A Fully Meshless Approach to the Numerical Simulation of Heat Conduction Problems over Arbitrary 3D Geometries
Abstract
1. Introduction
- the cost of the mesh creation and the size of the consequent data structure,
- the inability to allow large (geometric) deformations of the domain.
- according to the formulation procedure,
- according to the function approximation schemes, and
- according to the domain representation.
- formulation procedure: collocation technique. The problem to be solved is formulated in the strong form, i.e., strong forms of governing equations and boundary conditions are directly discretized at the field nodes.
- domain representation: both domain and boundaries are represented by field nodes.
2. Materials and Methods
2.1. Governing Equation
2.2. Node Generation
- generation of a volumetric node distribution in that satisfies the spacing function s on average;
- refinement of the initial node distribution through a node-repel approach that provides a suitable node distribution also on .
- each leaf-box, i.e., box with no children, can not contain more than triangles;
- the minimum size of each leaf-box is (the domain is assumed to lie in the unit cube);
- the first constraint can be ignored if a box and its parent-box both contain exactly one vertex of the triangulated surface, which is also the same vertex;
2.3. Function Approximation
- is a set of RBFs, each of which is associated to the corresponding node . The set of the considered nodes is local, i.e., are the nearest nodes to x. For brevity of notation, will be used instead of .
- is a complete polynomial basis of degree P.
2.3.1. Stencil Contained within
2.3.2. Stencil with Boundary Nodes
2.4. Collocation Technique
2.5. Solution Procedure
2.6. Julia Programming Language
- Two-tiered architecture solutions: programmers express high-level logic in a dynamic language (like MATLAB, Octave, R, or SciPi), while heavy lifting is done in C and Fortran [39].
- Enhanced versions of existing dynamic languages: specific libraries need to be used for this purpose; however, the same programmer is given the possibility to contribute to the whole process without completely loosing understanding.
2.7. MATLAB PDE Toolbox
3. Results
3.1. Code Verification
- a sufficiently smooth function is chosen,
- the boundary conditions and the internal heat generation f are analytically computed in order to ensure to be the exact solution of the Boundary Value Problem (2),
- the RBF-FD method is employed to solve the Boundary Value Problem, thus leading to an approximated solution . Much information concerning order of accuracy and efficiency is collected during the calculations,
- is finally compared to according to various metrics, and the performance of the method is assessed.
3.2. Analytical Solution
3.3. Choice of the Domain
- The first is given by the 3D sphere highlighted in Figure 2. This surface is chosen for its regularity, and the absence of any sharp edge is an especially forgiving feature when the stencil around each node is chosen. The accuracy and the robustness of the whole approach are therefore expected to be very high: the final accuracy depends almost exclusively on the solver.
- The second is given by a 3D model of the crankcase of a ICE (Internal Combustion Engine). This surface, shown in Figure 3, is chosen for its complexity since it presents different features: there are both regular surfaces (cylindrical and flat) as well as sharp and rounded edges. If the integration between node generator and solver is capable of providing reliable results on this scenario, then it is safe to conclude its applicability to many other shapes of engineering relevance.
3.4. RBF-FD Parameters
- in the limit the RBF becomes increasingly flat, until some typical oscillations appears due to the Runge’s phenomenon [28], on top of that, too little values of might also lead to numerical issues, due to an ill-conditioning of the interpolation matrix,
- as increases, on the other side, the solution becomes more stable but less accurate.
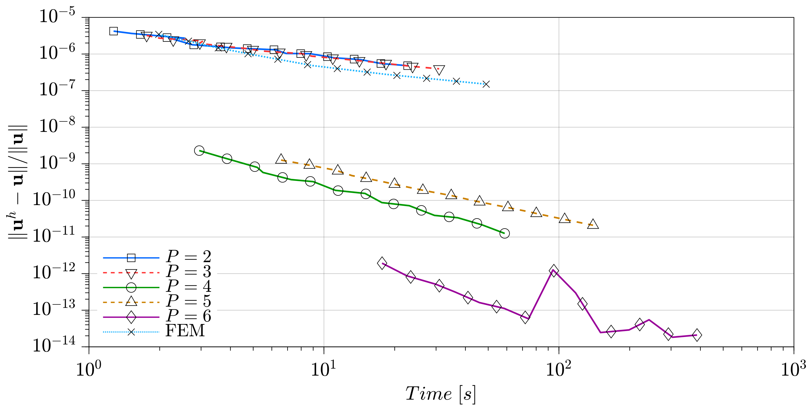
3.5. Sphere
3.6. Engine
- Angle rule:where is a boundary node and is an inner node where the Laplacian is required to be approximated. Equation (36) states that a boundary node can be included in the stencil only if the angle between the outer normal associated to the boundary node and the line connecting to satisfies .
- Distance rule: , i.e., only boundary nodes closer to the center than twice the spacing function can be included in the stencil.
- Number rule: no more than 10 boundary nodes can be included in the stencil.
4. Conclusions
Author Contributions
Funding
Institutional Review Board Statement
Informed Consent Statement
Data Availability Statement
Conflicts of Interest
References
- Versteeg, H.K.; Malalasekera, W. An Introduction to Computational Fluid Dynamics: The Finite Volume Method; Pearson Education: Upper Saddle River, NJ, USA, 2007. [Google Scholar]
- Zienkiewicz, O.C. The Finite Element Method; McGraw-Hill: London, UK, 1977; Volume 3. [Google Scholar]
- Liu, G.R.; Gu, Y.T. An Introduction to Meshfree Methods and Their Programming; Springer Science & Business Media: Boston, NY, USA, 2005. [Google Scholar]
- Zamolo, R.; Nobile, E.; Šarler, B. Novel multilevel techniques for convergence acceleration in the solution of systems of equations arising from RBF-FD meshless discretizations. J. Comput. Phys. 2019, 392, 311–334. [Google Scholar] [CrossRef]
- Liu, G.R. Meshfree Methods: Moving beyond the Finite Element Method; Taylor & Francis: Boca Raton, FL, USA, 2009. [Google Scholar]
- Li, H.; Mulay, S.S. Meshless Methods and Their Numerical Properties; CRC Press: Boca Raton, FL, USA, 2013. [Google Scholar]
- Zamolo, R.; Nobile, E. Solution of incompressible fluid flow problems with heat transfer by means of an efficient RBF-FD meshless approach. Numer. Heat Transf. Part B Fundam. 2019, 75, 19–42. [Google Scholar] [CrossRef]
- Shojaei, A.; Mossaiby, F.; Zaccariotto, M.; Galvanetto, U. A local collocation method to construct Dirichlet-type absorbing boundary conditions for transient scalar wave propagation problems. Comput. Methods Appl. Mech. Eng. 2019, 356, 629–651. [Google Scholar] [CrossRef]
- Shojaei, A.; Hermann, A.; Seleson, P.; Cyron, C.J. Dirichlet absorbing boundary conditions for classical and peridynamic diffusion-type models. Comput. Mech. 2020, 66, 773–793. [Google Scholar] [CrossRef]
- Fornberg, B.; Flyer, N. A Primer on Radial Basis Functions with Applications to the Geosciences; SIAM: Philadelphia, PA, USA, 2015. [Google Scholar] [CrossRef]
- Fornberg, B.; Flyer, N. Solving PDEs with radial basis functions. Acta Numer. 2015, 24, 215–258. [Google Scholar] [CrossRef]
- Divo, E.; Kassab, A.J. An efficient localized radial basis function meshless method for fluid flow and conjugate heat transfer. J. Heat Transf. 2007, 129, 124–136. [Google Scholar] [CrossRef]
- Šarler, B.; Vertnik, R. Meshfree explicit local radial basis function collocation method for diffusion problems. Comput. Math. Appl. 2006, 51, 1269–1282. [Google Scholar] [CrossRef]
- Waters, J.; Pepper, D.W. Global Versus Localized RBF Meshless Methods for Solving Incompressible Fluid Flow with Heat Transfer. Numer. Heat Transf. Part B Fundam. 2015, 68, 185–203. [Google Scholar] [CrossRef]
- Kosec, G.; Slak, J. Radial basis function-generated finite differences solution of natural convection problem in 3D. AIP Conf. Proc. 2020, 2293, 420094. [Google Scholar] [CrossRef]
- Wang, L. Radial basis functions methods for boundary value problems: Performance comparison. Eng. Anal. Bound. Elem. 2017, 84, 191–205. [Google Scholar] [CrossRef]
- Bayona, V.; Flyer, N.; Fornberg, B.; Barnett, G.A. On the role of polynomials in RBF-FD approximations: II. Numerical solution of elliptic PDEs. J. Comput. Phys. 2017, 332, 257–273. [Google Scholar] [CrossRef]
- Flyer, N.; Fornberg, B.; Bayona, V.; Barnett, G.A. On the role of polynomials in RBF-FD approximations: I. Interpolation and accuracy. J. Comput. Phys. 2016, 321, 21–38. [Google Scholar] [CrossRef]
- Bezanson, J.; Edelman, A.; Karpinski, S.; Shah, V.B. Julia: A fresh approach to numerical computing. SIAM Rev. 2017, 59, 65–98. [Google Scholar] [CrossRef]
- Brezis, H. Functional Analysis, Sobolev Spaces and Partial Differential Equations; Springer Science & Business Media: Boston, NY, USA, 2010. [Google Scholar]
- Zamolo, R.; Parussini, L. Analysis of geometric uncertainties in CFD problems solved by RBF-FD meshless method. J. Comput. Phys. 2020, 421, 109730. [Google Scholar] [CrossRef]
- van der Sande, K.; Fornberg, B. Fast Variable Density 3-D Node Generation. SIAM J. Sci. Comput. 2021, 43, A242–A257. [Google Scholar] [CrossRef]
- Slak, J.; Kosec, G. On Generation of Node Distributions for Meshless PDE Discretizations. SIAM J. Sci. Comput. 2019, 41, A3202–A3229. [Google Scholar] [CrossRef]
- Duh, U.; Kosec, G.; Slak, J. Fast variable density node generation on parametric surfaces with application to mesh-free methods. arXiv 2020, arXiv:2005.08767. [Google Scholar]
- Duh, U.; Depolli, M.; Slak, J.; Kosec, G. Parallel point sampling for 3D bodies. In Proceedings of the 2020 43rd International Convention on Information, Communication and Electronic Technology (MIPRO), Opatija, Croatia, 28 September–2 October 2020; pp. 219–223. [Google Scholar] [CrossRef]
- Fornberg, B.; Flyer, N. Fast generation of 2-D node distributions for mesh-free PDE discretizations. Comput. Math. Appl. 2015, 69, 531–544. [Google Scholar] [CrossRef]
- Zamolo, R.; Nobile, E. Two algorithms for fast 2D node generation: Application to RBF meshless discretization of diffusion problems and image halftoning. Comput. Math. Appl. 2018, 75, 4305–4321. [Google Scholar] [CrossRef]
- Zamolo, R. Radial Basis Function-Finite Difference Meshless Methods for CFD Problems. Ph.D. Thesis, Università degli Studi di Trieste, Trieste, Italy, 2019. [Google Scholar]
- Frey, P.; George, P. Mesh Generation: Application to Finite Elements; Wiley: London, UK; ISTE: Washington, DC, USA, 2013. [Google Scholar]
- De Berg, M.; Cheong, O.; van Kreveld, M.; Overmars, M. Computational Geometry: Algorithms and Applications; Springer: Berlin/Heidelberg, Germany, 2008. [Google Scholar]
- Hardy, R.L. Multiquadric equations of topography and other irregular surfaces. J. Geophys. Res. 1971, 76, 1905–1915. [Google Scholar] [CrossRef]
- Šarler, B. From Global to Local Radial Basis Function Collocation Method for Transport Phenomena. In Advances in Meshfree Techniques; Leitao, V.M.A., Alves, C.J.S., Armando Duarte, C., Eds.; Springer: Dordrecht, The Netherlands, 2007; pp. 257–282. [Google Scholar] [CrossRef]
- Yao, G.; Islam, S.U.; Šarler, B. A Comparative Study of Global and Local Meshless Methods for Diffusion-Reaction Equation. CMES Comp. Model. Eng. 2010, 59, 127–154. [Google Scholar] [CrossRef]
- Yao, G.; Islam, S.U.; Šarler, B. Assessment of global and local meshless methods based on collocation with radial basis functions for parabolic partial differential equations in three dimensions. Eng. Anal. Bound. Elem. 2012, 36, 1640–1648. [Google Scholar] [CrossRef]
- Wang, L.; Qian, Z. A meshfree stabilized collocation method (SCM) based on reproducing kernel approximation. Comput. Methods Appl. Mech. Eng. 2020, 371, 113303. [Google Scholar] [CrossRef]
- Hu, H.; Chen, J.; Hu, W. Weighted radial basis collocation method for boundary value problems. Int. J. Numer. Meth. Eng. 2007, 69, 2736–2757. [Google Scholar] [CrossRef]
- Saad, Y. Iterative Methods for Sparse Linear Systems. In Iterative Methods for Sparse Linear Systems. Chapter 10: Preconditioning Techniques, 2nd ed.; SIAM: Philadelphia, PA, USA, 2003; pp. 297–368. [Google Scholar]
- Van der Vorst, H. Bi-CGSTAB: A fast and smoothly converging variant of Bi-CG for the solution of nonsymmetric linear systems. SIAM J. Sci. Comput. 1992, 13, 631–644. [Google Scholar] [CrossRef]
- Bezanson, J.; Karpinski, S.; Shah, V.B.; Edelman, A. Julia: A fast dynamic language for technical computing. arXiv 2012, arXiv:1209.5145. [Google Scholar]
- MathWorks®. Partial Differential Equation ToolboxTM: User’s Guide (R2020b). 2020. Available online: https://www.mathworks.com/help/pdf_doc/pde/pde.pdf (accessed on 18 February 2021).
- Roache, P.J. Code verification by the method of manufactured solutions. J. Fluids Eng. 2002, 124, 4–10. [Google Scholar] [CrossRef]
- Zamolo, R.; Parussini, L. Geometric uncertainty propagation in laminar flows solved by RBF-FD meshless technique. J. Phys. Conf. Ser. 2020, 1599, 012045. [Google Scholar] [CrossRef]
- Gregory, R.; Karney, D. A Collection of Matrices for Testing Computational Algorithms; Wiley-Interscience: New York, NY, USA, 1969. [Google Scholar]









Publisher’s Note: MDPI stays neutral with regard to jurisdictional claims in published maps and institutional affiliations. |
© 2021 by the authors. Licensee MDPI, Basel, Switzerland. This article is an open access article distributed under the terms and conditions of the Creative Commons Attribution (CC BY) license (http://creativecommons.org/licenses/by/4.0/).
Share and Cite
Miotti, D.; Zamolo, R.; Nobile, E. A Fully Meshless Approach to the Numerical Simulation of Heat Conduction Problems over Arbitrary 3D Geometries. Energies 2021, 14, 1351. https://doi.org/10.3390/en14051351
Miotti D, Zamolo R, Nobile E. A Fully Meshless Approach to the Numerical Simulation of Heat Conduction Problems over Arbitrary 3D Geometries. Energies. 2021; 14(5):1351. https://doi.org/10.3390/en14051351
Chicago/Turabian StyleMiotti, Davide, Riccardo Zamolo, and Enrico Nobile. 2021. "A Fully Meshless Approach to the Numerical Simulation of Heat Conduction Problems over Arbitrary 3D Geometries" Energies 14, no. 5: 1351. https://doi.org/10.3390/en14051351
APA StyleMiotti, D., Zamolo, R., & Nobile, E. (2021). A Fully Meshless Approach to the Numerical Simulation of Heat Conduction Problems over Arbitrary 3D Geometries. Energies, 14(5), 1351. https://doi.org/10.3390/en14051351
