How to Encourage Energy Savings Behaviours? The Most Effective Incentives from the Perspective of European Consumers
Abstract
:1. Introduction
- Re-evaluating the assumptions of the authors’ behavioural segmentation of energy consumers [3]. The results obtained in this stage will once again verify the correctness of the developed concept for the division of energy consumers in terms of the dominant intrinsic motivation to save energy;
- Supplementing the characterisation of the different behavioural types by the types of external incentives and examining the strength of their influence on the obtained segments. The authors’ intention was to examine the strength of influence in terms of its effectiveness to induce consumers to carry out energy-saving activities;
- Due to a large number of examined incentives, attempt to combine individual incentives into relevant latent factors and to check, at a further stage, how individual behavioural types of consumers react to these obtained factors. Reducing the number of incentives will allow for a more effective adaptation of the types of instruments to the analysed segments of energy users.
2. Literature Review
3. Materials and Methods
- the Ecological Idealist is an energy user with a very high level of pro-environmental knowledge and awareness of climate issues. High sensitivity to ecology usually drives the behaviours of this type of consumer;
- the Aspiring Ecologist is a consumer who is also characterised by pro-environmental actions and motivations, although is largely influenced by fashion, trends or the behaviours of social groups that are important to them;
- the Dedicated Saver is a person of average sensitivity to climate and ecological problems, who is primarily motivated to save energy by financial considerations;
- the Opportunist is a consumer with even lower environmental awareness, whose pro-environmental behaviours and actions are incidental and performed only when they are easy to implement;
- the last distinct type of user, the Indifferent segment, is generally ignoring ecological problems and not interested in reducing their own energy consumption.
- potential incentives to change behaviours to those that are characterized by greater ecological awareness;
- external motivators, stimuli inclining to reduce energy consumption.
- Which of the stated incentives are significantly associated with the behavioural types of energy consumers?
- Is it possible to group the studied incentives and thus identify latent factors that are combinations of those observable, indicated and evaluated by respondents?
- Do the created factors-hidden incentives, differ in terms of the strength of influence in groups of respondents classified into different segments?
- Step 1.
- The Chi-square test [87,88] and Correspondence Analysis [89,90,91] were used to identify the relationship between the studied motivators (incentives) and the type of consumer. This additionally performed analysis made it possible to associate individual segments of energy users with their most frequently declared degree of inclination toward using particular incentives.
- Step 2.
- Due to the relatively large number of studied incentives, it was checked whether it is possible to group them and thus create a smaller set of variables. This is tantamount to creating new latent factors. Principal Component Analysis (PCA) is a method dedicated to such a study [92,93,94,95]. For the purpose of this study, Cronbach’s alpha coefficient [96] was also used to check the reliability of the scale. That way the results obtained by Principal Components Analysis were confirmed.
- Step 3.
4. Results
4.1. Analysis of the Impact of Different Incentives on Behavioural Types of Energy Users
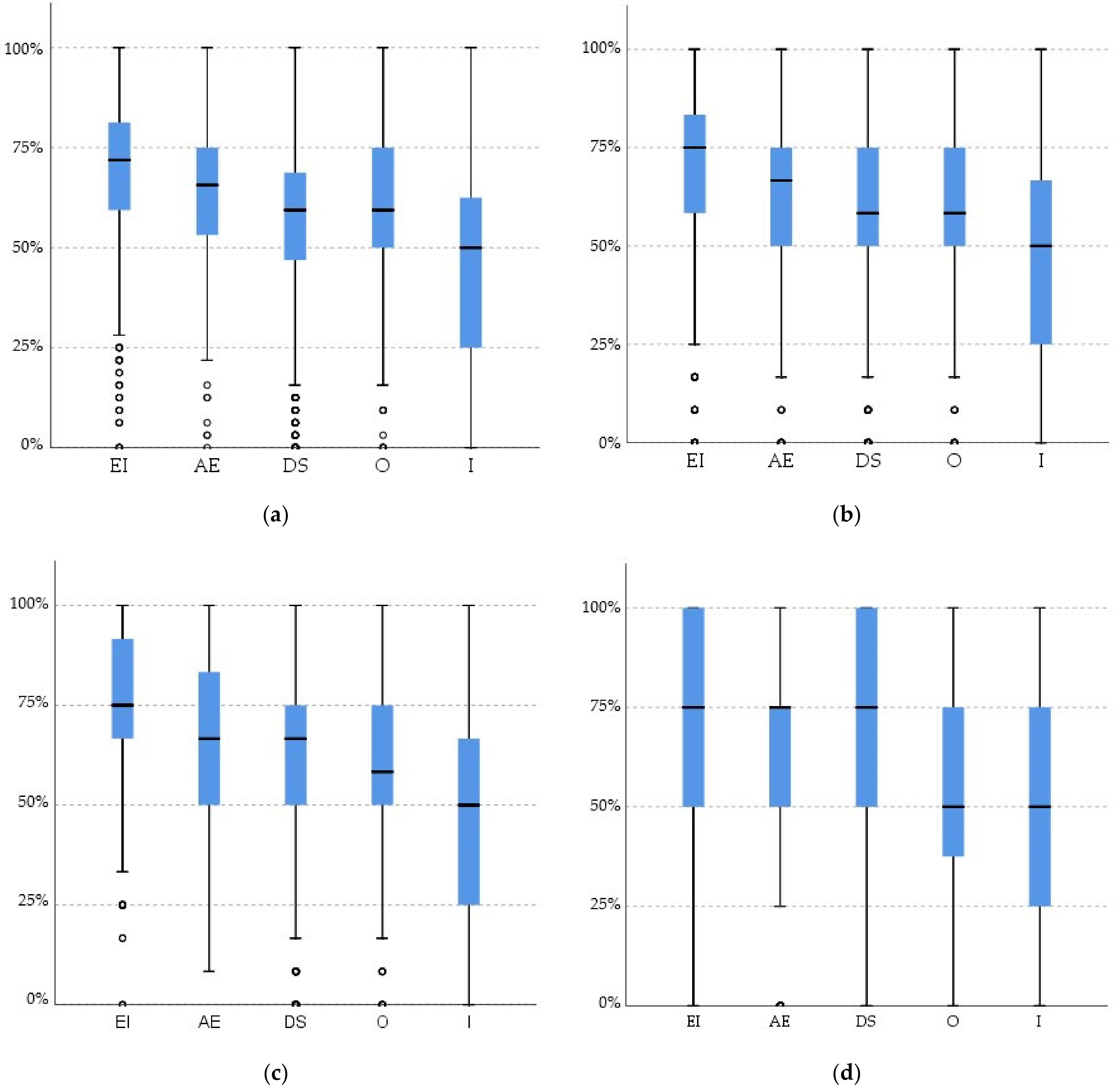
- Ecological Idealists are people who declare very high usefulness (100%) of almost all incentives. For them, the strongest motivation to save energy is the need to follow the green trend, because the point representing this respondent (EI) is closest to the point showing 100% of the incentive’s impact (Figure 1e). Only the energy price increase is not perceived as a strong motivator. The points representing the EI and 100% categories are relatively far apart (Figure 1f);
- Aspiring Ecologists mostly indicate the quite high (75%) helpfulness and effectiveness of the studied instruments;
- Dedicated Savers are energy users who generally indicate average (50%) or low (25%) usefulness of the studied incentives. As shown by the arrangement of points presented in Figure 1f (in this case the point representing “DS” is closest to the point representing “100%”), only an increase in energy prices can strongly motivate them to save;
- In most of the examined cases, the Opportunists also declared average (50%) or low (25%) effectiveness of each type of incentive. However, it is noteworthy that in the case of the incentive concerning the use of IT tools and the incentive in the form of energy price changes, the Opportunist segment has shown interest more often than in cases of other instruments (The point showing the segment is located very close to the point showing 50%-Figure 1b);
- According to the authors’ predictions and the assumptions of the created segmentation, Indifferent consumers are not interested in energy savings, which is why they evaluate very poorly (0%) most of the presented instruments.
4.2. Extracting Incentives Types by Identifying Latent Factors
- The first factor is most strongly correlated with incentives for energy saving, which are associated with providing information. These are materials provided in a traditional way (e.g., promotional and informational material, social campaigns), through the Internet, via social media or other IT tools (dedicated application, chatbots), and through direct contact during training (e.g., professional audit, training, or another form of organised education). Therefore, the first factor that links these types of incentives was called “Information and Knowledge” by authors;
- The second obtained factor is associated with motivating energy consumers through financial incentives, enabling them to make investments that allow for savings in the long term. As the obtaining repayable and non-repayable funds (e.g., for installing renewable energy sources, thermo-modernisation), as well as the possibility of producing energy themselves, are the incentives loading this factor, it was called “Investments”;
- The third factor is mainly defined by motivators, which determine the influence of the external environment on promoting and shaping pro-environmental attitudes. They are often a manifestation of peer pressure from the closest people (family, friends, and social groups to which consumers belong) or can be inspired by social trends. Concern for one’s own and one’s family’s health is also seen here as an external stimulus motivating behavioural change. This factor has been called “Social Influence”.
- The last factor extracted through PCA is the “Energy Price“. It is worth noting that in this case, it is the primary observable variable and not a combination of several different incentives. The potential increase in energy prices is such an important and different stimulus to undertake energy saving measures that this variable was singled out as a separate factor when the analysis was performed.
4.3. Comparison of Factors Representing Four Types of Incentives
- information and knowledge about energy saving methods,
- possibilities of obtaining financing for investments in environmentally-friendly solutions,
- pressure from social groups in this regard,
- increases in energy prices,
5. Discussion
6. Conclusions
- To be effective, external incentives, motivators and other intervention measures should be applied comprehensively. Preferably in the form of energy efficiency plans. Applying incentives individually may not have the desired effect and it is, therefore, advisable to combine them so that different types of incentives and instruments are used in the framework of the intervention plans.
- Furthermore, each type of incentive should be adapted to fit the behavioural profile of the consumer. In order to achieve results in the form of behavioural changes and, consequently, obtain measurable energy savings which translate into environmental benefits in the form of reduced emissions, it is necessary to personalise particular types of interventions by tailoring them accordingly to the internal motivations and beliefs of the consumer. It is therefore of utmost importance to correctly identify these needs, attitudes and motivations and to correctly segment them so that intervention measures can be appropriately tailored.
- It is also important to regularly check whether consumers’ intrinsic motivation has not changed over time or in relation to the pro-efficiency measures or investments carried out.
- According to the authors, in order to increase energy efficiency and shape correct social attitudes, the top-down approach–imposed by the authorities, energy suppliers, local initiatives or external environment–should be combined with a bottom-up approach, represented by an individual’s internal motivation. The greatest effectiveness can be achieved when these two approaches coincide in terms of values.
Author Contributions
Funding
Institutional Review Board Statement
Informed Consent Statement
Data Availability Statement
Conflicts of Interest
Appendix A



References
- European Commission. Fit for 55—Delivering the EU’s 2030 Climate Target on the Way to Climate Neutrality; European Commission: Luxembourg, 2021; p. 15. [Google Scholar]
- Fit for 55. 2021. Available online: https://www.consilium.europa.eu/en/policies/green-deal/eu-plan-for-a-green-transition/# (accessed on 21 November 2021).
- Słupik, S.; Kos-Łabędowicz, J.; Trzęsiok, J. An Innovative Approach to Energy Consumer Segmentation—A Behavioural Perspective. The Case of the Eco-Bot Project. Energies 2021, 14, 3556. [Google Scholar] [CrossRef]
- Słupik, S.; Kos-Łabędowicz, J.; Trzęsiok, J. Are You a Typical Energy Consumer? Socioeconomic Characteristics of Behavioural Segmentation Representatives of 8 European Countries. Energies 2021, 14, 6109. [Google Scholar] [CrossRef]
- Delivering the European Green Deal. 2021. Available online: https://ec.europa.eu/info/strategy/priorities-2019-2024/european-green-deal/delivering-european-green-deal_en (accessed on 21 November 2021).
- Avgerinou, M.; Bertoldi, P.; Castellazzi, L. Trends in Data Centre Energy Consumption under the European Code of Conduct for Data Centre Energy Efficiency. Energies 2017, 10, 1470. [Google Scholar] [CrossRef]
- Upham, P.; Oltra, C.; Boso, À. Towards a cross-paradigmatic framework of the social acceptance of energy systems. Energy Res. Soc. Sci. 2015, 8, 100–112. [Google Scholar] [CrossRef]
- Song, Y.; Zhao, C.; Zhang, M. Does haze pollution promote the consumption of energy-saving appliances in China? An empirical study based on norm activation model. Resour. Conserv. Recycl. 2019, 145, 220–229. [Google Scholar]
- Abrahamse, W.; Steg, L.; Vlek, C.; Rothengatter, T. A review of intervention studies aimed at household energy conservation. J. Environ. Psychol. 2005, 25, 273–291. [Google Scholar] [CrossRef]
- Jones, R.V.; Fuertes, A.; Lomas, K.J. The socio-economic, dwelling and appliance related factors affecting electricity consumption in domestic buildings. Renew. Sustain. Energy Rev. 2015, 43, 901–917. [Google Scholar] [CrossRef] [Green Version]
- Linden, S.V.; Maibach, E.; Leiserowitz, A. Improving public engagement with climate change: Five ‘best practice’ insights from psychological science. Perspect. Psychol. Sci. 2015, 10, 758–763. [Google Scholar] [CrossRef] [PubMed]
- Kunreuther, H.; Weber, E.U. Aiding Decision Making to Reduce the Impacts of Climate Change. J. Consum. Policy 2014, 37, 397–411. [Google Scholar] [CrossRef] [Green Version]
- Davis, L.W.; Gertler, P.J. Contribution of air conditioning adoption to future energy use under global warming. Proc. Natl. Acad. Sci. USA 2015, 112, 5962–5967. [Google Scholar] [CrossRef] [PubMed] [Green Version]
- Schultz, P.W.; Estrada, M.; Schmitt, J.; Sokoloski, R.; Silva-Send, N. Using in-home displays to provide smart meter feedback about household electricity consumption: A randomized control trial comparing kilowatts, cost, and social norms. Energy 2015, 90, 351–358. [Google Scholar] [CrossRef] [Green Version]
- Brunzell, L.; Renström, R. Recommendations for revising the energy label system for dishwashers: Supporting sustainable development and usage through the interaction of energy labels, technical improvements and consumer behaviour. Energy Effic. 2020, 13, 145–155. [Google Scholar] [CrossRef] [Green Version]
- Department of Energy & Climate Change. What Works in Changing Energy—Using Behaviours in the Home ? A Rapid Evidence Assessment; Department of Energy & Climate Change: London, UK, 2012; pp. 1–127.
- De la Rue du Can, S.; Shah, N.; Phadke, A. Country Review of Energy- Efficiency Financial Incentives in the Residential Sector. MRS Bull. 2007, 32, 389–399. [Google Scholar]
- Martiskainen, M. Affecting Consumer Behaviour on Energy Demand Final Report to EdF Energy; Sussex Energy Group SPRU—Science and Technology Policy Research University of Sussex: Brighton, UK, 2007. [Google Scholar]
- Cattaneo, C. Internal and external barriers to energy efficiency: Which role for policy interventions? Energy Effic. 2019, 12, 1293–1311. [Google Scholar] [CrossRef] [Green Version]
- Prindle, W.; Angel, S. Customer Incentives for Energy Efficiency Through Program Offerings: National Action Plan for Energy Efficiency; ICF International, Inc.: Fairfax, VA, USA, 2010. [Google Scholar]
- United Nations Economic Commission for Europe. Best Policy Practices Energy Efficiency; Economic Commission for Europe: Copenhagen, Denmark, 2015. [Google Scholar]
- Iweka, O.; Liu, S.; Shukla, A.; Yan, D. Energy and behaviour at home: A review of intervention methods and practices. Energy Res. Soc. Sci. 2019, 57, 101–238. [Google Scholar] [CrossRef]
- Markandya, A.; Labandeira, X.; Ramos, A. Policy instruments to foster energy efficiency. In Green Energy and Efficiency, Green Energy and Technology; Springer: New York, NY, USA, 2015; pp. 93–110. [Google Scholar]
- Steg, L.; Perlaviciute, G.; Van der Werff, E. Understanding the human dimensions of a sustainable energy transition. Front. Psychol. 2015, 6, 1–17. [Google Scholar] [CrossRef] [Green Version]
- Barbu, A.-D.; Griffiths, N.; Morton, G. Achieving Energy Efficiency through Behaviour Change: What Does It Take? European Environment Agency: Copenhagen, Denmark, 2013. [Google Scholar]
- Gillingham, K.; Newell, R.; Palmer, K. Energy efficiency policies: A retrospective examination. Annu. Rev. Environ. Resour. 2006, 31, 161–192. [Google Scholar] [CrossRef] [Green Version]
- Lindén, A.L.; Carlsson-Kanyama, A.; Eriksson, B. Efficient and inefficient aspects of residential energy behaviour: What are the policy instruments for change? Energy Policy 2006, 34, 1918–1927. [Google Scholar] [CrossRef]
- Carlsson-Kanyama, A.; Lindén, A.L. Energy efficiency in residences-Challenges for women and men in the North. Energy Policy 2007, 35, 2163–2172. [Google Scholar] [CrossRef]
- Del Mar Solà, M.; de Ayala, A.; Galarraga, I.; Escapa, M. Promoting energy efficiency at household level: A literature review. Energy Effic. 2021, 14, 6. [Google Scholar] [CrossRef]
- Gerarden, T.D.; Newell, R.G.; Stavins, R.N. Assessing the Energy-Efficiency Gap. J. Econ. Lit. 2017, 55, 1486–1525. [Google Scholar] [CrossRef] [Green Version]
- Linares, P.; Labandeira, X. Energy efficiency: Economics and policy. J. Econ. Surv. 2010, 24, 573–592. [Google Scholar] [CrossRef]
- Filho, W.L.; Fedoruk, M.; Zahvoyska, L.; Avila, L.V. Identifying and comparing obstacles and incentives for the implementation of energy saving projects in eastern and western european countries: An exploratory study. Sustainability 2021, 13, 4944. [Google Scholar] [CrossRef]
- Thomson, H.; Snell, C.; Bouzarovski, S. Health, well-being and energy poverty in Europe: A comparative study of 32 European countries. Int. J. Environ. Res. Public Health 2017, 14, 584. [Google Scholar] [CrossRef] [PubMed] [Green Version]
- Hille, S.L. The Myth of the Unscrupulous Energy User’s Dilemma: Evidence from Switzerland. J. Consum. Policy 2016, 39, 327–347. [Google Scholar] [CrossRef]
- Ramos, A.; Gago, A.; Labandeira, X.; Linares, P. The role of information for energy efficiency in the residential sector. Energy Econ. 2015, 52, S17–S29. [Google Scholar] [CrossRef] [Green Version]
- Filippini, M.; Hunt, L.C.; Zorić, J. Impact of energy policy instruments on the estimated level of underlying energy efficiency in the EU residential sector. Energy Policy 2014, 69, 73–81. [Google Scholar] [CrossRef] [Green Version]
- Allcott, H.; Taubinsky, D. Evaluating behaviorally motivated policy: Experimental evidence from the lightbulb market. Am. Econ. Rev. 2015, 105, 2501–2538. [Google Scholar] [CrossRef] [Green Version]
- Bertoldi, P. Are current policies promoting a change in behaviour, conservation and sufficiency? An analysis of existing policies and recommendations for new and effective policies. In Proceedings of the ECEEE 2017 Summer Study on Energy Efficiency, Hyères, France, 29 May–2 June 2017; pp. 201–211. [Google Scholar]
- Bertoldi, P.; Rezessy, S.; Oikonomou, V. Rewarding energy savings rather than energy efficiency: Exploring the concept of a feed-in tariff for energy savings. Energy Policy 2013, 56, 526–535. [Google Scholar] [CrossRef]
- Allcott, H. Consumers’ Perceptions and Misperceptions of Energy Costs. Am. Econ. Rev. 2011, 101, 98–104. [Google Scholar] [CrossRef] [Green Version]
- Villca-Pozo, M.; Gonzales-Bustos, J.P. Tax incentives to modernize the energy efficiency of the housing in Spain. Energy Policy 2019, 128, 530–538. [Google Scholar] [CrossRef]
- Jiménez, J.L.; Perdiguero, J.; García, C. Evaluation of subsidies programs to sell green cars: Impact on prices, quantities and efficiency. Transp. Policy 2016, 47, 105–118. [Google Scholar] [CrossRef] [Green Version]
- Galarraga, I.; Abadie, L.M.; Kallbekken, S. Designing incentive schemes for promoting energy-efficient appliances: A new methodology and a case study for Spain. Energy Policy 2016, 90, 24–36. [Google Scholar] [CrossRef]
- Gholami, R.; Emrouznejad, A.; Alnsour, Y.; Kartal, H.B.; Veselova, J. The impact of smart meter installation on attitude change towards energy consumption behavior among Northern Ireland households. J. Glob. Inf. Manag. 2020, 28, 21–37. [Google Scholar] [CrossRef]
- Corbett, J. Using information systems to improve energy efficiency: Do smart meters make a difference? Inf. Syst. Front. 2013, 15, 573–592. [Google Scholar] [CrossRef]
- Delmas, M.A.; Fischlein, M.; Asensio, O.I. Information strategies and energy conservation behavior: A meta-analysis of experimental studies from 1975 to 2012. Energy Policy 2013, 61, 729–739. [Google Scholar] [CrossRef] [Green Version]
- Houde, S.; Aldy, J. Consumers’ response to state energy efficient appliance rebate programs. Am. Econ. J. Econ. Policy 2017, 9, 227–255. [Google Scholar] [CrossRef] [Green Version]
- Sorrell, S.; Dimitropoulos, J.; Sommerville, M. Empirical estimates of the direct rebound effect: A review. Energy Policy 2009, 37, 1356–1371. [Google Scholar] [CrossRef]
- Alberini, A.; Gans, W.; Towe, C. Free riding, upsizing, and energy efficiency incentives in Maryland homes. Energy J. 2016, 37, 259–290. [Google Scholar] [CrossRef]
- Boomhower, J.; Davis, L.W. A credible approach for measuring inframarginal participation in energy efficiency programs. J. Public Econ. 2014, 113, 67–79. [Google Scholar] [CrossRef]
- Mastrucci, A.; Baume, O.; Stazi, F.; Leopold, U. Estimating energy savings for the residential building stock of an entire city: A GIS-based statistical downscaling approach applied to Rotterdam. Energy Build. 2014, 75, 358–367. [Google Scholar] [CrossRef]
- Bjørneboe, M.G.; Svendsen, S.; Heller, A. Initiatives for the energy renovation of single-family houses in Denmark evaluated on the basis of barriers and motivators. Energy Build. 2018, 167, 347–358. [Google Scholar] [CrossRef]
- Fisk, W.J.; Singer, B.C.; Chan, W.R. Association of residential energy efficiency retrofits with indoor environmental quality, comfort, and health: A review of empirical data. Build. Environ. 2020, 180, 107067. [Google Scholar] [CrossRef]
- Sardianou, E.; Genoudi, P. Which factors affect the willingness of consumers to adopt renewable energies? Renew. Energy 2013, 57, 1–4. [Google Scholar] [CrossRef]
- Stigka, E.K.; Paravantis, J.A.; Mihalakakou, G.K. Social acceptance of renewable energy sources: A review of contingent valuation applications. Renew. Sustain. Energy Rev. 2014, 32, 100–106. [Google Scholar] [CrossRef]
- Gonzalez-Caceres, A.; Lassen, A.K.; Nielsen, T.R. Barriers and challenges of the recommendation list of measures under the EPBD scheme: A critical review. Energy Build. 2020, 223, 110065. [Google Scholar] [CrossRef]
- Ward, D.O.; Clark, C.D.; Jensen, K.L.; Yen, S.T.; Russell, C.S. Factors influencing willingness-to-pay for the Energy Star® label. Energy Policy 2011, 39, 1450–1458. [Google Scholar] [CrossRef]
- Girod, B.; Stucki, T.; Woerter, M. How do policies for efficient energy use in the household sector induce energy-efficiency innovation? An evaluation of European countries. Energy Policy 2017, 103, 223–237. [Google Scholar]
- Brucal, A.; Roberts, M.J. Do energy efficiency standards hurt consumers? Evidence from household appliance sales. J. Environ. Econ. Manag. 2019, 96, 88–107. [Google Scholar]
- Taylor, N.W.; Jones, P.H.; Kipp, M.J. Targeting utility customers to improve energy savings from conservation and efficiency programs. Appl. Energy 2014, 115, 25–36. [Google Scholar] [CrossRef]
- Iwasaki, S. Using Eco-Home Diagnosis to reduce household energy consumption: A case study on behavioral changes in Fukuoka Prefecture, Japan. Energy Policy 2019, 132, 893–900. [Google Scholar] [CrossRef]
- McHenry, M.P. Technical and governance considerations for advanced metering infrastructure/smart meters: Technology, security, uncertainty, costs, benefits, and risks. Energy Policy 2013, 59, 834–842. [Google Scholar] [CrossRef] [Green Version]
- Chou, J.S.; Yutami, I.G.A.N. Smart meter adoption and deployment strategy for residential buildings in Indonesia. Appl. Energy 2014, 128, 336–349. [Google Scholar] [CrossRef]
- Nilsson, A.; Wester, M.; Lazarevic, D.; Brandt, N. Smart homes, home energy management systems and real-time feedback: Lessons for influencing household energy consumption from a Swedish field study. Energy Build. 2018, 179, 15–25. [Google Scholar] [CrossRef]
- Zeng, L.; Yu, Y.; Li, J. China’s Promoting Energy-Efficient Products for the Benefit of the People Program in 2012: Results and analysis of the consumer impact study. Appl. Energy 2014, 133, 22–32. [Google Scholar] [CrossRef]
- Xu, Q.; Lu, Y.; Hwang, B.G.; Kua, H.W. Reducing residential energy consumption through a marketized behavioral intervention: The approach of Household Energy Saving Option (HESO). Energy Build. 2021, 232, 110621. [Google Scholar] [CrossRef]
- Spandagos, C.; Baark, E.; Ng, T.L.; Yarime, M. Social influence and economic intervention policies to save energy at home: Critical questions for the new decade and evidence from air-condition use. Renew. Sustain. Energy Rev. 2021, 143, 110915. [Google Scholar] [CrossRef]
- Quaglione, D.; Cassetta, E.; Crociata, A.; Sarra, A. Exploring additional determinants of energy-saving behaviour: The influence of individuals’ participation in cultural activities. Energy Policy 2017, 108, 503–511. [Google Scholar] [CrossRef]
- Wang, B.; Wang, X.; Guo, D.; Zhang, B.; Wang, Z. Analysis of factors influencing residents’ habitual energy-saving behaviour based on NAM and TPB models: Egoism or altruism? Energy Policy 2018, 116, 68–77. [Google Scholar] [CrossRef]
- Naderi, I. I’m nice, therefore I go green: An investigation of pro-environmentalism in communal narcissists. J. Environ. Psychol. 2018, 59, 54–64. [Google Scholar] [CrossRef]
- Caferra, R.; Colasante, A.; Morone, A. The less you burn, the more we earn: The role of social and political trust on energy-saving behaviour in Europe. Energy Res. Soc. Sci. 2021, 71, 101812. [Google Scholar] [CrossRef]
- Ayres, I.; Raseman, S.; Shih, A. Evidence from Two Large Field Experiments that Peer Comparison Feedback Can Reduce Residential Energy Usage. J. Law Econ. Organ. 2013, 29, 992–1022. [Google Scholar] [CrossRef]
- Eco-Bot. 2021. Available online: http://eco-bot.eu/ (accessed on 21 November 2021).
- Vassileva, I.; Campillo, J. Increasing energy efficiency in low-income households through targeting awareness and behavioral change. Renew. Energy 2014, 67, 59–63. [Google Scholar] [CrossRef]
- Mi, L.; Qiao, L.; Du, S.; Xu, T.; Gan, X.; Wang, W.; Yu, X. Evaluating the effect of eight customized information strategies on urban households’ electricity saving: A field experiment in China. Sustain. Cities Soc. 2020, 62, 102344. [Google Scholar] [CrossRef]
- Diaz-Rainey, I.; Ashton, J.K. Investment inefficiency and the adoption of eco-innovations: The case of household energy efficiency technologies. Energy Policy 2015, 82, 105–117. [Google Scholar] [CrossRef]
- Van den Broek, K.L.; Walker, I. Exploring the perceptions of drivers of energy behaviour. Energy Policy 2019, 129, 1297–1305. [Google Scholar] [CrossRef]
- Steinhorst, J.; Matthies, E. Monetary or environmental appeals for saving electricity?—Potentials for spillover on low carbon policy acceptability. Energy Policy 2016, 93, 335–344. [Google Scholar]
- Martínez-Espiñeira, R.; García-Valiñas, M.A.; Nauges, C. Households’ pro-environmental habits and investments in water and energy consumption: Determinants and relationships. J. Environ. Manag. 2014, 133, 174–183. [Google Scholar] [CrossRef]
- Joachain, H.; Klopfert, F. Smarter than metering? Coupling smart meters and complementary currencies to reinforce the motivation of households for energy savings. Ecol. Econ. 2014, 105, 89–96. [Google Scholar]
- Weber, S.; Puddu, S.; Pacheco, D. Move it! How an electric contest motivates households to shift their load profile. Energy Econ. 2017, 68, 255–270. [Google Scholar]
- Havas, L.; Ballweg, J.; Penna, C.; Race, D. Power to change: Analysis of household participation in a renewable energy and energy efficiency programme in Central Australia. Energy Policy 2015, 87, 325–333. [Google Scholar] [CrossRef]
- Kim, H.B.; Iwamatsu, T.; Nishio, K.I.; Komatsu, H.; Mukai, T.; Odate, Y.; Sasaki, M. Field experiment of smartphone-based energy efficiency services for households: Impact of advice through push notifications. Energy Build. 2020, 223, 110151. [Google Scholar] [CrossRef]
- Webb, D.; Soutar, G.N.; Mazzarol, T.; Saldaris, P. Self-determination theory and consumer behavioural change: Evidence fromahousehold energy-saving behaviour study. J. Environ. Psychol. 2013, 35, 59–66. [Google Scholar] [CrossRef]
- Pasini, D.; Reda, F.; Häkkinen, T. User engaging practices for energy saving in buildings: Critical review and new enhanced procedure. Energy Build. 2017, 148, 74–88. [Google Scholar] [CrossRef]
- Bastida, L.; Cohen, J.J.; Kollmann, A.; Moya, A.; Reichl, J. Exploring the role of ICT on household behavioural energy efficiency to mitigate global warming. Renew. Sustain. Energy Rev. 2019, 103, 455–462. [Google Scholar] [CrossRef] [Green Version]
- Cramér, H. Mathematical Methods of Statistics; Princeton University Press: Princeton, NJ, USA, 1946. [Google Scholar] [CrossRef]
- Brzezińska, J. Analiza Logarytmiczno-Liniowa: Teoria i Zastosowania Z Wykorzystaniem Programu R; Wydawnictwo C.H. Beck: Warszawa, Poland, 2015. [Google Scholar]
- Greenacre, M. Correspondence Analysis in Practice, 3rd ed.; Chapman and Hall/CRC Press: London, UK, 2021. [Google Scholar] [CrossRef]
- Rozmus, D. Analiza korespondencji. In Metody Statystycznej Analizy Wielowymiarowej W Badaniach Marketingowych; Gatnar, E., Walesiak, M., Eds.; Wydawnictwo AE we Wrocławiu: Wrocław, Poland, 2004; pp. 283–315. [Google Scholar]
- Stanimir, A. Analiza Korespondencji Jako Narzędzie Badania Zjawisk Ekonomicznych (Correspondence Analysis as a Tool for the Study Economic Factors); Wydawnictwo AE we Wrocławiu: Wrocław, Poland, 2005. [Google Scholar]
- Kim, J.O.; Mueller, C.W. Factor Analysis: Statistical Methods and Practical Issues; Sage: Beverly Hills, CA, USA, 1978; ISBN 978-0803911666. [Google Scholar]
- Kim, J.O.; Mueller, C.W. Introduction to Factor Analysis: What It Is and How to Do It; Sage: Beverly Hills, CA, USA, 1978; ISBN 9978-0803911659. [Google Scholar] [CrossRef]
- Sztemberg-Lewandowska, M.; Zacny, B. Analiza czynnikowa. In Metody Statystycznej Analizy Wielowymiarowej W Badaniach Marketingowych; Gatnar, E., Walesiak, M., Eds.; Wydawnictwo AE we Wrocławiu: Wrocław, Poland, 2004; pp. 186–245. [Google Scholar]
- Sztemberg-Lewandowska, M. Analiza czynnikowa. In Statystyczna Analiza Danych Z Wykorzystaniem Programu R.; Walesiak, M., Gatnar, E., Eds.; Wydawnictwo Naukowe PWN: Warszawa, Poland, 2009; pp. 318–353. [Google Scholar]
- Cronbach, L. Coefficient alpha and the internal structure of tests. Psychometrika 1951, 16, 297–334. [Google Scholar] [CrossRef] [Green Version]
- Kruskal, W. A nonparametric test for the several sample problem. Ann. Math. Stat. 1952, 23, 525–540. [Google Scholar] [CrossRef]
- Kruskal, W.; Wallis, W. Use of ranks in one-criterion variance analysis. J. Am. Stat. Assoc. 1952, 47, 583–621. [Google Scholar] [CrossRef]
- D’Oca, S.; Hong, T.; Langevin, J. The human dimensions of energy use in buildings: A review. Renew. Sustain. Energy Rev. 2018, 81, 731–742. [Google Scholar] [CrossRef] [Green Version]
- Han, X.; Wei, C. Household energy consumption: State of the art, research gaps, and future prospects. Environ. Dev. Sustain. 2021, 23, 12479–12504. [Google Scholar] [CrossRef]
- Whitmarsh, L.; O’Neill, S. Green identity, green living? The role of pro-environmental self-identity in determining consistency across diverse pro-environmental behaviours. J. Environ. Psychol. 2010, 30, 305–314. [Google Scholar]
- Bird, S.; Legault, L. Feedback and Behavioral Intervention in Residential Energy and Resource Use: A Review. Curr. Sustain. Energy Rep. 2018, 5, 116–126. [Google Scholar] [CrossRef]
- Weber, E.U.; Johnson, E.J. Psychology and Behavioral Economics Lessons for the Design of a Green Growth Strategy. Policy Res. Work. Pap. Ser. 2012, 6240, 1–50. [Google Scholar]
- Abrahamse, W.; Steg, L. Social influence approaches to encourage resource conservation: A meta-analysis. Glob. Environ. Chang. 2013, 23, 1773–1785. [Google Scholar] [CrossRef]
- Taufik, D.; Bolderdijk, J.W.; Steg, L. Going green? The relative importance of feelings over calculation in driving environmental intent in the Netherlands and the United States. Energy Res. Soc. Sci. 2016, 22, 52–62. [Google Scholar]
- Andor, M.A.; Fels, K.M. Behavioral Economics and Energy Conservation—A Systematic Review of Non-price Interventions and Their Causal Effects. Ecol. Econ. 2018, 148, 178–210. [Google Scholar] [CrossRef] [Green Version]
- Farrow, K.; Grolleau, G.; Ibanez, L. Social Norms and Pro-environmental Behavior: A Review of the Evidence. Ecol. Econ. 2017, 140, 1–13. [Google Scholar] [CrossRef]
- Frederiks, E.R.; Stenner, K.; Hobman, E.V. Household energy use: Applying behavioural economics to understand consumer decision-making and behaviour. Renew. Sustain. Energy Rev. 2015, 41, 1385–1394. [Google Scholar] [CrossRef] [Green Version]
- Jain, R.K.; Gulbinas, R.; Taylor, J.E.; Culligan, P.J. Can social influence drive energy savings? Detecting the impact of social influence on the energy consumption behavior of networked users exposed to normative eco-feedback. Energy Build. 2013, 66, 119–127. [Google Scholar]
- Nakamura, H. Effects of social participation and the emergence of voluntary social interactions on household power-saving practices in post-disaster Kanagawa, Japan. Energy Policy 2013, 54, 397–403. [Google Scholar] [CrossRef]
- Schultz, P.W. Power of Social Norms. Psycolog. Sci. 2007, 18, 429–434. [Google Scholar] [CrossRef] [PubMed] [Green Version]
- Nakamura, E. Electricity saving behavior of households by making efforts, replacing appliances, and renovations: Empirical analysis using a multivariate ordered probit model. Int. J. Consum. Stud. 2016, 40, 675–684. [Google Scholar] [CrossRef]
- Sloot, D.; Jans, L.; Steg, L. Can community energy initiatives motivate sustainable energy behaviours? The role of initiative involvement and personal pro-environmental motivation. J. Environ. Psychol. 2018, 57, 99–106. [Google Scholar]
- Asensio, O.I.; Delmas, M.A. Nonprice incentives and energy conservation. Proc. Natl. Acad. Sci. USA 2015, 112, E510–E515. [Google Scholar] [CrossRef] [Green Version]
- Zangheri, P.; Serrenho, T.; Bertoldi, P. Energy savings from feedback systems: A meta-studies’ review. Energies 2019, 12, 3788. [Google Scholar] [CrossRef] [Green Version]
- McKerracher, C.; Torrit, J. Energy consumption feedback in perspective: Integrating Australian data to meta-analyses on in-home displays. Energy Effic. 2013, 6, 387–405. [Google Scholar] [CrossRef]
- Darby, S. Smart metering: What potential for household engagement? Build. Res. Inf. 2010, 38, 442–457. [Google Scholar] [CrossRef]
- Buchanan, K.; Russo, R.; Anderson, B. The question of energy reduction: The problem(s) with feedback. Energy Policy 2015, 77, 89–96. [Google Scholar] [CrossRef] [Green Version]
- Hargreaves, T. The Visible Energy Trial: Insights from Qualitative Interviews; Tyndall Centre for Climate Change Research: Norwich, UK, 2010; pp. 1–52. [Google Scholar]
- Fischer, C. Feedback on household electricity consumption: A tool for saving energy? Energy Effic. 2008, 1, 79–104. [Google Scholar] [CrossRef]
- Giordano, V.; Meletiou, A.; Covrig, C.F.; Mengolini, A.M.; Ardelean, M.; Fulli, G.; Jiménez, M.S.; Filiou, C. Smart Grid Projects in Europe:Lessons Learned and Current Developments 2012 Update, EUR 25815; Publications Office of the European Union: Luxembourg, 2013. [Google Scholar]



| Potential Incentives to Save Energy Include: | |
|---|---|
| 1 | Training or another form of organized education |
| 2 | Regular updates on energy consumption provided by an energy supplier (website, phone, direct contact, etc.) |
| 3 | Professional audit/analysis of household’s energy consumption |
| 4 | Use of a dedicated application or other IT tool (e.g., a chatbot) |
| 5 | Initiatives within local communities aimed at energy saving |
| 6 | Promotional and informational material from energy companies (leaflets, brochures, websites) |
| 7 | Social campaigns on energy (advertising spots, billboards) |
| 8 | Information obtained from the Internet and social media |
| Potential Motivators for Behavioural Change Include: | |
| 9 | Obtaining repayable funding for investments related to energy saving or (RES) |
| 10 | Obtaining non-repayable funding for investments related to energy saving or RES |
| 11 | Energy self-sufficiency as a result of being an energy producer |
| 12 | Social influence creating the need for pro-environmental behaviours incorporated as an internal need for environmental protection |
| 13 | Care about own and family’s health translating into care for the quality of the environment |
| 14 | Keeping up with the green trend |
| 15 | Increased energy prices |
| Incentives | Factors | |||
|---|---|---|---|---|
| 1 | 2 | 3 | 4 | |
| Social campaigns on energy (advertising spots, billboards) | 0.725 | 0.127 | 0.201 | 0.045 |
| Promotional and informational material from energy companies (leaflets, brochures, websites) | 0.715 | 0.061 | 0.226 | 0.076 |
| Information obtained from the Internet and social media | 0.705 | 0.050 | 0.223 | 0.098 |
| Use of a dedicated application or other IT tool (e.g., a chatbot) | 0.684 | 0.313 | 0.049 | 0.041 |
| Initiatives within local communities aimed at energy saving | 0.666 | 0.196 | 0.259 | 0.000 |
| Training or other form of organised education | 0.665 | 0.313 | 0.087 | –0.031 |
| Regular updates on energy consumption provided by your energy supplier (website, phone, direct contact) | 0.649 | 0.140 | 0.215 | 0.070 |
| Professional audit/analysis of your household’s energy consumption | 0.642 | 0.214 | 0.158 | 0.072 |
| Obtaining non-repayable funding for investments related to energy saving or RES | 0.150 | 0.789 | 0.185 | 0.087 |
| Obtaining repayable funding for investments related to energy saving or RES | 0.281 | 0.722 | 0.131 | 0.026 |
| Energy self-sufficiency as a result of being an energy producer | 0.208 | 0.699 | 0.307 | 0.076 |
| Social influence creating the need for pro-environmental behaviours incorporated as an internal need for environmental protection | 0.224 | 0.157 | 0.798 | 0.017 |
| Care about my and my family’s health translating into care for the quality of the environment | 0.219 | 0.231 | 0.755 | 0.055 |
| Keeping up with the green trend | 0.318 | 0.219 | 0.613 | 0.065 |
| Increased energy prices | 0.126 | 0.123 | 0.080 | 0.976 |
| Factor | Information and Knowledge | Investments | Social Influence |
|---|---|---|---|
| Cronbach’s alpha coefficient | 0.873 | 0.731 | 0.720 |
| Factor | Information and Knowledge | Investments | Social Influence | Energy Price |
|---|---|---|---|---|
| Kruskal–Wallis | 414.1 *** | 245.6 *** | 391.4 *** | 50.2 *** |
| Sample 1/Sample 2 | Information and Knowledge | Investments | Social influence | Energy Price | ||||
|---|---|---|---|---|---|---|---|---|
| I/O | 675.7 | *** | 468.8 | *** | 472.4 | ** | 462.9 | ** |
| I/DS | 518.7 | *** | 514.7 | *** | 652.3 | *** | 608.7 | *** |
| I/AE | 1053.4 | *** | 794.7 | *** | 942.1 | *** | 605.5 | *** |
| I/EI | 1300.4 | *** | 1095.9 | *** | 1377.7 | *** | 656.0 | *** |
| O/DS | 157.0 | 45.9 | 179.9 | 145.8 | ||||
| O/AE | 377.7 | ** | 325.5 | ** | 469.6 | ** | 142.6 | |
| O/EI | 624.7 | *** | 627.1 | *** | 905.2 | *** | 193.1 | |
| DS/AE | 534.7 | *** | 279.6 | *** | 289.8 | *** | −3.2 | |
| DS/EI | 781.8 | *** | 581.2 | *** | 725.4 | *** | 47.3 | |
| AE/EI | 247.0 | *** | 301.6 | *** | 435.6 | *** | 50.5 | |
Publisher’s Note: MDPI stays neutral with regard to jurisdictional claims in published maps and institutional affiliations. |
© 2021 by the authors. Licensee MDPI, Basel, Switzerland. This article is an open access article distributed under the terms and conditions of the Creative Commons Attribution (CC BY) license (https://creativecommons.org/licenses/by/4.0/).
Share and Cite
Słupik, S.; Kos-Łabędowicz, J.; Trzęsiok, J. How to Encourage Energy Savings Behaviours? The Most Effective Incentives from the Perspective of European Consumers. Energies 2021, 14, 8009. https://doi.org/10.3390/en14238009
Słupik S, Kos-Łabędowicz J, Trzęsiok J. How to Encourage Energy Savings Behaviours? The Most Effective Incentives from the Perspective of European Consumers. Energies. 2021; 14(23):8009. https://doi.org/10.3390/en14238009
Chicago/Turabian StyleSłupik, Sylwia, Joanna Kos-Łabędowicz, and Joanna Trzęsiok. 2021. "How to Encourage Energy Savings Behaviours? The Most Effective Incentives from the Perspective of European Consumers" Energies 14, no. 23: 8009. https://doi.org/10.3390/en14238009
APA StyleSłupik, S., Kos-Łabędowicz, J., & Trzęsiok, J. (2021). How to Encourage Energy Savings Behaviours? The Most Effective Incentives from the Perspective of European Consumers. Energies, 14(23), 8009. https://doi.org/10.3390/en14238009

