total Environ. 2017, 598, 938–948. [Google Scholar] [CrossRef]
- Luo, X.; Yu, S.; Zhu, Y.; Li, X. Trace metal contamination in urban soils of China. Sci. Total Environ. 2012, 421–422, 17–30. [Google Scholar] [CrossRef]
- Yang, J.-L.; Zhang, G.-L. Formation, characteristics and eco-environmental implications of urban soils—A review. Soil Sci. Plant Nutr. 2015, 61 (Suppl. 1), 30–46. [Google Scholar] [CrossRef]
- Chen, X.; Guo, M.; Feng, J.; Liang, S.; Han, D.; Cheng, J. Characterization and risk assessment of heavy metals in road dust from a developing city with good air quality and from Shanghai, China. Environ. Sci. Pollut. Res. 2019, 26, 11387–11398. [Google Scholar] [CrossRef] [PubMed]
- Hong, N.; Guan, Y.; Yang, B.; Zhong, J.; Zhu, P.; Ok, Y.S.; Hou, D.; Tsang, D.C.W.; Guan, Y.; Liu, A. Quantitative source tracking of heavy metals contained in urban road deposited sediments. J. Hazard. Mater. 2020, 393, 122362. [Google Scholar] [CrossRef] [PubMed]
- Hanfi, M.Y.; Mostafa, M.Y.A.; Zhukovsky, M.V. Heavy metal contamination in urban surface sediments: Sources, distribution, contamination control and remediation. Environ. Monit. Assess. 2019, 192, 32. [Google Scholar] [CrossRef] [PubMed]
- Li, J.; He, M.; Han, W.; Gu, Y. Availability and mobility of heavy metal fractions related to the characteristics of the coastal soils developed from alluvial deposits. Environ. Monit. Assess. 2009, 158, 459–469. [Google Scholar] [CrossRef]
- Anjos, C.; Magalhães, M.C.M.; Abreu, M.M. Metal (Al, Mn, Pb and Zn) soils extractable reagents for available fraction assessment: Comparison using plants, and dry and moist soils from the Braçal abandoned lead mine area, Portugal. J. Geochem. Explor. 2011, 113, 45–55. [Google Scholar] [CrossRef]
- Niesiobędzka, K. Transfer of copper, lead and zinc in soil-grass ecosystem in aspect of soil properties, in Poland. Bull. Environ. Contam. Toxicol. 2012, 88, 627–633. [Google Scholar] [CrossRef]
- Shrivastava, S.K.; Banerjee, D.K. Speciation of metals in sewage sludge and sludge-amended soils. Water Air Soil Pollut. 2004, 152, 219–232. [Google Scholar] [CrossRef]
- Rao, C.R.M.; Ashuquillo, A.; Lopez Sanchez, J.F. Review of the different methods applied in environmental geochemistry for single and sequential extraction of trace elements in soils and related materials. Water Air Soil Pollut. 2008, 189, 291–333. [Google Scholar] [CrossRef]
- Bogusz, A.; Oleszczuk, P. Sequential extraction of nickel and zinc in sewage sludge- or biochar/sewage sludge-amended soil. Sci. Total Environ. 2018, 636, 927–935. [Google Scholar] [CrossRef] [PubMed]
- Park, M.; Yoon, H.; Yoon, C.; Yu, J.-Y. Estimation of mercury speciation in soil standard reference materials with different extraction methods by ion chromatography coupled with ICP-MS. Environ. Geochem. Health 2010, 33, 49–56. [Google Scholar] [CrossRef] [PubMed]
- Zemberyova, M.; Hagarova, I.; Zimova, J.; Bartekova, J.; Kuss, H.M. Determination of molybdenum in extracts of soil and sewage sludge CRMs after fractionation by means of BCR modifie sequential extraction procedure. Talanta 2010, 82, 582–586. [Google Scholar] [CrossRef]
- Yuan, C.; Shi, J.; He, B.; Liu, J.; Liang, L.; Jiang, G. Speciation of heavy metals in marine sediments from the East China Sea by ICP-MS with sequential extraction. Environ. Int. 2004, 30, 769–783. [Google Scholar] [CrossRef]
- Agilent Technologies, Inc. Collision/Reaction Cells in ICP-MS. 2010. Available online: https://www.agilent.com/cs/library/articlereprints/Public/5990_5955EN%20HR.pdf (accessed on 16 February 2021).
- Franzetti, A.; Gandolfi, I.; Bestetti, G.; Schioppa, E.P.; Canedoli, C.; Brambilla, D.; Cappelletti, D.; Sebastiani, B.; Federici, E.; Papacchini, M.; et al. Plant-microorganisms interaction promotes removal of air pollutants in Milan (Italy) urban area. J. Hazard. Mater. 2020, 384, 121021. [Google Scholar] [CrossRef] [PubMed]
- Wołejko, E.; Wydro, U.; Butarewicz, A.; Łoboda, T. Effects Of Sewage Sludge On The Accumulation Of Heavy Metals In Soil And In Mixtures Of Lawn Grasses. Environ. Prot. Eng. 2013, 39, 67–76. [Google Scholar] [CrossRef]
- Jabeen, R.; Ahmad, A.; Iqbal, M. Phytoremediation of Heavy Metals: Physiological and Molecular Mechanisms. Bot. Rev. 2009, 75, 339–364. [Google Scholar] [CrossRef]
- Kacprzak, M.; Grobelak, A.; Grosser, A.; Prasad, M.N.V. Efficacy of biosolids in assisted phytostabilization of metalliferous acidic sandy soils with five grass species. Int. J. Phytoremediation. 2014, 16, 593–608. [Google Scholar] [CrossRef]
- Wu, D.; Yu, X.; Lai, M.; Feng, J.; Dong, X.; Peng, W.; Su, S.; Zhang, X.; Wan, L.; Jacobs, D.F.; et al. Diversified effects of co-planting landscape plants on heavy metals pollution remediation in urban soil amended with sewage sludge. J. Hazard. Mater. 2021, 403, 123855. [Google Scholar] [CrossRef]
- Dede, G.; Ozdemir, S.; Dede, O.H. Effect of soil amendments on phytoextraction potential of Brassica juncea growing on sewage sludge. Int. J. Environ. Sci. Technol. 2012, 9, 559–564. [Google Scholar] [CrossRef]
- Frąc, M.; Jezierska-Tys, S.; Oszust, K.; Gryta, A.; Pastor, M. Assessment of microbiological and biochemical properties of dairy sewage sludge. Int. J. Environ. Sci. Technol. 2017, 14, 679–688. [Google Scholar] [CrossRef]
- Singh, R.P.; Agrawal, M. Potential benefits and risks of land application of sewage sludge. Waste Manag. 2008, 28, 347–358. [Google Scholar] [CrossRef]
- The Regulation of the Minister of the Environment. Pol. J. Laws 2015, 257. Available online: http://isap.sejm.gov.pl/isap.nsf/download.xsp/WDU20150000257/O/D20150257.pdf (accessed on 16 February 2021).
- Imperato, M.; Adamo, P.; Naimo, D.; Arienzo, M.; Stanzione, D.; Violante, P. Spatial distribution of heavy metals in urban soils of Naples city (Italy). Environ. Pollut. 2003, 124, 247–256. [Google Scholar] [CrossRef]
- Eid, E.M.; El-Bebany, A.F.; Taher, M.A.; Alrumman, S.A.; Hussain, A.A.; Galal, T.M.; Shaltout, K.H.; Sewelam, N.A.; Ahmed, M.T.; El-Shaboury, G.A. Influences of sewage sludge-amended soil on heavy metal accumulation, growth and yield of rocket plant (E. sativa). Appl. Ecol. Environ. Res. 2020, 18, 3027–3040. [Google Scholar] [CrossRef]
- Casida, L.E., Jr.; Klein, D.A.; Santoro, T. Soil dehydrogenase activity. Soil Sci. 1964, 98, 371–376. [Google Scholar] [CrossRef]
- Johnson, J.I.; Temple, K.L. Some variables affecting the measurements of catalase activity in soil. Soil Sci. Soc. Am. J. 1964, 28, 207–216. [Google Scholar] [CrossRef]
- Rauret, G.; López-Sánchez, J.F.; Sahuquillo, A.; Rubio, R.; Davidson, C.; Ure, A.; Quevauviller, P. Improvement of the BCR three-step sequential extraction procedure prior to the certification of new sediment and soil reference materials. J. Environ. Monit. 1999, 1, 57–61. [Google Scholar] [CrossRef] [PubMed]
- Leśniewska, B.; Krymska, M.; Świerad, E.; Wiater, J.; Godlewska-Żyłkiewicz, B. An ultrasound-assisted procedure for fast screening of mobile fractions of Cd, Pb and Ni in soil. Insight into method optimization and validation. Environ. Sci. Pollut. Res. 2016, 2, 25093–25104. [Google Scholar] [CrossRef]
- Council of European Union. Council Directive 86/278/EEC of 12 June 1986 on the Protection of the Environment, and in Particular of the Soil, When Sewage Sludge is Used in Agriculture; Publications Office of the EU: Luxembourg, 1986; pp. 1–7. [Google Scholar]
- Padmavathiamma, P.K.; Li, L.Y. Phytoremediation Technology: Hyper-accumulation metals in plants. Water Air Soil Pollut. 2007, 184, 105–126. [Google Scholar] [CrossRef]
- Wei, B.; Yang, L. A review of heavy metal contaminations in urban soils, urban road dusts and agricultural soils from China. Microchem. J. 2010, 94, 99–107. [Google Scholar] [CrossRef]
- Xia, X.; Chen, X.; Liu, R.; Liu, H. Heavy metals in urban soils with various types of land use in Beijing, China. J. Hazard. Mater. 2011, 186, 2043–2050. [Google Scholar] [CrossRef] [PubMed]
- Gadepalle, V.P.; Ouki, S.K.; Hutchings, T. Remediation of copper and cadmium in contaminated soils using compost with inorganic amendments. Water Air Soil Pollut. 2009, 196, 355–368. [Google Scholar] [CrossRef]
- Legret, M. Speciation of heavy metals in sewage sludge and sludge-amended soil. Int. J. Environ. Anal. Chem. 1993, 51, 161–165. [Google Scholar] [CrossRef]
- Kabata-Pendias, A. Trace Elements in Soils and Plants; Taylor & Francis: Abingdon, UK, 2010; p. 520. [Google Scholar]
- Yang, H.F.; Wang, Y.B.; Huang, Y.J. Chemical fraction and phytoavailability of copper to rape grown in the polluted paddy soil. Int. J. Environ. Sci. Technol. 2015, 12, 2929–2938. [Google Scholar] [CrossRef]
- Wiater, J.; Łukowski, A. Content of total zinc and its fractions in selected soils in the Province of Podlasie. J. Elem. 2014, 19, 811–820. [Google Scholar] [CrossRef][Green Version]
- Zhao, F.J.; Lombi, E.; McGrath, S.P. Assessing the potential for zinc and cadmium phytoremediation with the hyperaccumulator Thlaspi caerulescens. Plant Soil 2003, 249, 37–43. [Google Scholar] [CrossRef]
- Smith, M.T.E.; Tibbett, M. Nitrogen dynamics under Lolium perenne after a single application of three different sewage sludge types from the same treatment stream. Bioresour. Technol. 2004, 91, 233–241. [Google Scholar] [CrossRef]
- Yoon, J.; Cao, X.; Zhou, Q.; Ma, L.Q. Accumulation of Pb, Cu, and Zn in native plants growing on a contaminated Florida site. Sci. Total Environ. 2006, 368, 456–464. [Google Scholar] [CrossRef]
- Zoghlami, R.I.; Hamadi, H.; Boudabbous, K.; Hechmi, S.; Khelil, M.N.; Jedidi, N. Seasonal toxicity variation in light-textured soil amended with urban sewage sludge: Interaction effect on cadmium, nickel, and phytotoxicity. Environ. Sci. Pollut. Res. 2017, 25, 3608–3615. [Google Scholar] [CrossRef]
- Koptsik, G.N. Problems and prospects concerning the phytoremediation of heavy metal polluted soils: A review. Eurasian Soil Sci. 2014, 47, 923–939. [Google Scholar] [CrossRef]
- Padmavathiamma, P.K.; Li, L.Y. Rhizosphere influence and seasonal impact on phytostabilisation of metals—A field study. Water Air Soil Pollut. 2012, 223, 107–124. [Google Scholar] [CrossRef]
- Zhang, X.; Xia, H.; Li, Z.; Zhuang, P.; Gao, B. Potential of four forage grasses in remediation of Cd and Zn contaminated soils. Bioresour. Technol. 2010, 101, 2063–2066. [Google Scholar] [CrossRef]
- Cheraghi, M.; Lorestani, B.; Khorasani, N.; Yousefi, N.; Karami, M. Findings on the Phytoextraction and Phytostabilization of Soils Contaminated with Heavy Metals. Biol. Trace Elem. Res. 2011, 144, 1133–1141. [Google Scholar] [CrossRef]
- Mahdy, A.M.; Elkhatib, E.A.; Fathi, N.O. Cadmium, copper, nickel, and lead availability in biosolids-amended alkaline soils. Aust. J. Basic Appl. Sci. 2007, 1, 354–363. [Google Scholar]






| Characteristics | L1 | L2 | G | Detection Limit [mg/kg] | Relative Error [%] |
|---|---|---|---|---|---|
| pH | 8.1 | 7.7 | 8.2 | - | - |
| dry matter (DM), % | - | - | 81.7 | - | - |
| OM, % | - | - | 56.9 | - | - |
| Sand, % | 76 ± 5 | 75 ± 0.4 | - | - | - |
| Silt, % | 22 ± 2 | 22 ± 2 | - | - | - |
| Clay, % | 2 ± 0.1 | 2 ± 0.1 | - | - | - |
| Cd, mg/kg DM | 0.5 ± 0.05 | 0.6 ± 0.03 | 1.3 ± 0.03 | 0.007 | 1.12 |
| Cr, mg/kg DM | 12.1 ± 1.1 | 11.5 ± 1.0 | 76.6 ± 8.9 | 0.007 | 1.53 |
| Cu, mg/kg DM | 16.7 ± 1.7 | 26.3 ± 1.8 | 198 ± 26.8 | 0.003 | 1.22 |
| Ni, mg/kg DM | 6.3 ± 0.5 | 8.5 ± 0.7 | 30.1 ± 4.9 | 0.02 | 2.04 |
| Pb, mg/kg DM | 7.5 ± 0.5 | 5.6 ± 0.5 | 26.0 ± 3.1 | 0.007 | 1.18 |
| Zn, mg/kg DM | 50.8 ± 4.1 | 74.4 ± 4.4 | 1045 ± 217 | 0.01 | 1.96 |
| Hg, mg/kg DM | 0.04 ± 0.003 | 0.19 ± 0.008 | 0.95 ± 0.05 | 0.00005 | 2.17 |
| Location | Term | Treatment | pH Min-Max | OM (% DM) | DHA (µmol TPF/g DM/20 h) | CAT (mmol H2O2/g DM/min) |
|---|---|---|---|---|---|---|
| C | 7.27–7.45 | 4.44 ± 0.46 | 0.22 ± 0.08 | 7.59 ± 1.28 | ||
| T1 | G1 | 7.26–7.37 | 6.38 ± 0.42 | 0.30 ± 0.16 | 8.75 ± 0.56 | |
| L1 | G2 | 7.05–7.37 | 8.27 ± 2.19 | 0.32 ± 0.17 | 8.33 ± 1.39 | |
| C | 7.08–7.55 | 5.12 ± 1.09 | 0.46 ± 0.32 | 7.82 ± 1.57 | ||
| T2 | G1 | 6.97–7.29 | 7.59 ± 2.06 | 0.53 ± 0.09 | 9.60 ± 1.57 | |
| G2 | 6.96–7.25 | 8.21 ± 0.90 | 0.60 ± 0.25 | 9.77 ± 3.85 | ||
| C | 7.10–7.34 | 6.11 ± 0.65 | 0.22 ± 0.03 | 7.86 ± 0.43 | ||
| T1 | G1 | 7.18–7.48 | 6.47 ± 0.92 | 0.30 ± 0.08 | 8.87 ± 0.32 | |
| L2 | G2 | 7.23–7.41 | 7.90 ± 0.69 | 0.34 ± 0.08 | 9.55 ± 0.70 | |
| C | 7.00–7.65 | 5.99 ± 0.62 | 0.28 ± 0.17 | 8.48 ± 1.30 | ||
| T2 | G1 | 7.05–7.64 | 6.28 ± 0.66 | 0.38 ± 0.17 | 8.64 ± 1.17 | |
| G2 | 6.99–7.46 | 7.96 ± 0.73 | 0.42 ± 0.12 | 8.97 ± 0.59 |
| HMs | pH | OM | clay | DHA | CAT | F1 | F2 | F3 | F4 |
|---|---|---|---|---|---|---|---|---|---|
| BCF | |||||||||
| Cd | −0.5 | 0.6 | ns | 0.6 | 0.5 | 0.7 | −0.5 | 0.4 | −0.4 |
| Cr | −0.4 | ns | ns | ns | ns | ns | ns | ns | −0.6 |
| Cu | −0.5 | ns | ns | ns | 0.6 | 0.7 | 0.5 | −0.8 | −0.8 |
| Mo | 0.6 | 0.5 | ns | ns | ns | ns | ns | 0.5 | ns |
| Ni | ns | ns | ns | 0.5 | ns | ns | −0.8 | 0.3 | −0.6 |
| Pb | ns | ns | ns | ns | ns | ns | 0.5 | ns | −0.6 |
| Zn | 0.6 | 0.5 | ns | 0.6 | 0.5 | 0.8 | ns | 0.7 | −0.4 |
| Hg | ns | 0.4 | ns | ns | ns | ns | ns | ns | ns |
| TF | |||||||||
| Cd | ns | ns | ns | ns | ns | ns | ns | ns | ns |
| Cr | ns | −0.6 | ns | ns | ns | ns | ns | 0.4 | ns |
| Cu | ns | ns | ns | ns | ns | 0.6 | ns | ns | ns |
| Mo | ns | ns | ns | ns | ns | ns | ns | ns | ns |
| Ni | ns | −0.7 | ns | ns | 0.4 | ns | ns | ns | ns |
| Pb | ns | ns | ns | 0.4 | 0.6 | ns | ns | ns | ns |
| Zn | ns | ns | ns | 0.5 | ns | 0.4 | 0.5 | 0.7 | ns |
| Hg | ns | ns | ns | ns | ns | ns | ns | ns | ns |
Publisher’s Note: MDPI stays neutral with regard to jurisdictional claims in published maps and institutional affiliations. |
© 2021 by the authors. Licensee MDPI, Basel, Switzerland. This article is an open access article distributed under the terms and conditions of the Creative Commons Attribution (CC BY) license (http://creativecommons.org/licenses/by/4.0/).
Share and Cite
Wydro, U.; Jabłońska-Trypuć, A.; Hawrylik, E.; Butarewicz, A.; Rodziewicz, J.; Janczukowicz, W.; Wołejko, E. Heavy Metals Behavior in Soil/Plant System after Sewage Sludge Application. Energies 2021, 14, 1584. https://doi.org/10.3390/en14061584
Wydro U, Jabłońska-Trypuć A, Hawrylik E, Butarewicz A, Rodziewicz J, Janczukowicz W, Wołejko E. Heavy Metals Behavior in Soil/Plant System after Sewage Sludge Application. Energies. 2021; 14(6):1584. https://doi.org/10.3390/en14061584
Chicago/Turabian StyleWydro, Urszula, Agata Jabłońska-Trypuć, Eliza Hawrylik, Andrzej Butarewicz, Joanna Rodziewicz, Wojciech Janczukowicz, and Elżbieta Wołejko. 2021. "Heavy Metals Behavior in Soil/Plant System after Sewage Sludge Application" Energies 14, no. 6: 1584. https://doi.org/10.3390/en14061584
APA StyleWydro, U., Jabłońska-Trypuć, A., Hawrylik, E., Butarewicz, A., Rodziewicz, J., Janczukowicz, W., & Wołejko, E. (2021). Heavy Metals Behavior in Soil/Plant System after Sewage Sludge Application. Energies, 14(6), 1584. https://doi.org/10.3390/en14061584

