Characterization of Pore Structures and Implications for Flow Transport Property of Tight Reservoirs: A Case Study of the Lucaogou Formation, Jimsar Sag, Junggar Basin, Northwestern China
Abstract
1. Introduction
2. Geological Setting
3. Sample and Methods
3.1. Samples
3.2. Methods
3.2.1. Porosity and Permeability
3.2.2. Mercury Intrusion Capillary Porosimetry
3.2.3. X-ray μ-CT
4. Results
4.1. Bulk Property
4.2. MICP Analysis
4.2.1. Features of Pore Network by MICP
4.2.2. Fractal Dimension by MICP
4.3. X-ray μ-CT Analysis
4.3.1. Representative Elementary Volume (REV)
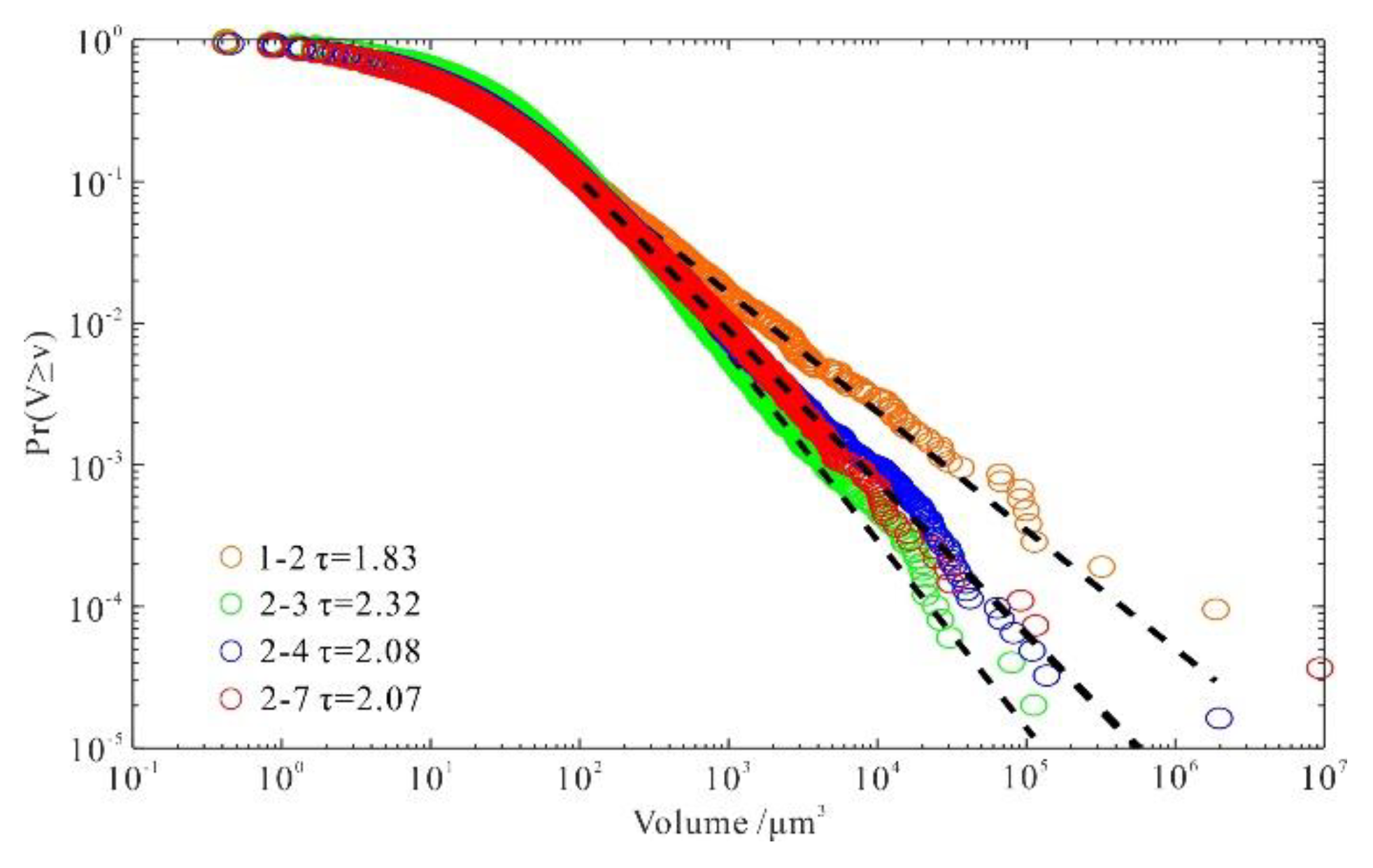
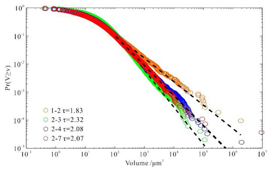
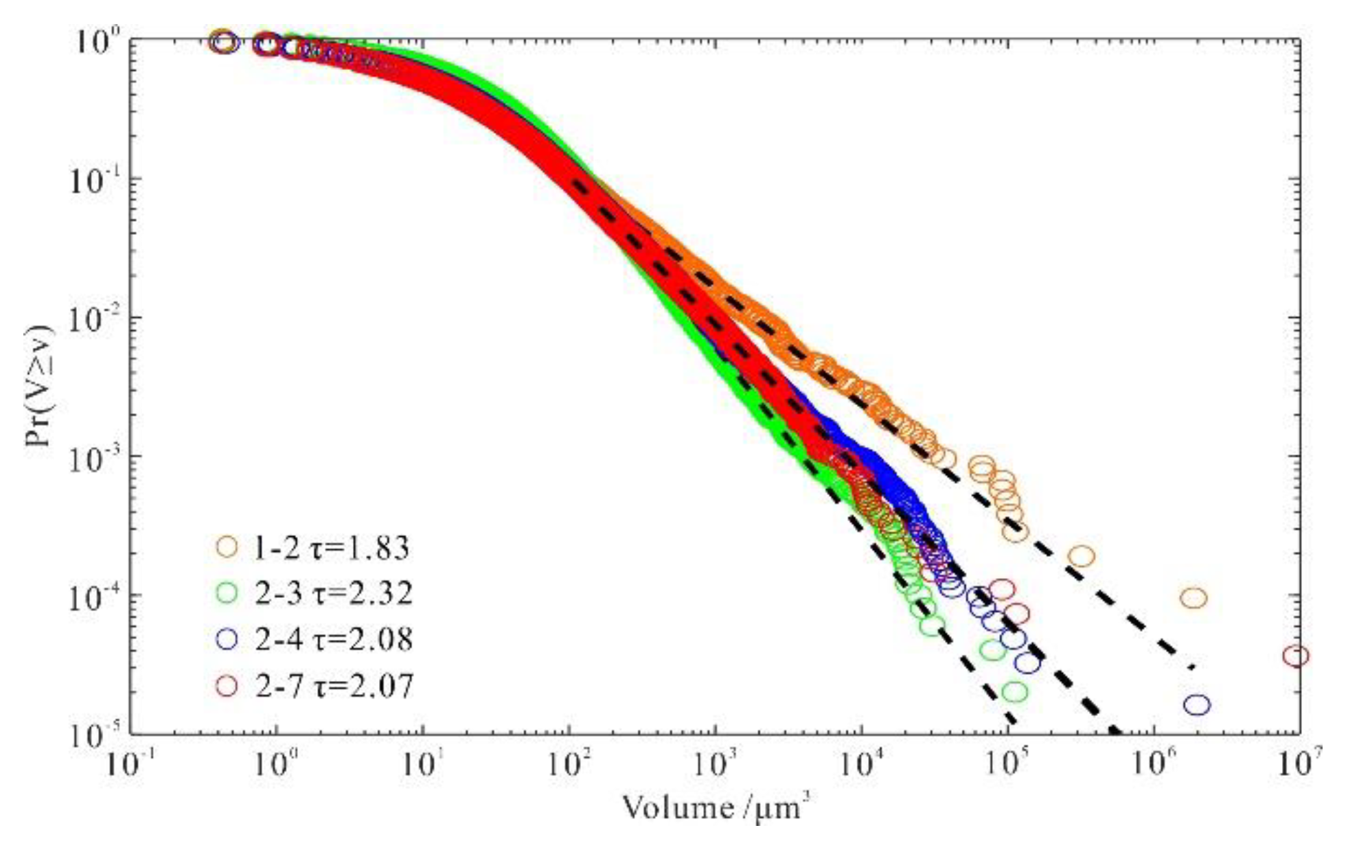
4.3.2. Features of Pore Network by X-ray μ-CT
4.3.3. Fractal Dimension by X-ray μ-CT
5. Discussion
5.1. Implications for a Full-Range of Pore Size Distribution
5.2. Implications for Storage Capability and Transport Capability
6. Conclusions
- (1)
- Tight reservoirs are characterized by diverse lithologies with a wide range of porosities and permeabilities. MICP analyses indicate that pore sizes of tight reservoirs display unimodal distribution patterns, where remarkable differences are observed in the peak width and peak radius. Fractal dimensions are separated by Swanson’s parameter into two segments, where pores with radius less than Rapex have distinct fractal features with Df ranging 2.05–2.37.
- (2)
- 3D pore networks are segmented from X-ray μ-CT images, which are composed of interconnected pores and isolated pores. Individual pores and throats are dominated by irregular shape, and their size distributions are featured by unimodal patterns. Pores are commonly less than 5 μm and pore throats are predominantly less than 1 μm, while the pore volume distribution and maximum values of pore throats show significant differences. Pore network characterized by large average coordination numbers and small tortuosity commonly presents a broad and relatively even distribution of pore volume skewing toward larger pore sizes. Fractal dimension, an indicator of pore network heterogeneity, ranges from 1.66 to 2.32, which is consistent with the results derived from MICP.
- (3)
- The overall pore size distribution is obtained by combining MICP and X-ray μ-CT analysis, which gives a significant insight into the storage and transport capability of tight reservoirs. In general, pores connected by pore throats larger than Rapex account for up to 50% of storage volume, although they control the dominant flowing pathways. As for tight reservoirs with porosity greater than 5%, transport capability of pores connected by pore throats larger than Rapex increases with the increasing storage capability. The heterogeneity of pore network revealed by fractal dimensions shows a negative correlation with storage capability, suggesting that the less the heterogeneous pore network is, the higher storage capability would be. However, the effect of pore network heterogeneity on the transport capability is more complex, as indicated by weak correlations between fractal dimensions and transport-associated parameters.
Author Contributions
Funding
Institutional Review Board Statement
Informed Consent Statement
Data Availability Statement
Acknowledgments
Conflicts of Interest
References
- Zou, C.; Zhai, G.; Zhang, G.; Wang, H.; Zhang, G.; Li, J.; Wang, Z.; Wen, Z.; Ma, F.; Liang, Y.; et al. Formation, distribution, potential and prediction of global conventional and unconventional hydrocarbon resources. Pet. Explor. Dev. 2015, 42, 14–28. [Google Scholar] [CrossRef]
- Yu, W.; Sepehrnoori, K. Chapter 1—Introduction of Shale Gas and Tight Oil Reservoirs. In Shale Gas and Tight Oil Reservoir Simulation; Yu, W., Sepehrnoori, K., Eds.; Gulf Professional Publishing: Oxford, UK, 2018; pp. 1–10. [Google Scholar]
- Song, Z.; Song, Y.; Li, Y.; Bai, B.; Song, K.; Hou, J. A critical review of CO2 enhanced oil recovery in tight oil reservoirs of North America and China. Fuel 2020, 276, 118006. [Google Scholar] [CrossRef]
- Loucks, R.G.; Ruppel, S.C. Mississippian Barnett Shale: Lithofacies and depositional setting of a deep-water shale-gas succession in the Fort Worth Basin, Texas. AAPG Bull. 2007, 91, 579–601. [Google Scholar] [CrossRef]
- Zou, C.; Tao, S.; Hou, L.; Zhu, R.; Yuan, X.; Zhang, G. Unconventional Petroleum Geology; Geological Publishing House: Beijing, China, 2014. [Google Scholar]
- Xi, K.; Cao, Y.; Haile, B.G.; Zhu, R.; Jahren, J.; Bjørlykke, K.; Zhang, X.; Hellevang, H. How does the pore-throat size control the reservoir quality and oiliness of tight sandstones? The case of the Lower Cretaceous Quantou Formation in the southern Songliao Basin, China. Mar. Pet. Geol. 2016, 76, 1–15. [Google Scholar] [CrossRef]
- Saraji, S.; Piri, M. The representative sample size in shale oil rocks and nano-scale characterization of transport properties. Int. J. Coal Geol. 2015, 146, 42–54. [Google Scholar] [CrossRef]
- Berg, S.; Rücker, M.; Ott, H.; Georgiadis, A.; van der Linde, H.; Enzmann, F.; Kersten, M.; Armstrong, R.T.; de With, S.; Becker, J. Connected pathway relative permeability from pore-scale imaging of imbibition. Adv. Water Resour. 2016, 90, 24–35. [Google Scholar] [CrossRef]
- Schmitt Rahner, M.; Fernandes, C.; Wolf, F.; Cunha Neto, J.A.; Rahner, C.; Santos, V. Characterization of Brazilian tight gas sandstones relating permeability and Angstrom-to micron-scale pore structures. J. Nat. Gas Sci. Eng. 2015, 27, 785–807. [Google Scholar] [CrossRef]
- Cao, Z.; Liu, G.; Zhan, H.; Li, C.; You, Y.; Yang, C.; Jiang, H. Pore structure characterization of Chang-7 tight sandstone using MICP combined with N2GA techniques and its geological control factors. Sci. Rep. 2016, 6, 36919. [Google Scholar] [CrossRef]
- An, S.; Yao, J.; Yang, Y.; Zhang, L.; Zhao, J.; Gao, Y. Influence of pore structure parameters on flow characteristics based on a digital rock and the pore network model. J. Nat. Gas Sci. Eng. 2016, 31, 156–163. [Google Scholar] [CrossRef]
- Gao, H.; Cao, J.; Wang, C.; He, M.; Dou, L.; Huang, X.; Li, T. Comprehensive characterization of pore and throat system for tight sandstone reservoirs and associated permeability determination method using SEM, rate-controlled mercury and high pressure mercury. J. Pet. Sci. Eng. 2019, 174, 514–524. [Google Scholar] [CrossRef]
- Xiao, D.; Jiang, S.; Thul, D.; Huang, W.; Lu, Z.; Lu, S. Combining rate-controlled porosimetry and NMR to probe full-range pore throat structures and their evolution features in tight sands: A case study in the Songliao Basin, China. Mar. Pet. Geol. 2017, 83, 111–123. [Google Scholar] [CrossRef]
- Hemes, S.; Desbois, G.; Urai, J.L.; Schröppel, B.; Schwarz, J.-O. Multi-scale characterization of porosity in Boom Clay (HADES-level, Mol, Belgium) using a combination of X-ray μ-CT, 2D BIB-SEM and FIB-SEM tomography. Microporous Mesoporous Mater. 2015, 208, 1–20. [Google Scholar] [CrossRef]
- Zhang, P.; Lee, Y.I.; Zhang, J. A review of high-resolution X-ray computed tomography applied to petroleum geology and a case study. Micron 2019, 124, 102702. [Google Scholar] [CrossRef]
- Conroy, G.C.; Vannier, M.W. Noninvasive Three-Dimensional Computer Imaging of Matrix-Filled Fossil Skulls by High-Resolution Computed Tomography. Science 1984, 226, 456. [Google Scholar] [CrossRef] [PubMed]
- Long, H.; Swennen, R.; Foubert, A.; Dierick, M.; Jacobs, P. 3D quantification of mineral components and porosity distribution in Westphalian C sandstone by microfocus X-ray computed tomography. Sediment. Geol. 2009, 220, 116–125. [Google Scholar] [CrossRef]
- Cnudde, V.; Boone, M.N. High-resolution X-ray computed tomography in geosciences: A review of the current technology and applications. Earth-Sci. Rev. 2013, 123, 1–17. [Google Scholar] [CrossRef]
- Remeysen, K.; Swennen, R. Application of microfocus computed tomography in carbonate reservoir characterization: Possibilities and limitations. Mar. Pet. Geol. 2008, 25, 486–499. [Google Scholar] [CrossRef]
- Van Geet, M.; Swennen, R.; Wevers, M. Towards 3-D petrography: Application of microfocus computer tomography in geological science. Comput. Geosci. 2001, 27, 1091–1099. [Google Scholar] [CrossRef]
- Remeysen, K.; Swennen, R. Beam hardening artifact reduction in microfocus computed tomography for improved quantitative coal characterization. Int. J. Coal Geol. 2006, 67, 101–111. [Google Scholar] [CrossRef]
- Peng, S.; Hu, Q.; Dultz, S.; Zhang, M. Using X-ray computed tomography in pore structure characterization for a Berea sandstone: Resolution effect. J. Hydrol. 2012, 472–473, 254–261. [Google Scholar] [CrossRef]
- Schlüter, S.; Sheppard, A.; Brown, K.; Wildenschild, D. Image processing of multiphase images obtained via X-ray microtomography: A review. Water Resour. Res. 2014, 50, 3615–3639. [Google Scholar] [CrossRef]
- Saif, T.; Lin, Q.; Butcher, A.R.; Bijeljic, B.; Blunt, M.J. Multi-scale multi-dimensional microstructure imaging of oil shale pyrolysis using X-ray micro-tomography, automated ultra-high resolution SEM, MAPS Mineralogy and FIB-SEM. Appl. Energy 2017, 202, 628–647. [Google Scholar] [CrossRef]
- Smal, P.; Gouze, P.; Rodriguez, O. An automatic segmentation algorithm for retrieving sub-resolution porosity from X-ray tomography images. J. Pet. Sci. Eng. 2018, 166, 198–207. [Google Scholar] [CrossRef]
- Dong, H.; Blunt, M.J. Pore-network extraction from micro-computerized-tomography images. Phys. Rev. E 2009, 80, 036307. [Google Scholar] [CrossRef] [PubMed]
- Blunt, M.J. Multiphase Flow in Permeable Media: A Pore-Scale Perspective; Cambridge University Press: London, UK, 2017. [Google Scholar]
- Lai, J.; Wang, G.; Cao, J.; Xiao, C.; Wang, S.; Pang, X.; Dai, Q.; He, Z.; Fan, X.; Yang, L.; et al. Investigation of pore structure and petrophysical property in tight sandstones. Mar. Pet. Geol. 2018, 91, 179–189. [Google Scholar] [CrossRef]
- Zhao, P.; Wang, Z.; Sun, Z.; Cai, J.; Wang, L. Investigation on the pore structure and multifractal characteristics of tight oil reservoirs using NMR measurements: Permian Lucaogou Formation in Jimusaer Sag, Junggar Basin. Mar. Pet. Geol. 2017, 86, 1067–1081. [Google Scholar] [CrossRef]
- Su, Y.; Zha, M.; Ding, X.; Qu, J.; Wang, X.; Yang, C.; Iglauer, S. Pore type and pore size distribution of tight reservoirs in the Permian Lucaogou Formation of the Jimsar Sag, Junggar Basin, NW China. Mar. Pet. Geol. 2018, 89, 761–774. [Google Scholar] [CrossRef]
- Schmitt Rahner, M.; Halisch, M.; Peres Fernandes, C.; Weller, A.; Sampaio Santiago dos Santos, V. Fractal dimensions of pore spaces in unconventional reservoir rocks using X-ray nano- and micro-computed tomography. J. Nat. Gas Sci. Eng. 2018, 55, 298–311. [Google Scholar] [CrossRef]
- Zhao, Y.; Zhu, G.; Dong, Y.; Danesh, N.N.; Chen, Z.; Zhang, T. Comparison of low-field NMR and microfocus X-ray computed tomography in fractal characterization of pores in artificial cores. Fuel 2017, 210, 217–226. [Google Scholar] [CrossRef]
- Kuang, L.; Tang, Y.; Lei, D.; Chang, Q.; Ouyang, M.; Hou, L.; Liu, D. Formation conditions and exploration potential of tight oil in the Permian saline lacustrine dolomitic rock, Junggar Basin, NW China. Pet. Explor. Dev. 2012, 39, 700–711. [Google Scholar] [CrossRef]
- Ma, K.; Hou, J.; Liu, Y.; Shi, Y.; Yan, L.; Chen, F. The sedimentary model of saline lacustrine mixed sedimentation in Permian Lucaogou Formation Jimsar sag. Acta Pet. Sin. 2017, 36, 636–648. [Google Scholar]
- Jiang, Y.; Liu, Y.; Yang, Z.; Nan, Y.; Wang, R.; Zhou, P.; Yang, Y.; Kou, J.; Zhou, N. Characteristics and origin of tuff-type tight oil in Jimusaer sag, Junggar Basin, NW China. Pet. Explor. Dev. 2015, 42, 810–818. [Google Scholar] [CrossRef]
- Liu, C.; Liu, K.; Wang, X.; Zhu, R.; Wu, L.; Xu, X. Chemo-sedimentary facies analysis of fine-grained sediment formations: An example from the Lucaogou Fm in the Jimusaer sag, Junggar Basin, NW China. Mar. Pet. Geol. 2019, 110, 388–402. [Google Scholar] [CrossRef]
- Cao, Z.; Liu, G.; Zhan, H.; Kong, Y.; Niu, Z.; Zhao, D. Geological control factors of micro oil distribution in tight reservoirs. Mar. Pet. Geol. 2016, 77, 1193–1205. [Google Scholar] [CrossRef]
- Tian, H.; Zhang, S.; Liu, S.; Ma, X.; Zhang, H. Parameter optimization of tight reservoir porosity determination. Pet. Geol. Exp. 2012, 34, 334–339. [Google Scholar]
- Tanikawa, W.; Shimamoto, T. Klinkenberg effect for gas permeability and its comparison to water permeability for porous sedimentary rocks. Hydrol. Earth Syst. Sci. Discuss. 2006, 2006, 1315–1338. [Google Scholar]
- Pittman, E.D. Relationship of porosity and permeability to various parameters derived from mercury injection-capillary pressure curves for sandstone. Aapg Bull. 1992, 76, 191–198. [Google Scholar]
- Lai, J.; Wang, G. Fractal analysis of tight gas sandstones using high-pressure mercury intrusion techniques. J. Nat. Gas Sci. Eng. 2015, 24, 185–196. [Google Scholar] [CrossRef]
- Wang, H.; Wu, W.; Chen, T.; Yu, J.; Pan, J. Pore structure and fractal analysis of shale oil reservoirs: A case study of the Paleogene Shahejie Formation in the Dongying Depression, Bohai Bay, China. J. Pet. Sci. Eng. 2019, 177, 711–723. [Google Scholar] [CrossRef]
- Li, K.; Horne, R.N. Comparison of methods to calculate relative permeability from capillary pressure in consolidated water-wet porous media. Water Resour. Res. 2006, 42. [Google Scholar] [CrossRef]
- Mandelbrot, B.B. The Fractal Geometry of Nature; W.H. Freeman: San Francisco, CA, USA, 1982. [Google Scholar]
- Li, K. Analytical derivation of Brooks–Corey type capillary pressure models using fractal geometry and evaluation of rock heterogeneity. J. Pet. Sci. Eng. 2010, 73, 20–26. [Google Scholar] [CrossRef]
- Washburn, E.W. The Dynamics of Capillary Flow. Phys. Rev. 1921, 17, 273–283. [Google Scholar] [CrossRef]
- Su, P.; Xia, Z.; Qu, L.; Yu, W.; Wang, P.; Li, D.; Kong, X. Fractal characteristics of low-permeability gas sandstones based on a new model for mercury intrusion porosimetry. J. Nat. Gas Sci. Eng. 2018, 60, 246–255. [Google Scholar] [CrossRef]
- Buades, A.; Coll, B.; Morel, J.M. A non-local algorithm for image denoising. In Proceedings of the 2005 IEEE Computer Society Conference on Computer Vision and Pattern Recognition (CVPR’05), Washington, DC, USA, 20–25 June 2005; pp. 60–65. [Google Scholar]
- Markussen, Ø.; Dypvik, H.; Hammer, E.; Long, H.; Hammer, Ø. 3D characterization of porosity and authigenic cementation in Triassic conglomerates/arenites in the Edvard Grieg field using 3D micro-CT imaging. Mar. Pet. Geol. 2019, 99, 265–281. [Google Scholar] [CrossRef]
- Bruns, S.; Stipp, S.L.S.; Sørensen, H.O. Statistical Representative Elementary Volumes of Porous Media determined using Greyscale Analysis of 3D Tomograms. Adv. Water Resour. 2017, 107, 32–42. [Google Scholar] [CrossRef]
- Zambrano, M.; Tondi, E.; Mancini, L.; Arzilli, F.; Lanzafame, G.; Materazzi, M.; Torrieri, S. 3D Pore-network quantitative analysis in deformed carbonate grainstones. Mar. Pet. Geol. 2017, 82, 251–264. [Google Scholar] [CrossRef]
- Al-Raoush, R.; Papadopoulos, A. Representative elementary volume analysis of porous media using X-ray computed tomography. Powder Technol. 2010, 200, 69–77. [Google Scholar] [CrossRef]
- Wu, Y.; Lin, C.; Ren, L.; Yan, W.; An, S.; Chen, B.; Wang, Y.; Zhang, X.; You, C.; Zhang, Y. Reconstruction of 3D porous media using multiple-point statistics based on a 3D training image. J. Nat. Gas Sci. Eng. 2018, 51, 129–140. [Google Scholar] [CrossRef]
- Mason, G.; Morrow, N.R. Capillary behavior of a perfectly wetting liquid in irregular triangular tubes. J. Colloid Interface Sci. 1991, 141, 262–274. [Google Scholar] [CrossRef]
- Wu, Y.; Tahmasebi, P.; Lin, C.; Zahid, M.A.; Dong, C.; Golab, A.N.; Ren, L. A comprehensive study on geometric, topological and fractal characterizations of pore systems in low-permeability reservoirs based on SEM, MICP, NMR, and X-ray CT experiments. Mar. Pet. Geol. 2019, 103, 12–28. [Google Scholar] [CrossRef]
- Wu, H.; Ji, Y.; Liu, R.; Zhang, C.; Chen, S. Insight into the Pore Structure of Tight Gas Sandstones: A Case Study in the Ordos Basin, NW China. Energy Fuels 2017, 31, 13159–13178. [Google Scholar] [CrossRef]
- Wang, R.; Chi, Y.; Zhang, L.; He, R.; Tang, Z.; Liu, Z. Comparative studies of microscopic pore throat characteristics of unconventional super-low permeability sandstone reservoirs: Examples of Chang 6 and Chang 8 reservoirs of Yanchang Formation in Ordos Basin, China. J. Pet. Sci. Eng. 2018, 160, 72–90. [Google Scholar] [CrossRef]
- Zou, C.; Zhu, R.; Bai, B.; Yang, Z.; Wu, S.; Su, L.; Dong, D.; Li, X. First discovery of nano-pore throat in oil and gas reservoir in China and its scientific value. Acta Petrol. Sin. 2011, 27, 1857–1864. [Google Scholar]
- Sun, L.; Wang, X.; Jin, X.; Li, J.; Wu, S. Three dimensional characterization and quantitative connectivity analysis of micro/nano pore space. Pet. Explor. Dev. 2016, 43, 537–546. [Google Scholar] [CrossRef]
- Iglauer, S.; Wülling, W. The scaling exponent of residual nonwetting phase cluster size distributions in porous media. Geophys. Res. Lett. 2016, 43, 11253–11260. [Google Scholar] [CrossRef]
- Qiao, J.; Zeng, J.; Jiang, S.; Ma, Y.; Feng, S.; Xie, H.; Wang, Y.; Hu, H. Role of pore structure in the percolation and storage capacities of deeply buried sandstone reservoirs: A case study of the Junggar Basin, China. Mar. Pet. Geol. 2020, 113, 104129. [Google Scholar] [CrossRef]
- Shao, X.; Pang, X.; Jiang, F.; Li, L.; Huyan, Y.; Zheng, D. Reservoir Characterization of Tight Sandstones Using Nuclear Magnetic Resonance and Incremental Pressure Mercury Injection Experiments: Implication for Tight Sand Gas Reservoir Quality. Energy Fuels 2017, 31, 10420–10431. [Google Scholar] [CrossRef]
- Ma, K.; Hou, J.; Yan, L.; Chen, F. Pore-throat structures and their control of terrestrial lacustrine tight reservoir quality: The Permian Lucaogou Formation, Jimsar Sag, northwestern China. Interpretation 2018, 6, T889–T906. [Google Scholar] [CrossRef]
- Swanson, B.F. A Simple Correlation Between Permeabilities and Mercury Capillary Pressures. SPE-7837-PA 1981, 33, 2498–2504. [Google Scholar] [CrossRef]
- Lai, J.; Wang, G.; Wang, Z.; Chen, J.; Pang, X.; Wang, S.; Zhou, Z.; He, Z.; Qin, Z.; Fan, X. A review on pore structure characterization in tight sandstones. Earth-Sci. Rev. 2018, 177, 436–457. [Google Scholar] [CrossRef]
- Huang, W.; Lu, S.; Hersi, O.S.; Wang, M.; Deng, S.; Lu, R. Reservoir spaces in tight sandstones: Classification, fractal characters, and heterogeneity. J. Nat. Gas Sci. Eng. 2017, 46, 80–92. [Google Scholar] [CrossRef]















| Sample No. | φ /% | K /10−3μm2 | Pd /MPa | rmax /μm | SHgmax /% | We /% | Rapex /μm | SHgapex /% | PCapex /MPa |
|---|---|---|---|---|---|---|---|---|---|
| 1-A-1 | 6.02 | 0.00039 | 0.7059 | 1.0412 | 55.23 | 10.27 | 0.3213 | 33.69 | 4.5778 |
| 1-A-2 | 8.33 | 0.00243 | 0.0729 | 10.0836 | 74.69 | 1.66 | 3.5370 | 34.58 | 0.4158 |
| 1-A-3 | 9.06 | 0.00059 | 0.2841 | 0.4074 | 86.25 | 33.19 | 2.0292 | 36.42 | 0.7248 |
| 1-A-4 | 7.79 | 0.00029 | 0.0455 | 16.1552 | 89.45 | 2.14 | 20.1814 | 24.78 | 0.07288 |
| 1-B-5 | 4.48 | 0.00086 | 0.0455 | 16.1552 | 77.36 | 3.09 | 3.5760 | 18.12 | 0.4113 |
| 1-C-6 | 15.22 | 0.44609 | 0.2841 | 2.5871 | 95.02 | 30.48 | 2.0292 | 36.42 | 0.7248 |
| 2-A-1 | 3.47 | 0.00025 | 1.1466 | 0.641 | 38.14 | 13.12 | 0.2005 | 8.26 | 7.3341 |
| 2-A-2 | 1.99 | 0.00044 | 0.0115 | 63.9924 | 51.38 | 1.98 | 20.1814 | 4.57 | 0.0729 |
| 2-A-3 | 4.14 | 0.00042 | 0.2476 | 2.9679 | 54.42 | 1.63 | 2.1420 | 15.58 | 0.6867 |
| 2-B-4 | 6.16 | 0.00039 | 0.7135 | 1.0302 | 84.09 | 10.34 | 0.8108 | 32.61 | 1.8141 |
| 2-D-5 | 3.74 | 0.00035 | 0.43 | 1.7093 | 42.76 | 24.73 | 0.8122 | 20.52 | 1.8108 |
| 2-C-6 | 11.26 | 0.01193 | 0.438 | 1.678 | 63.18 | 15.89 | 1.2949 | 41.04 | 1.1359 |
| 2-E-7 | 16.17 | 0.20742 | 0.4365 | 1.6838 | 98.16 | 11.28 | 1.2823 | 50.63 | 1.1470 |
| Sample No. | Df1 | R2Df1 | Df2 | R2Df2 |
|---|---|---|---|---|
| 1-A-1 | 3.84 | 0.953 | 2.07 | 0.8194 |
| 1-A-2 | 4.32 | 0.9977 | 2.08 | 0.8054 |
| 1-A-3 | 5.44 | 0.9452 | 2.19 | 0.8027 |
| 1-A-4 | 2.91 | 0.8459 | 2.09 | 0.9401 |
| 1-B-5 | 3.01 | 0.9782 | 2.14 | 0.8731 |
| 1-C-6 | 5.37 | 0.9495 | 2.14 | 0.8802 |
| 2-A-1 | 3.14 | 0.9955 | 2.37 | 0.9202 |
| 2-A-2 | 3.27 | 0.9722 | 2.34 | 0.9561 |
| 2-A-3 | 4.58 | 0.9479 | 2.21 | 0.9227 |
| 2-B-4 | 3.45 | 0.9536 | 2.13 | 0.8574 |
| 2-D-5 | 3.58 | 0.9651 | 2.11 | 0.8122 |
| 2-C-6 | 5.08 | 0.9403 | 2.05 | 0.8513 |
| 2-E-7 | 4.46 | 0.9645 | 2.08 | 0.7132 |
| Sample No. | Tortuosity | Average Coordination Number | Df3 |
|---|---|---|---|
| 1-A-1 | 9.76 | 0.0063 | 2.03 |
| 1-A-2 | 4.32 | 0.035 | 1.75 |
| 1-A-3 | 5.61 | 0.011 | 1.95 |
| 1-A-4 | 6.88 | 0.0077 | 2.06 |
| 1-B-5 | 6.65 | 0.0086 | 1.83 |
| 1-C-6 | 2.76 | 0.058 | 1.66 |
| 2-A-1 | 5.74 | 0.0093 | 2.01 |
| 2-A-2 | 6.81 | 0.0058 | 2.20 |
| 2-A-3 | 5.60 | 0.011 | 2.32 |
| 2-B-4 | 3.96 | 0.024 | 2.04 |
| 2-D-5 | 5.21 | 0.0089 | 1.91 |
| 2-C-6 | 3.03 | 0.054 | 1.83 |
| 2-E-7 | 2.89 | 0.072 | 1.77 |
Publisher’s Note: MDPI stays neutral with regard to jurisdictional claims in published maps and institutional affiliations. |
© 2021 by the authors. Licensee MDPI, Basel, Switzerland. This article is an open access article distributed under the terms and conditions of the Creative Commons Attribution (CC BY) license (http://creativecommons.org/licenses/by/4.0/).
Share and Cite
Su, Y.; Zha, M.; Liu, K.; Ding, X.; Qu, J.; Jin, J. Characterization of Pore Structures and Implications for Flow Transport Property of Tight Reservoirs: A Case Study of the Lucaogou Formation, Jimsar Sag, Junggar Basin, Northwestern China. Energies 2021, 14, 1251. https://doi.org/10.3390/en14051251
Su Y, Zha M, Liu K, Ding X, Qu J, Jin J. Characterization of Pore Structures and Implications for Flow Transport Property of Tight Reservoirs: A Case Study of the Lucaogou Formation, Jimsar Sag, Junggar Basin, Northwestern China. Energies. 2021; 14(5):1251. https://doi.org/10.3390/en14051251
Chicago/Turabian StyleSu, Yang, Ming Zha, Keyu Liu, Xiujian Ding, Jiangxiu Qu, and Jiehua Jin. 2021. "Characterization of Pore Structures and Implications for Flow Transport Property of Tight Reservoirs: A Case Study of the Lucaogou Formation, Jimsar Sag, Junggar Basin, Northwestern China" Energies 14, no. 5: 1251. https://doi.org/10.3390/en14051251
APA StyleSu, Y., Zha, M., Liu, K., Ding, X., Qu, J., & Jin, J. (2021). Characterization of Pore Structures and Implications for Flow Transport Property of Tight Reservoirs: A Case Study of the Lucaogou Formation, Jimsar Sag, Junggar Basin, Northwestern China. Energies, 14(5), 1251. https://doi.org/10.3390/en14051251
