Derivation of the Resonance Mechanism for Wireless Power Transfer Using Class-E Amplifier
Abstract
:1. Introduction
2. Materials and Methods
2.1. Wireless Power Transfer (WPT)
2.2. Class-E Amplifier Circuit Analysis
2.3. Switching Power Supply Side
2.4. Impedance Loading Side
2.5. ZVS Control
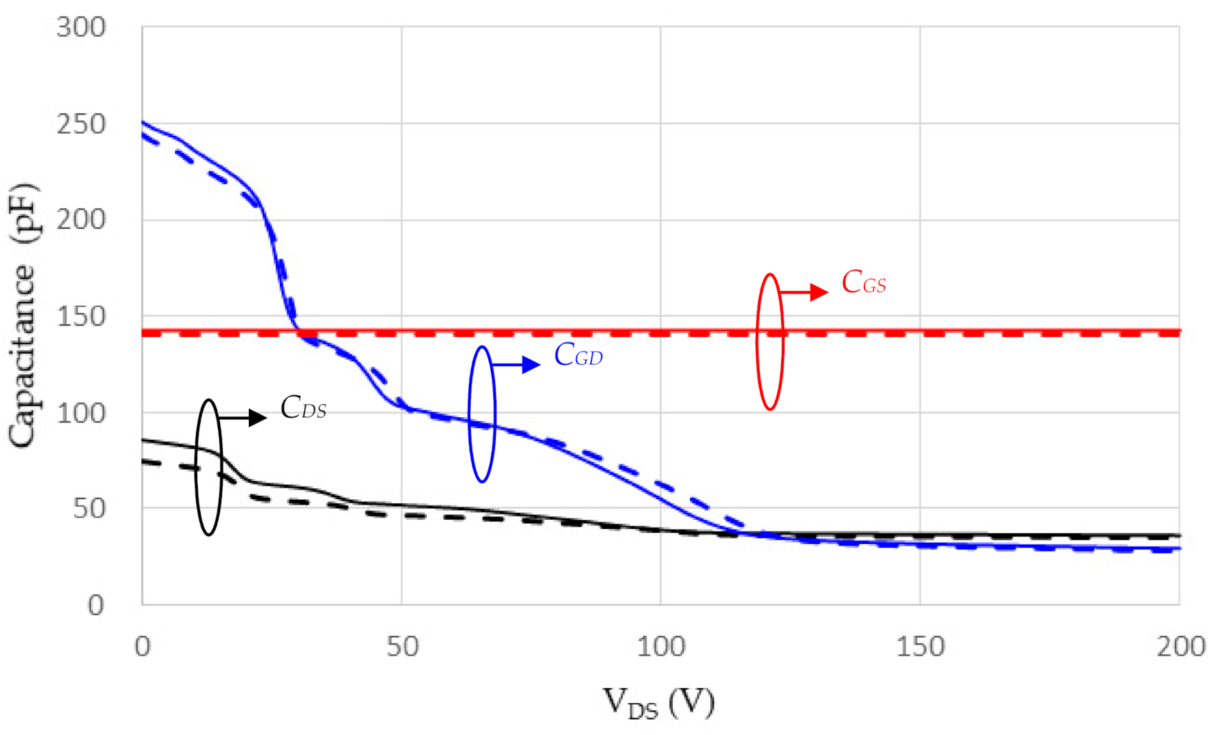
2.6. D-Mode GaN HEMT
3. Results
4. Conclusions
References
Author Contributions
Funding
Institutional Review Board Statement
Informed Consent Statement
Data Availability Statement
Acknowledgments
Conflicts of Interest
Nomenclature
| Symbol | Abbreviation | 
|---|---|
| RT | reluctance of the leakage flux on the power transmitting unit (PTU) side | 
| RR | reluctance of the leakage flux on the power receiving unit (PRU) side | 
| RM | reluctance of the mutual flux link on both PTU and PRU sides | 
| NT | number of turns of antenna on PTU side | 
| NR | number of turns of antenna on PRU side | 
| a | NT/NR is the turn ratio | 
| ωo | frequency adopted in wireless power transfer | 
| L1 | inductance on the switching power supply side of the PTU | 
| C1 | resonant capacitance on the switching power supply side of the PTU | 
| L2 | inductance on the impedance load side of the PTU | 
| C2 | resonant capacitance on the impedance load side of the PTU | 
| RL | equivalent load of PRU on the PTU side | 
| T | switching period time ωo = 2π / T | 
| M | mutual inductance of the WPT | 
| LT,l | leakage inductance of the PTU | 
| LT | total inductance of the PTU | 
| LR,l | leakage inductance of the PRU | 
| LR | total inductance of the PRU | 
| ω1 | natural frequency of the LC tank in the PTU | 
| ω2 | output current frequency | 
| ω3 | input current frequency during the switch-off time | 
| φ | input current phase angle during the switch-off time | 
Appendix A. PTU Coil Specifications

| N (turns) | D (cm) | L (uH) | 
|---|---|---|
| 3 | 33.5 | 10.5 | 
| 4 | 19 | 8.6 | 
| 21 | 8.5 | 46 | 

| Inductor ID | Inductance (uH) | Capacitance (pF) | Resistor (Ohm) | Q Factor | SRF (MHz) | 
|---|---|---|---|---|---|
| Tx1 | 8.87 | 28.54 | 0.128 | 4.364 | 10.00 | 
| Tx2 | 8.88 | 28.53 | 0.128 | 4.342 | 9.99 | 
| Rx1 | 9.03 | 27.7 | 0.081 | 7.06 | 10.06 | 
| Rx2 | 9.05 | 27.9 | 0.074 | 7.66 | 10.02 | 
References
- Zhang, Z.; Pang, H.; Georgiadis, A.; Cecati, C. Wireless power transfer—An overview. IEEE Trans. Ind. Electron. 2018, 66, 1044–1058. [Google Scholar]
- Huynh, P.S.; Ronanki, D.; Vincent, D.; Williamson, S.S. Overview and Comparative Assessment of Single-Phase Power Converter Topologies of Inductive Wireless Charging Systems. Energies 2020, 13, 2150. [Google Scholar]
- Sokal, N.O.; Sokal, A.D. Class E—A new class of high-efficiency tuned single-ended switching power amplifiers. IEEE J. Solid-State Circuits 1975, 10, 168–176. [Google Scholar]
- Sokal, N.O. Class-E RF power amplifiers. Qex Commun. Quart. 2001, 204, 9–20. [Google Scholar]
- Arteaga, J.M.; Aldhaher, S.; Kkelis, G.; Kwan, C.; Yates, D.C.; Mitcheson, P.D. Dynamic capabilities of multi-MHz inductive power transfer systems demonstrated with batteryless drones. IEEE Trans. Power Electron. 2018, 34, 5093–5104. [Google Scholar]
- Dai, W.; Tang, W.; Cai, C.; Deng, L.; Zhang, X. Wireless power charger based on class E amplifier with the maximum power point load consideration. Energies 2018, 11, 2378. [Google Scholar]
- Wen, F.; Cheng, X.; Li, Q.; Ye, J. Wireless Charging System Using Resonant Inductor in Class E Power Amplifier for Electronics and Sensors. Sensors 2020, 20, 2801. [Google Scholar]
- Green, P.B. Class-E Power Amplifier Design for Wireless Power Transfer. August 2018. Rev 1.2. Infineon, Appl. Note 1803. pp. 1–51. Available online: https://www.infineon.com/wirelesscharging (accessed on 10 August 2018).
- Christ, A.; Douglas, M.; Nadakuduti, J.; Kuster, N. Assessing Human Exposure to Electromagnetic Fields from Wireless Power Transmission Systems. Proc. IEEE 2013, 101, 1482–1493. [Google Scholar]
- Paolucci, M.; Green, P.B. Benefits of GaN e-Mode HEMTs in Wireless Power Transfer—GaN Power Devices in Resonant Class D and Class E Radio Frequency Power Amplifiers. October 2018. Rev 1.0. Infineon, White Paper. Available online: https://www.infineon.com/wirelesscharging (accessed on 17 October 2018).
- Stephan, S.; Matthias, B. Resonant Wireless Power Transfer, Infineon, White Paper. Available online: www.infineon.com/wirelesscharging (accessed on 29 May 2018).
- Pinuela, M.; Yates, D.C.; Lucyszyn, S.; Mitcheson, P.D. Maximizing DC-to-load efficiency for inductive power transfer. IEEE Trans. Power Electron. 2013, 28, 2437–2447. [Google Scholar]
- Aldhaher, S.; Luk, P.C.K.; Whidborne, J.F. Tuning class E inverters applied in inductive links using saturable reactors. IEEE Trans. Power Electron. 2013, 29, 2969–2978. [Google Scholar]
- Aldhaher, S.; Luk, P.C.K.; Bati, A.; Whidborne, J.F. Wireless power transfer using Class E inverter with saturable DC-feed inductor. IEEE Trans. Ind. Appl. 2014, 50, 2710–2718. [Google Scholar]
- Porto, R.W.; Brusamarello, V.J.; Pereira, L.A.; de Sousa, F.R. Fine tuning of an inductive link through a voltage-controlled capacitance. IEEE Trans. Power Electron. 2016, 32, 4115–4124. [Google Scholar]
- Barman, S.D.; Reza, A.W.; Kumar, N. Coupling Tuning Based Impedance Matching for Maximum Wireless Power Transfer Efficiency. J. Comput. Sci. Comput. Math. 2016, 6, 91–96. [Google Scholar]
- Fu, M.; Yin, H.; Liu, M.; Ma, C. Loading and power control for a high-efficiency class E PA-driven megahertz WPT system. IEEE Trans. Ind. Electron. 2016, 63, 6867–6876. [Google Scholar]
- Zhang, S.; Zhao, J.; Wu, Y.; Mao, L.; Xu, J.; Chen, J. Analysis and Implementation of Inverter Wide-Range Soft Switching in WPT System Based on Class E Inverter. Energies 2020, 13, 5187. [Google Scholar]
- Hayati, M.; Roshani, S.; Kazimierczuk, M.K.; Sekiya, H. Analysis and design of class E power amplifier considering MOSFET parasitic input and output capacitances. IET Circuitsdevices Syst. 2016, 10, 433–440. [Google Scholar]
- Wen, F.; Li, R. Parameter Analysis and Optimization of Class-E Power Amplifier Used in Wireless Power Transfer System. Energies 2019, 12, 3240. [Google Scholar]
- Weng, Y.C.; Wu, C.C.; Edward, C.Y.; Chieng, W.H. Minimum Power Input Control for Class-E Amplifier Using Depletion-Mode Gallium Nitride High Electron Mobility Transistor. Energies. plan to resubmit.
- Edward, B.R.; Louis, C. On the Self-Inductance of Circles, U.S. Department of Commerce and Labor, Bureau of Standards; University of Michigan: Michigan, MI, USA, 1907; pp. 149–159. [Google Scholar]
- Kim, J.W.; Son, H.C.; Kim, K.H.; Park, Y.J. Efficiency Analysis of Magnetic Resonance Wireless Power Transfer with Intermediate Resonant Coil. IEEE Antennas Wirel. Propag. Lett. 2011, 10, 389–392. [Google Scholar]
- Ahn, D.; Hong, S. Effect of Coupling between Multiple Transmitters or Multiple Receivers on Wireless Power Transfer. IEEE Trans. Ind. Electron. 2013, 60, 2602–2613. [Google Scholar]

















| δ | φ (Degree) | ||||
|---|---|---|---|---|---|
| 10% | 16 | 0.91 | 1.01 | 2.04 | 1.03 | 
| 20% | 28.5 | 0.84 | 1.05 | 2.13 | 1.08 | 
| 30% | 38 | 0.79 | 1.12 | 2.27 | 1.12 | 
| 40% | 55.3 | 0.69 | 1.15 | 2.75 | 1.53 | 
| 50% 1 | 64 | 0.64 | 1.3 | 3.28 | 1.78 | 
| 60% | 71 | 0.61 | 1.5 | 4.07 | 2.01 | 
| 70% | 76.5 | 0.58 | 1.9 | 5.28 | 2.22 | 
| 80% | 81.5 | 0.55 | 2.7 | 7.67 | 2.46 | 
| 90% | 86 | 0.52 | 5.2 | 15.33 | 2.76 | 
| Equation | Symbol | Unit | Analysis Result | SPICE Result | Error (%) | 
|---|---|---|---|---|---|
| RL | Ω | 26 | |||
| C1 | pF | 200 | |||
| C2 | pF | 220 | |||
| L1 | uH | 47 | |||
| L2 | uH | 3.4 | |||
| ω1/2π | MHz | 2.32 | |||
| ω0/2π | MHz | 6.66 | |||
| T | ns | 150 | |||
| ω2/2π | MHz | 5.8 | |||
| Δω/2π | MHz | 0.866 | |||
| δ | 0.5 | ||||
| (17) | degree | 64 | 63 | 1% | |
| (15) | ω3/2π | MHz | 8.65 | 8.5 | 2% | 
| (19) | VX,max | V | 39.36 | 42 | 6% | 
| (20) | A | mA | 10.8 | 10 | 8% | 
| (32) | β | degree | −53 | −55 | 2% | 
| (24) | I2,max | A | ±553 | 0.5/−0.421 | 10% | 
| (30) | B | mA | 219 | 239 | 8% | 
| (22) | I1 | mA | 332 | 235 | 35% | 
| Symbol | Parameter | Value | Unit | 
|---|---|---|---|
| vGS,ON | Turn-on voltage | −7 | V | 
| CDS | Drain-source parasitic capacitance | 75 | pF | 
| CGD | Gate-drain Parasitic capacitance | 245 | pF | 
| CGS | Gate-source Parasitic capacitance | 140 | pF | 
| VGS,max | Maximum gate-source voltage | 8 | V | 
| VDS,BD | Drain-source breakdown voltage | 1000 | V | 
| id,max | Maximum drain current | 35 | A | 
| Symbol | Value | Unit | 
|---|---|---|
| RL,2 (PRU) | 50 | Ω | 
| C1 | 320 | pF | 
| C2 | 100 | pF | 
| L1 | 47 | µH | 
| L2 | 8 | µH | 
| δ | 30 % | - | 
| VDD | 36 | V | 
| Publisher’s Note: MDPI stays neutral with regard to jurisdictional claims in published maps and institutional affiliations. | 
© 2021 by the authors. Licensee MDPI, Basel, Switzerland. This article is an open access article distributed under the terms and conditions of the Creative Commons Attribution (CC BY) license (http://creativecommons.org/licenses/by/4.0/).
Share and Cite
Liu, C.-Y.; Wang, G.-B.; Wu, C.-C.; Chang, E.Y.; Cheng, S.; Chieng, W.-H. Derivation of the Resonance Mechanism for Wireless Power Transfer Using Class-E Amplifier. Energies 2021, 14, 632. https://doi.org/10.3390/en14030632
Liu C-Y, Wang G-B, Wu C-C, Chang EY, Cheng S, Chieng W-H. Derivation of the Resonance Mechanism for Wireless Power Transfer Using Class-E Amplifier. Energies. 2021; 14(3):632. https://doi.org/10.3390/en14030632
Chicago/Turabian StyleLiu, Ching-Yao, Guo-Bin Wang, Chih-Chiang Wu, Edward Yi Chang, Stone Cheng, and Wei-Hua Chieng. 2021. "Derivation of the Resonance Mechanism for Wireless Power Transfer Using Class-E Amplifier" Energies 14, no. 3: 632. https://doi.org/10.3390/en14030632
APA StyleLiu, C.-Y., Wang, G.-B., Wu, C.-C., Chang, E. Y., Cheng, S., & Chieng, W.-H. (2021). Derivation of the Resonance Mechanism for Wireless Power Transfer Using Class-E Amplifier. Energies, 14(3), 632. https://doi.org/10.3390/en14030632
 
         
                                                


 
       