The Impact of Cracks in BIPV Modules on Power Outputs: A Case Study Based on Measured and Simulated Data
Abstract
1. Introduction
2. Methodology
2.1. Overview of BIPV Modules
2.2. Description of Cracked and Non-Cracked BIPV Modules
- Mode A: If all cells of the PV module crack in mode A, the power loss is ~2.5%;
- Mode B: If half the cells of the PV module crack in mode B, the power loss is nearly 10%;
- Mode C: If an EL image taken at 1/10 of the short current reveals only background noise for the inactive cell part.
2.3. Field Test Facility Used for BIPV Modules
2.4. Simulation-Based PV Model
3. Results and Discussion
3.1. Performance Evaluation of BIPV Modules Based on Measured Data from the Test Facility
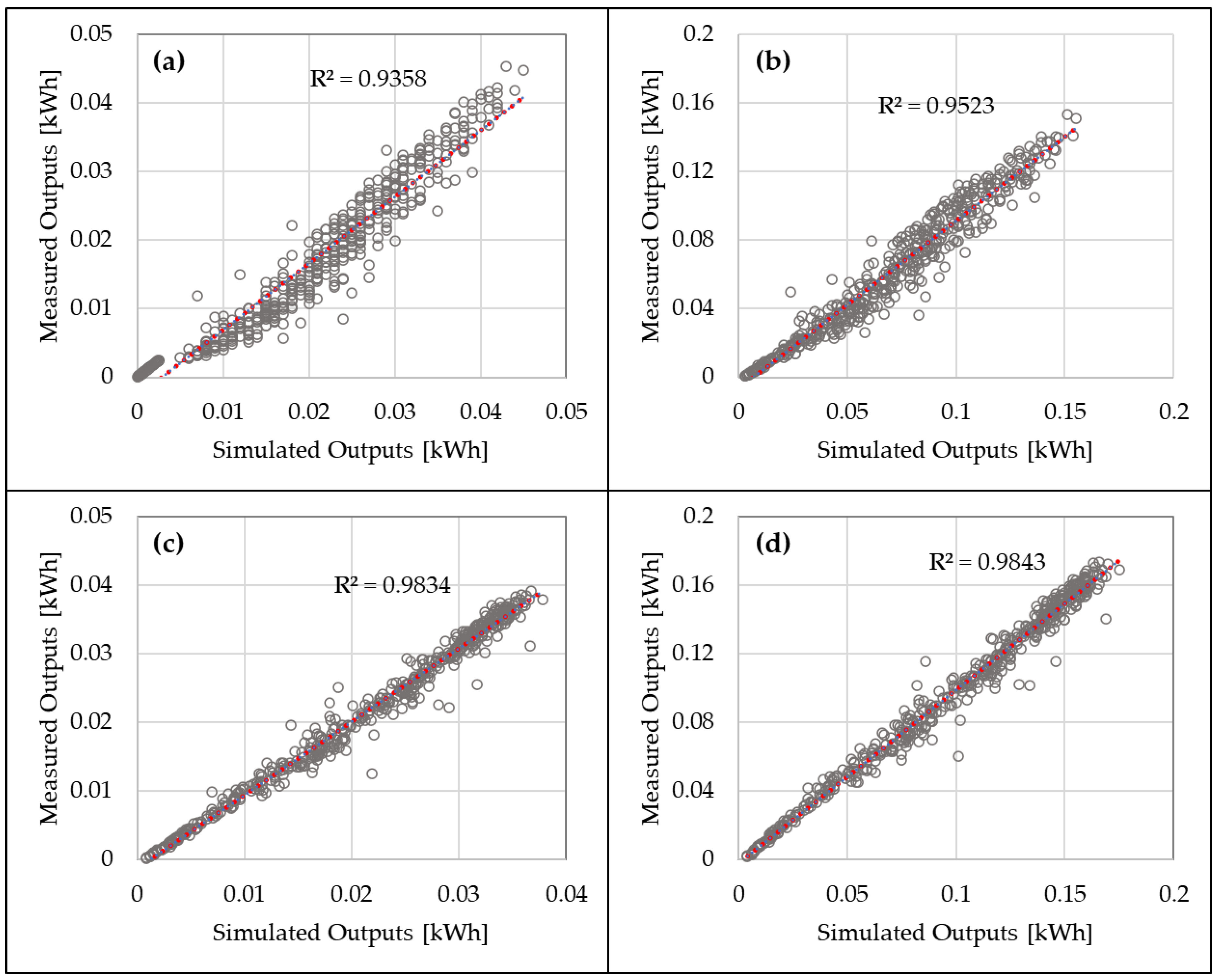
3.2. Comparison of PV Power Generation between Measured and Simulated Data
3.3. Evaluation of BIPV Module Yield and Efficiency from Simulation-Based Analysis
4. Conclusions
- In terms of the performance evaluation of cracked and reference BIPV modules based on the measured data, cracked modules in the vertical plane exhibited significant reductions in their output, amounting to 40–43% reduction for the measurement period (i.e., February through April). The cracked modules in the inclined plane position also exhibited ≥33% output reduction when compared to that of the reference module in the same plane position.
- The validation results indicated that the SolarPro tool can reasonably predict the power outputs of actual BIPV modules under the criteria defined in ASHRAE Guideline 14 by illustrating acceptable agreements between the measured and simulated data, as well as a strong correlation between each dataset.
- After proper validation of the simulated BIPV model, cumulative output yields and efficiencies were analyzed to investigate the impacts of the cracks in the BIPV modules on monthly and annual performance. The comparative results revealed that output reductions of ~34.6–35.4% occurred when cracks were present in the BIPV modules. As expected, for the vertical plane modules, the greatest output reductions were observed during the winter months, whereas the inclined place modules exhibited the greatest reductions in summer months. When annual reductions in BIPV output yields and efficiencies were analyzed, a 35% of reduction in both vertical and inclined plane modules was observed.
Author Contributions
Funding
Data Availability Statement
Acknowledgments
Conflicts of Interest
References
- U.S. Energy Information Administration. In EIA Energy Outlook 2020 with Projections to 2050; EIA: Washington, DC, USA, 2020.
- Pylsy, P.; Lylykangas, K.; Kurnitski, J. Buildings’ energy efficiency measures effect on CO2 emissions in combined heating, cooling and electricity production. Renew. Sustain. Energy Rev. 2020, 134, 110299. [Google Scholar] [CrossRef]
- Kim, D.; Cho, H.; Koh, J.; Im, P. Net-zero energy building design and life-cycle cost analysis with air-source variable refrigerant flow and distributed photovoltaic systems. Renew. Sustain. Energy Rev. 2020, 118, 109508. [Google Scholar] [CrossRef]
- CSR. U.S. Carbon Dioxide Emissions in the Electricity Sector: Factors, Trends, and Projections. 2019. Available online: https://crsreports.congress.gov (accessed on 30 December 2020).
- Kim, D.; Cho, H.; Luck, R. Potential impacts of net-zero energy buildings with distributed photovoltaic power generation on the U.S. electrical grid. J. Energy Resour. Technol. Trans. Asme 2019, 141, 1–15. [Google Scholar] [CrossRef]
- Pinel, D.; Korpås, M.; Lindberg, K.B. Impact of the CO2 factor of electricity and the external CO2 compensation price on zero emission neighborhoods’ energy system design. Build. Environ. 2020, 187. [Google Scholar] [CrossRef]
- Pelle, M.; Lucchi, E.; Maturi, L.; Astigarraga, A.; Causone, F. Coloured BIPV technologies: Methodological and experimental assessment for architecturally sensitive areas. Energies 2020, 13, 4506. [Google Scholar] [CrossRef]
- Freitas, S.; Brito, M.C. Solar façades for future cities. Renew. Energy Focus 2019, 31, 73–79. [Google Scholar] [CrossRef]
- Al-Janahi, S.A.; Ellabban, O.; Al-Ghamdi, S.G. A novel BIPV reconfiguration algorithm for maximum power generation under partial shading. Energies 2020, 13, 4470. [Google Scholar] [CrossRef]
- Lee, H.; Yoon, J. Power performance analysis of a transparent DSSC BIPV window based on 2 year measurement data in a full-scale mock-up. Appl. Energy 2018, 225, 1013–1021. [Google Scholar] [CrossRef]
- Shukla, A.K.; Sudhakar, K.; Baredar, P. Recent advancement in BIPV product technologies: A review. Energy Build. 2017, 140, 188–195. [Google Scholar] [CrossRef]
- Jakica, N. State-of-the-art review of solar design tools and methods for assessing daylighting and solar potential for building-integrated photovoltaics. Renew. Sustain. Energy Rev. 2018, 81, 1296–1328. [Google Scholar] [CrossRef]
- Tripathy, M.; Sadhu, P.K.; Panda, S.K. A critical review on building integrated photovoltaic products and their applications. Renew. Sustain. Energy Rev. 2016, 61, 451–465. [Google Scholar] [CrossRef]
- Abdelhamid, M.; Singh, R.; Omar, M. Review of microcrack detection techniques for silicon solar cells. IEEE J. Photovolt. 2014, 4, 514–524. [Google Scholar] [CrossRef]
- Haase, F.; Kasewieter, J.; Nabavi, S.R.; Jansen, E.; Rolfes, R.; Kontges, M. Fracture probability, crack patterns, and crack widths of multicrystalline silicon solar cells in PV modules during mechanical loading. IEEE J. Photovolt. 2018, 8, 1510–1524. [Google Scholar] [CrossRef]
- Kntges, M.; Kunze, I.; Kajari-Schrder, S.; Breitenmoser, X.; Bjørneklett, B. The risk of power loss in crystalline silicon based photovoltaic modules due to micro-cracks. Sol. Energy Mater. Sol. Cells 2011, 95, 1131–1137. [Google Scholar] [CrossRef]
- Wen, T.K.; Yin, C.C. Crack detection in photovoltaic cells by interferometric analysis of electronic speckle patterns. Sol. Energy Mater. Sol. Cells 2012, 98, 216–223. [Google Scholar] [CrossRef]
- Kajari-Schröder, S.; Kunze, I.; Köntges, M. Criticality of cracks in PV modules. Energy Procedia 2012, 27, 658–663. [Google Scholar] [CrossRef]
- Köntges, M.; Kajari-Schröder, S.; Kunze, I.; Jahn, U. Crack Statistic of Crystalline Silicon Photovoltaic Modules. In Proceedings of the 26th European Photovoltaic Solar Energy Conference and Exhibition, Hamburg, Germany, 5–9 September 2011; pp. 3290–3294. [Google Scholar] [CrossRef]
- Arnaud, M.; Felix, H.; Marc, K. Impact of Cracks in Multicrystalline Silicon Solar Cells on PV Module Power—A Simulation Study Based on Field Data. IEEE J. Photovolt. 2015, 5, 1735–1741. [Google Scholar] [CrossRef]
- Buerhop, C.; Wirsching, S.; Bemm, A.; Pickel, T.; Hohmann, P.; Nieß, M.; Vodermayer, C.; Huber, A.; Glück, B.; Mergheim, J.; et al. Evolution of cell cracks in PV-modules under field and laboratory conditions. Prog. Photovolt. 2018, 26, 261–272. [Google Scholar] [CrossRef]
- Xiong, H. Formation and Orientational Distribution of Cracks Induced by Electromagnetic Induction Soldering in Crystalline Silicon Solar Cells. IEEE J. Photovolt. 2017, 7, 966–973. [Google Scholar] [CrossRef]
- Tne Tech CO. Specifications PV Module Outdoor I-V Measurement System; Tne Tech CO.: Giheung-gu, Korea, 2018. [Google Scholar]
- KMA. Korea Meteorological Administration (KMA). Available online: https://www.kma.go.kr/eng/index.jsp (accessed on 30 December 2020).
- Test, S.; Equipment, M. Solmetric SunEye 210 User’s Guide; Solmetric Corporation: Sebastopol, CA, USA, 2011. [Google Scholar]
- Co, L.S. Solar Pro Technical Documentation; LS Electric: Anyang-si, Korea, 2016; pp. 1–9. [Google Scholar]
- ANSI/ASHRAE. ASHRAE Guideline 14 Measurement of Energy and Demand Savings. Ashrae 2002, 8400, 170. [Google Scholar]














| Installation Condition | Inclined Plane [Roof BIPV Application] | Vertical Plane [Exterior Wall BIPV Application] | ||||
|---|---|---|---|---|---|---|
| Feature | Before Cracked | Cracked (Inclined) | Reference | Before Cracked | Cracked (Vertical) | Reference |
| Research purpose | Only Sim. | Sim. & Exp. | Sim. & Exp. | Only Sim. | Sim. & Exp. | Sim. & Exp. |
| Pmax (W) | 60 | 32.5 | 181.1 | 80.0 | 52.0 | 181.1 |
| Voc (V) | 19.2 | 23.3 | 24.4 | 9.6 | 20.5 | 24.4 |
| Isc (A) | 4.2 | 2.2 | 9.7 | 10.5 | 4.0 | 9.7 |
| Vmp (V) | 16.0 | 17.9 | 19.8 | 8.0 | 16.1 | 19.8 |
| Imp (A) | 3.7 | 1.8 | 9.2 | 10.0 | 3.2 | 9.2 |
| FF (%) | 75.12 | 63.56 | 75.85 | 79.37 | 63.32 | 76.46 |
| Efficiency (%) | 20.4 | 11.0 | 20.9 | 21.1 | 13.7 | 20.9 |
| Cell Area (cm2) | 2938.3 | 2938.3 | 8649.0 | 3793.9 | 3793.9 | 8649.0 |
| Serial-Parallel | 36-1 | 36-1 | 16-2 | 36-1 | ||
| Cut cell PV modules | Three cut | Full | Half cut | Full | ||
| Note | Original manifested performance data | Re-tested performance data | Re-tested performance data | Original manifested performance data | Re-tested performance data | Re-tested performance data |
| Category | Item | |
|---|---|---|
| Electrical & Temperature Data | Maximum power ouput, Pmpp (W) | |
| Maximum power voltage, Vmpp (V) | ||
| Maximum power current, Impp (A) | ||
| Open circuit voltage, Voc (V) | ||
| Short circuit current, Isc (A) | ||
| Fill factor, FF (%) | ||
| Module level I-V curve | ||
| Meteorological Data | From monitoring system | Horizontal plane irradiation (W/m2)(0° of tilt angle) |
| Inclined plane irradiation (W/m2) (30° of tilt angle) | ||
| Vertical plane irradiation (W/m2) (90° of tilt angle) | ||
| From Korea Meteorological Administration (KMA) | Hourly outdoor dry bulb air temperature (°C) | |
| Vertical | Inclined | |||
|---|---|---|---|---|
| Cracked Module | Reference Module | Cracked Module | Reference Module | |
| CV(RMSE) [%] | 26.20 | 18.38 | 7.87 | 6.74 |
Publisher’s Note: MDPI stays neutral with regard to jurisdictional claims in published maps and institutional affiliations. |
© 2021 by the authors. Licensee MDPI, Basel, Switzerland. This article is an open access article distributed under the terms and conditions of the Creative Commons Attribution (CC BY) license (http://creativecommons.org/licenses/by/4.0/).
Share and Cite
Lee, K.-W.; Lee, H.-M.; Lee, R.-D.; Kim, D.-S.; Yoon, J.-H. The Impact of Cracks in BIPV Modules on Power Outputs: A Case Study Based on Measured and Simulated Data. Energies 2021, 14, 836. https://doi.org/10.3390/en14040836
Lee K-W, Lee H-M, Lee R-D, Kim D-S, Yoon J-H. The Impact of Cracks in BIPV Modules on Power Outputs: A Case Study Based on Measured and Simulated Data. Energies. 2021; 14(4):836. https://doi.org/10.3390/en14040836
Chicago/Turabian StyleLee, Kyung-Woo, Hyo-Mun Lee, Ru-Da Lee, Dong-Su Kim, and Jong-Ho Yoon. 2021. "The Impact of Cracks in BIPV Modules on Power Outputs: A Case Study Based on Measured and Simulated Data" Energies 14, no. 4: 836. https://doi.org/10.3390/en14040836
APA StyleLee, K.-W., Lee, H.-M., Lee, R.-D., Kim, D.-S., & Yoon, J.-H. (2021). The Impact of Cracks in BIPV Modules on Power Outputs: A Case Study Based on Measured and Simulated Data. Energies, 14(4), 836. https://doi.org/10.3390/en14040836

