A CFD Study on Flow Control of Ammonia Injection for Denitrification Processes of SCR Systems in Coal-Fired Power Plants
Abstract
1. Introduction
2. Theoretical Background
2.1. Application Model
2.2. Simulation Parameter
2.3. Computing Procedure
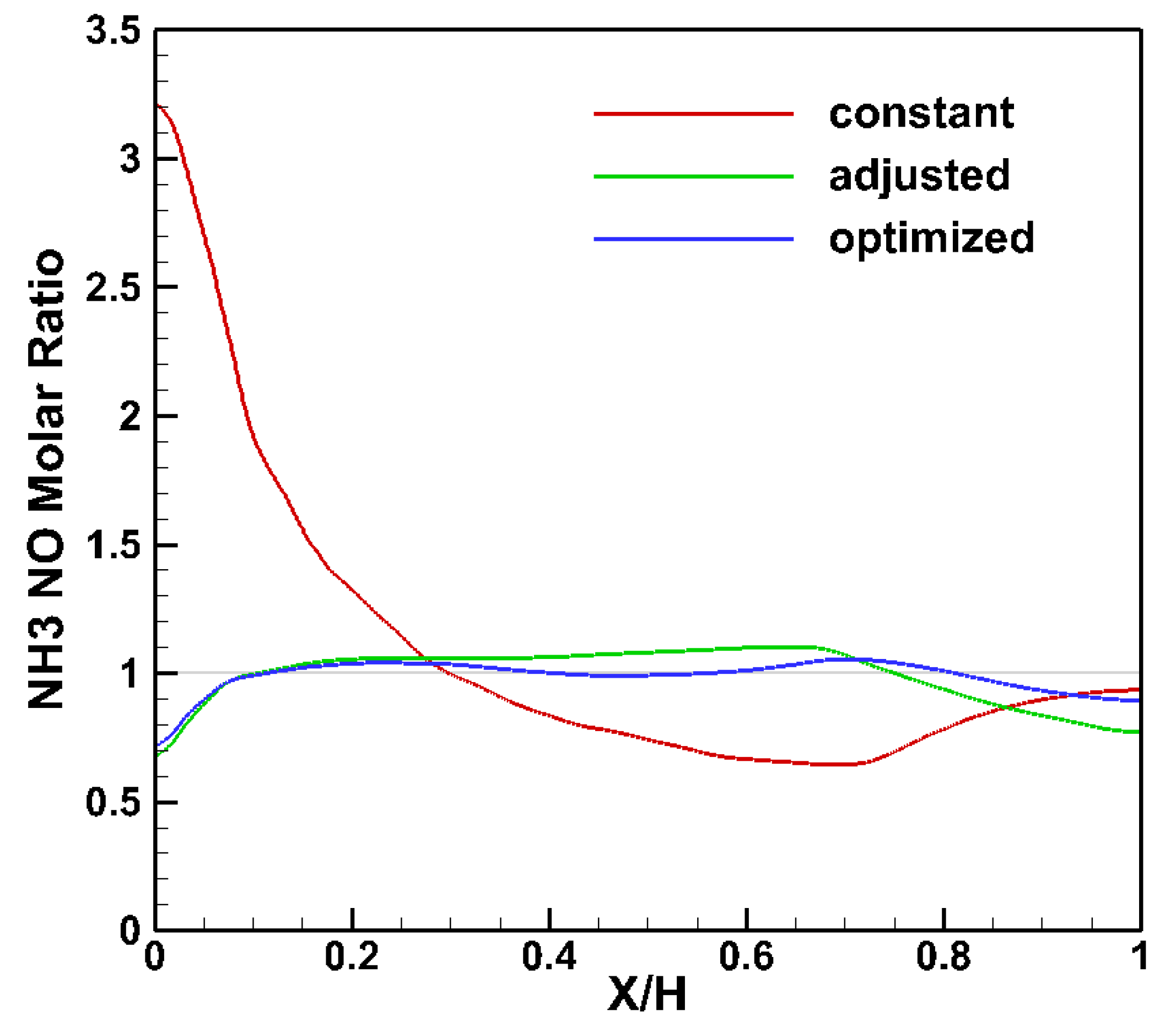
3. Computational Results
3.1. Flow Analysis before AIG Flow Control
3.2. Improvement of Flow Uniformity through AIG Flow Control
3.2.1. Parabolic Profile of Inlet NO
3.2.2. Upper-Skewed Profile of Inlet NO
3.2.3. Lower-Skewed Profile of Inlet NO
3.2.4. Random Profile of Inlet NO
3.3. Improvement through Flow Control
4. Conclusions
Author Contributions
Funding
Conflicts of Interest
References
- Kim, K.S.; Park, M.H.; Yoon, J.K.; Lim, J.H. A Study for optimal design of the AIG to improve the performance of DeNOx facilities installed in combined cycle plant. Korean J. Air-Cond. Refrig. Eng. 2007, 19, 811–820. [Google Scholar]
- Choi, H.W. Economic operation of SCR equipment. In Proceedings of the KOEN Sustainability Management Forum, Samcheonpo, Korea, 11–13 September 2008. [Google Scholar]
- Kim, K.S.; Lee, K.O. Numerical study on optimization of the SCR process design in horizontal HRSG for NOx reduction. J. Environ. Sci. Int. 2013, 11, 1481–1498. [Google Scholar] [CrossRef][Green Version]
- Chung, H.T.; Seo, D.C.; Kim, B.S.; Kim, M.G. CFD simulation of ammonia injection for DeNox process. In Proceedings of the 30th International Symposium on Transport Phenomena, Halong, Vietnam, 1–3 November 2019. [Google Scholar]
- Seo, D.C.; Kim, M.G.; Chung, H.T. The numerical study on the flow control of ammonia injection according to the inlet NOx distribution in the DeNOx facilities. Clean Technol. 2019, 25, 324–330. [Google Scholar]
- Seo, M.H.; Chang, H.S. Computational study on design of the AIG for the enhancement of ammonia injection in SCR system. Clean Technol. 2012, 18, 410–418. [Google Scholar] [CrossRef]
- Park, M.J.; Chang, H.S.; Ha, J.S. Numerical study on the baffle structure for determining the flow characteristic in small scale SCR system. J. Korean Soc. Environ. Eng. 2010, 32, 862–869. [Google Scholar]
- Yu, H.; Zhou, N.; Wang, Z.; Qi, X.; Du, J. Application and effect evaluation of AIG optimization adjustment strategy for SCR denitrification system after ultra-low emission transformation of coal-fired units. In Proceedings of the IOP Conference Series: Earth and Environmental Science, Guiyang, China, 14–16 June 2019. [Google Scholar]
- Buzanowski, M.; Fadda, D. Optimized ammonia injection for power plant SCR systems. In Proceedings of the ASME Power Conference, San Antonio, TX, USA, 17–19 July 2007. [Google Scholar]
- Park, J.K. Correlation Analysis of NOx Concentration at the Inlet of De-NOx System and Influence Factors in a Natural Gas Fired Thermal Power Plant. Master’s Thesis, Hanyang University, Seoul, Korea, 2014. [Google Scholar]
- Liu, G.; Bao, W.; Zhang, W.; Li, C.; Luo, K. An intelligent control of NH3 injection for optimizing the NOx/NH3 ratio in SCR system. J. Energy Inst. 2019, 92, 1262–1269. [Google Scholar] [CrossRef]
- Zhu, T.; Li, D.; Fang, Q.; Cheng, G. Flow field optimization for SCR system of coal-fired power plant. J. Chin. Soc. Power Eng. 2015, 35, 481–488. [Google Scholar]
- Zhao, D.; Lin, D.; Zhang, Z. Flow field simulation and optimization design of SCR of 660MW power unit based on CFD study. In Proceedings of the IOP Conference Series: Earth and Environmental Science, Ordos, China, 28–29 April 2018. [Google Scholar]
- Zhao, D.; Sheng, H.; Zheng, W. CFD study on selective catalytic reduction of 660MW unit. In Proceedings of the International Conference on Machinery, Materials and Computing Technology, Hangzhou, China, 23–24 January 2016. [Google Scholar]
- Lee, D. A Numerical Study on Flow Characteristics Around the Guide Vanes in SCR System of Coal-Fired Power Plant. Master’s Thesis, Gyeongsang National University, Gyeongnam, Korea, 2019. [Google Scholar]
- Oh, B.J. Prognosis and Health Management of Boiler Tube and SCR Fossil Power Plant. Ph.D. Thesis, Aju University, Gyeonggi, Korea, 2014. [Google Scholar]
- Xu, Y.; Zhang, Y.; Wang, J.; Yuan, J. Application of CFD in the optimal design of a SCR-DeNOx system for a 300 MW coal-fired power plant. Comput. Chem. Eng. 2013, 49, 50–60. [Google Scholar] [CrossRef]
- Liu, G.; Cui, Y.; Ji, J.; Li, C.; Luo, K. A technical method to improve NOx/NH3 mixing ratio in SCR system and its engineering applications. J. Energy Inst. 2019, 92, 1757–1764. [Google Scholar] [CrossRef]
- Li, N.; Wang, H.; Xu, H.; Miao, M. Application of agent model in the optimal design of AIG for SCR-DeNOx system. Eng. Comput. 2019, 36, 3016–3028. [Google Scholar] [CrossRef]
- Kim, H.S.; Kasipandi, S.; Kim, J.; Kang, S.H.; Kim, J.H.; Ryu, J.H.; Bae, J.W. Current catalysts technology of selective catalytic reduction (SCR) for NOx removal in South Korea. Catalyst 2020, 10, 52. [Google Scholar] [CrossRef]
- Lee, C.S.; Kim, M.G.; Chung, H.T. Numerical study on the aerodynamic characteristics inside curved-diffusing parts of DeNox facilities in coal-fired power plant. J. Compt. Fluids Eng. 2020, 25, 13–19. [Google Scholar] [CrossRef]
- ANSYS. ANSYS Fluent User’s Guide; ANSYS Inc.: Canonsburg, PA, USA, 2019. [Google Scholar]
- ANSYS. ANSYS Design Xplorer User’s Guide; ANSYS Inc.: Canonsburg, PA, USA, 2019. [Google Scholar]



indicates ammonia injection grid (AIG) nozzle.
indicates ammonia injection grid (AIG) nozzle.

















| Parameter | Unit | Value |
|---|---|---|
| Flue gas velocity | 15.56 | |
| AIG nozzle velocity | 24 | |
| Temperature | 367 | |
| Air density | 0.55 | |
| NH3 | 67.31 | |
| NO | 118.6 |
| Constant | Adjusted | Optimized | |
|---|---|---|---|
| Mrms (%) | 28.4 | 9.70 | 4.38 |
| Constant | Adjusted | Optimized | |
|---|---|---|---|
| Mrms (%) | 53.4 | 10.2 | 5.54 |
| Constant | Adjusted | Optimized | |
|---|---|---|---|
| Mrms (%) | 45.2 | 12.1 | 6.98 |
| Constant | Adjusted | Optimized | |
|---|---|---|---|
| Mrms (%) | 33.1 | 10.7 | 3.27 |
| Before Control | After Control | Improvement | |
|---|---|---|---|
| Parabolic (%) | 28.4 | 4.38 | 84.6 |
| Upper-Skewed (%) | 53.4 | 5.54 | 89.6 |
| Lower-Skewed (%) | 45.2 | 6.98 | 84.6 |
| Random (%) | 33.1 | 3.27 | 90.1 |
Publisher’s Note: MDPI stays neutral with regard to jurisdictional claims in published maps and institutional affiliations. |
© 2021 by the authors. Licensee MDPI, Basel, Switzerland. This article is an open access article distributed under the terms and conditions of the Creative Commons Attribution (CC BY) license (http://creativecommons.org/licenses/by/4.0/).
Share and Cite
Kim, M.-G.; Seo, D.-C.; Chung, H.-T. A CFD Study on Flow Control of Ammonia Injection for Denitrification Processes of SCR Systems in Coal-Fired Power Plants. Energies 2021, 14, 1352. https://doi.org/10.3390/en14051352
Kim M-G, Seo D-C, Chung H-T. A CFD Study on Flow Control of Ammonia Injection for Denitrification Processes of SCR Systems in Coal-Fired Power Plants. Energies. 2021; 14(5):1352. https://doi.org/10.3390/en14051352
Chicago/Turabian StyleKim, Min-Gyu, Deok-Cheol Seo, and Hee-Taeg Chung. 2021. "A CFD Study on Flow Control of Ammonia Injection for Denitrification Processes of SCR Systems in Coal-Fired Power Plants" Energies 14, no. 5: 1352. https://doi.org/10.3390/en14051352
APA StyleKim, M.-G., Seo, D.-C., & Chung, H.-T. (2021). A CFD Study on Flow Control of Ammonia Injection for Denitrification Processes of SCR Systems in Coal-Fired Power Plants. Energies, 14(5), 1352. https://doi.org/10.3390/en14051352

