Study on Convective Heat Transfer of Supercritical Nitrogen in a Vertical Tube for Liquid Air Energy Storage
Abstract
:1. Introduction
2. Experimental System and Procedures
3. Numerical Model and Methodology
4. Results and Discussion
4.1. Data Processing and Uncertainty Analysis
4.2. Comparison between Experimental and Numerical Results
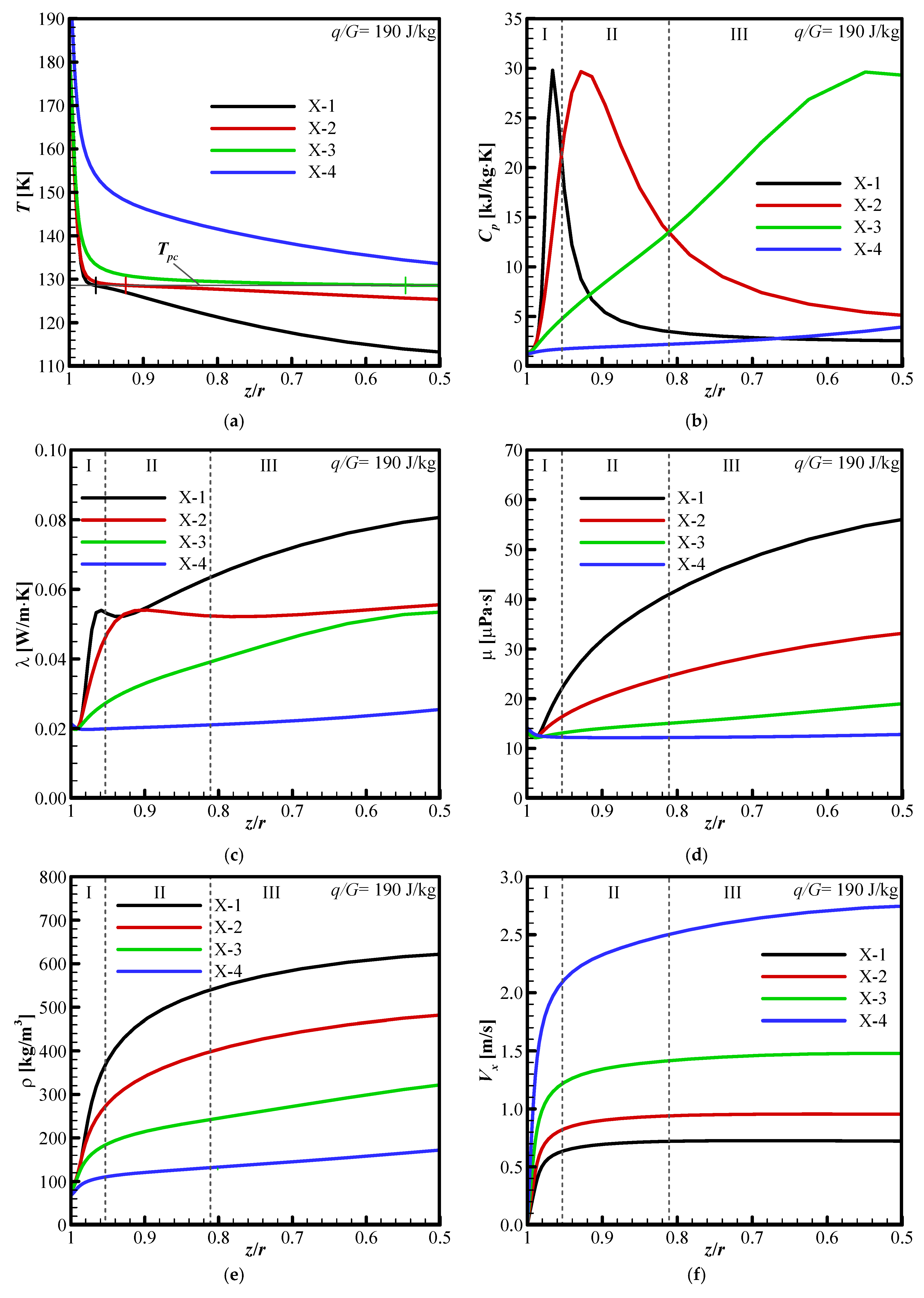
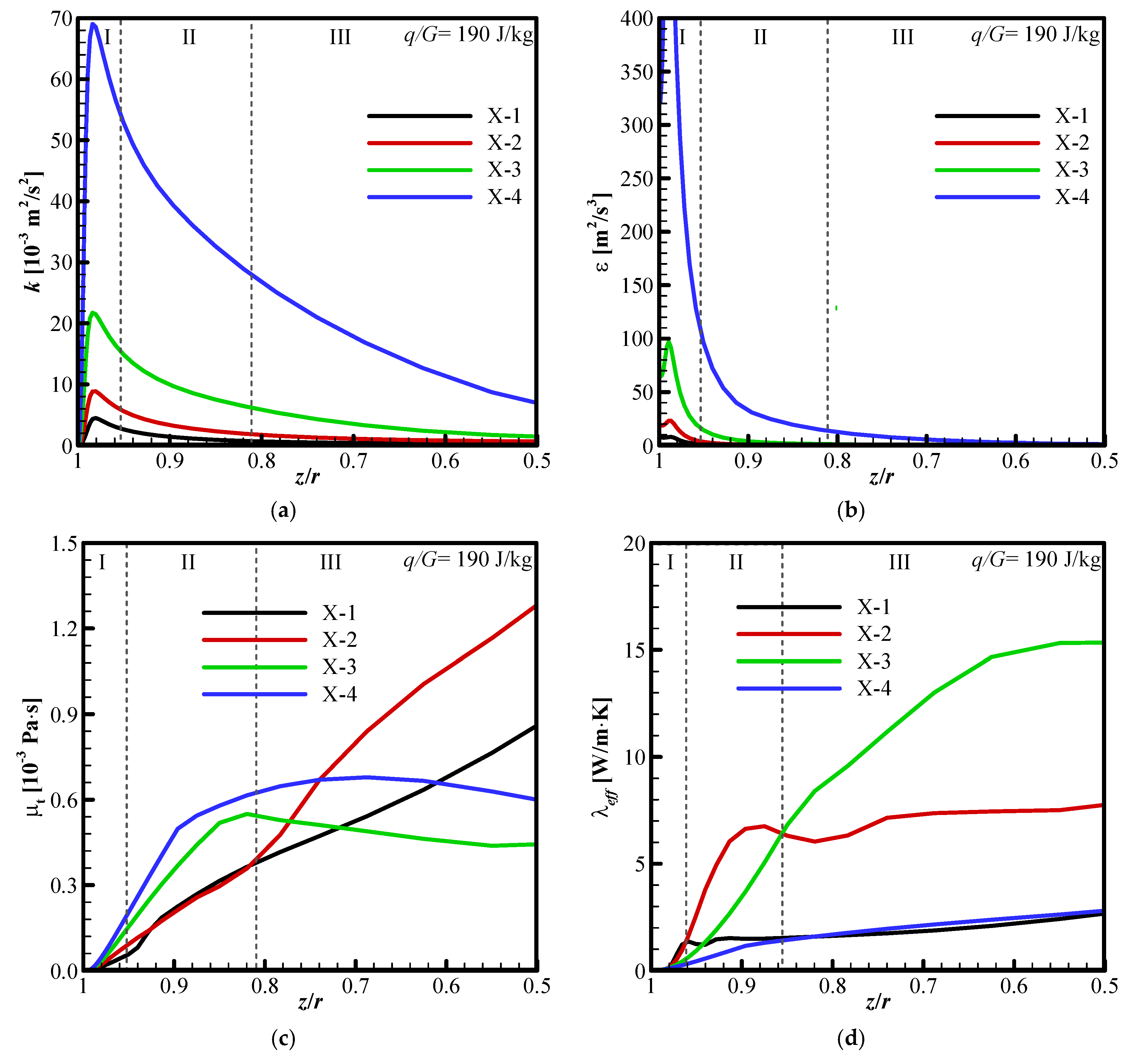
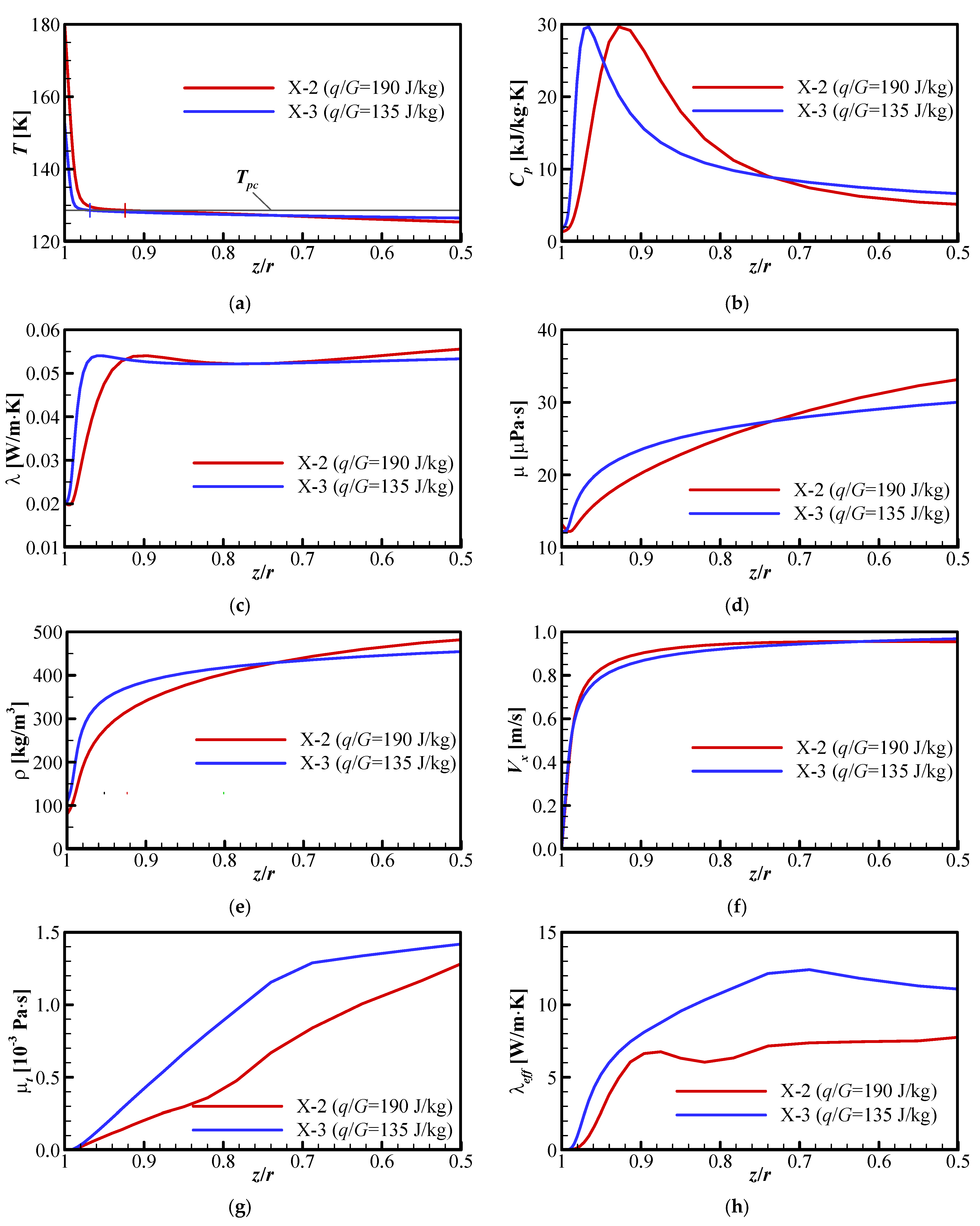
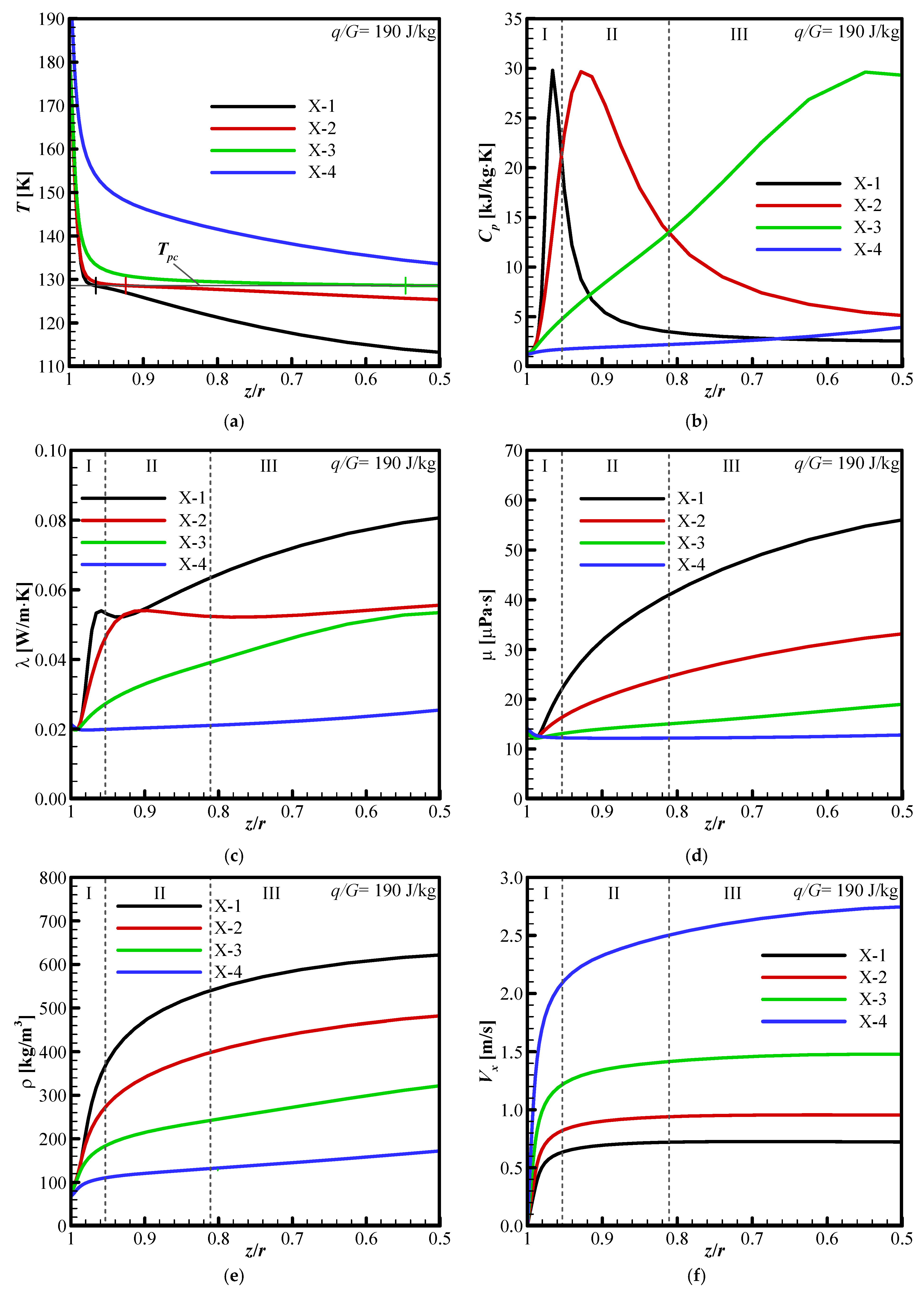
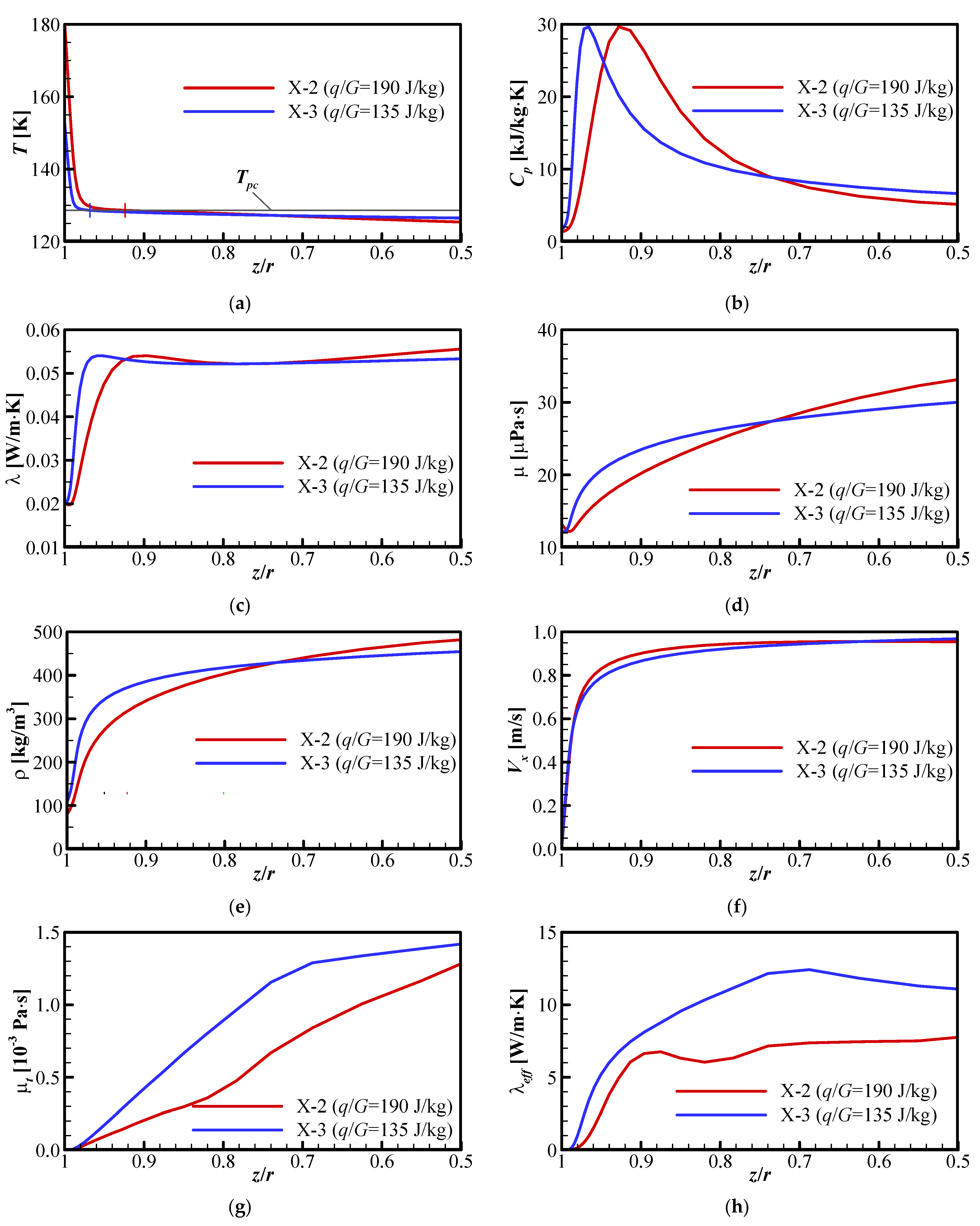
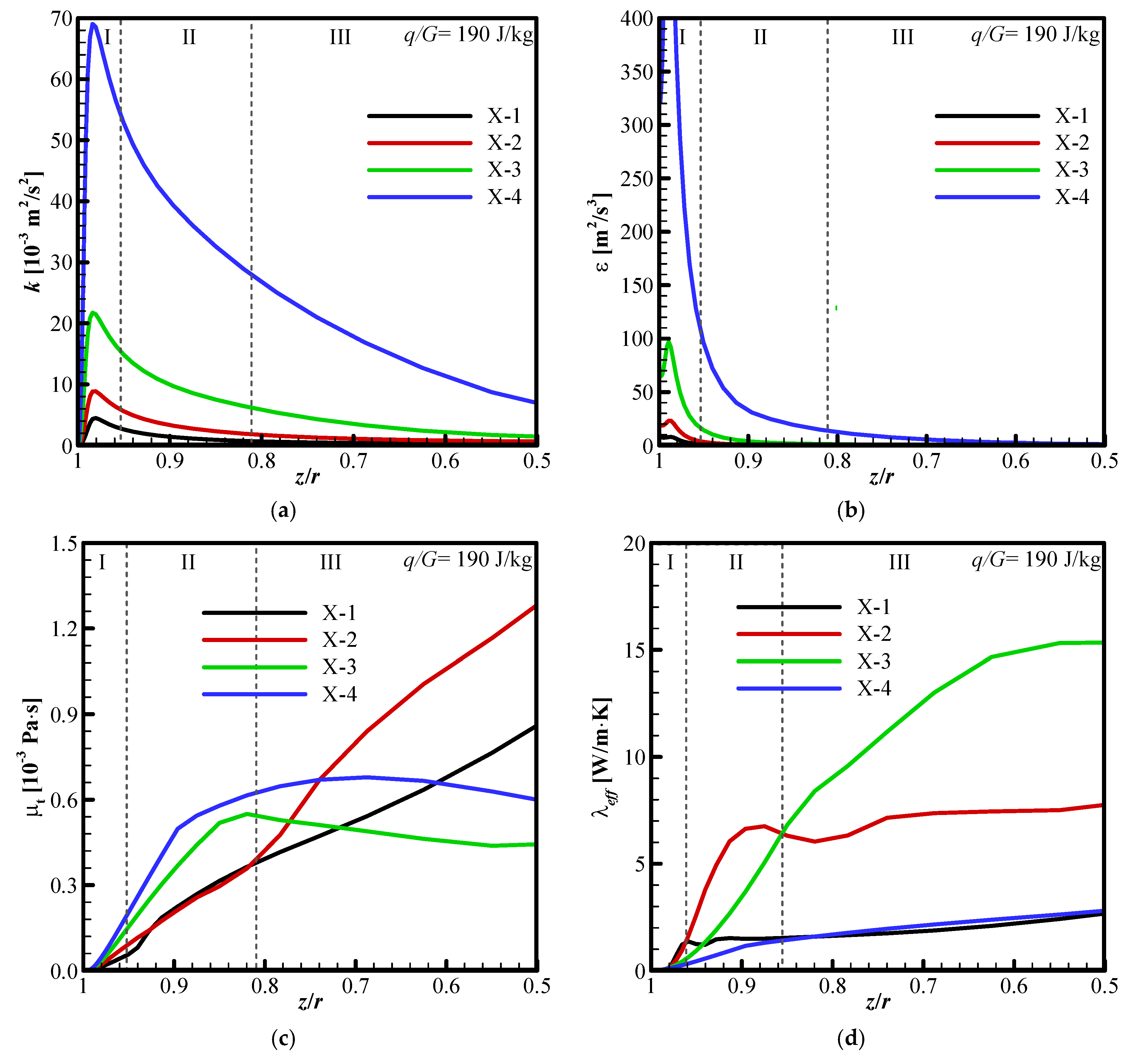
4.3. Analysis of Heat Transfer Characteristics
5. Conclusions
Author Contributions
Funding
Conflicts of Interest
Nomenclature
| Roman letters | |
| specific heat (kJ·kg−1·K−1) | |
| inner diameter (mm) | |
| outer diameter (mm) | |
| mass flux (kg·m−2·s−1) | |
| heat transfer coefficient (W·m−2·K−1) | |
| enthalpy (kJ·kg−1) | |
| Nusselt number | |
| pressure (MPa) | |
| Prandtl number | |
| heat flux (W·m−2) | |
| inner radius (mm) | |
| Reynolds number | |
| temperature (K) | |
| velocity (m·s−1) | |
| axial flow velocity (m·s−1) | |
| axial distance from the inlet (mm) | |
| non-dimensional wall distance | |
| Greek letters | |
| turbulent dissipation rate (m−2·s−3) | |
| turbulent kinetic energy (m−2·s−2) | |
| thermal conductivity (W·m−1·K−1) | |
| dynamic viscosity (Pa·s) | |
| density (kg·m−3) | |
| Subscripts | |
| bulk | |
| critical | |
| effective | |
| inlet | |
| pseudo-critical | |
| inner wall | |
| outer wall | |
| turbulent | |
| tube wall | |
| Abbreviations | |
| LAES | liquid air energy storage |
| LHTC | local heat transfer coefficient |
| LNG | liquefied natural gas |
| S-CO2 | supercritical carbon dioxide |
| S-N2 | supercritical nitrogen |
References
- Legrand, M.; Rodríguez-Antón, L.M.; Martinez-Arevalo, C.; Gutiérrez-Martín, F. Integration of liquid air energy storage into the spanish power grid. Energy 2019, 187, 115965. [Google Scholar] [CrossRef]
- She, X.; Zhang, T.; Cong, L.; Peng, X.; Li, C.; Luo, Y.; Ding, Y. Flexible integration of liquid air energy storage with liquefied natural gas regasification for power generation enhancement. Appl. Energy 2019, 251, 113355. [Google Scholar] [CrossRef]
- Peng, H.; Shan, X.; Yang, Y.; Ling, X. A study on performance of a liquid air energy storage system with packed bed units. Appl. Energy 2018, 211, 126–135. [Google Scholar] [CrossRef]
- Nakhchi, M.E.; Esfahani, J.A. Improving the melting performance of PCM thermal energy storage with novel stepped fins. J. Energy Storage 2020, 30, 101424. [Google Scholar] [CrossRef]
- Lee, I.; Park, J.; Moon, I. Conceptual design and exergy analysis of combined cryogenic energy storage and LNG regasification processes: Cold and power integration. Energy 2017, 140, 106–115. [Google Scholar] [CrossRef]
- Zhang, T.; Chen, L.; Zhang, X.; Mei, S.; Xue, X.; Zhou, Y. Thermodynamic analysis of a novel hybrid liquid air energy storage system based on the utilization of LNG cold energy. Energy 2018, 155, 641–650. [Google Scholar] [CrossRef]
- Dondapati, R.S.; Ravula, J.; Thadela, S.; Usurumarti, P.R. Analytical approximations for thermophysical properties of supercritical nitrogen (SCN) to be used in futuristic high temperature superconducting (HTS) cables. Phys. C Supercond. Its Appl. 2015, 519, 53–59. [Google Scholar] [CrossRef]
- Mahdavi, M.; Yousefzade, O.; Garmabi, H. A simple method for preparation of microcellular PLA/calcium carbonate nanocomposite using super critical nitrogen as a blowing agent: Control of microstructure. Adv. Polym. Technol. 2018, 37, 3017–3026. [Google Scholar] [CrossRef]
- NIST Chemistry WebBook. Available online: http://webbook.nist.gov/chemistry/fluid/ (accessed on 15 June 2021).
- Pioro, I.L. Current status of research on heat transfer in forced convection of fluids at supercritical pressures. Nucl. Eng. Des. 2019, 354, 110207. [Google Scholar] [CrossRef]
- Wang, Z.; Qi, G.; Li, M. Numerical Investigation of Heat Transfer to Supercritical Water in Vertical Tube under Semicircular Heating Condition. Energies 2019, 12, 3958. [Google Scholar] [CrossRef] [Green Version]
- Chen, S.; Gu, H.; Liu, M.; Xiao, Y.; Cui, D. Experimental investigation on heat transfer to supercritical water in a three-rod bundle with spacer grids. Appl. Therm. Eng. 2020, 164, 114466. [Google Scholar] [CrossRef]
- Zhang, S.; Xu, X.; Liu, C.; Liu, X.; Dang, C. Experimental investigation on the heat transfer characteristics of supercritical CO2 at various mass flow rates in heated vertical-flow tube. Appl. Therm. Eng. 2019, 157, 113687. [Google Scholar] [CrossRef]
- Ren, Z.; Zhao, C.-R.; Jiang, P.-X.; Bo, H.-L. Investigation on local convection heat transfer of supercritical CO2 during cooling in horizontal semicircular channels of printed circuit heat exchanger. Appl. Therm. Eng. 2019, 157, 113697. [Google Scholar] [CrossRef]
- Lei, X.; Zhang, J.; Gou, L.; Zhang, Q.; Li, H. Experimental study on convection heat transfer of supercritical CO2 in small upward channels. Energy 2019, 176, 119–130. [Google Scholar] [CrossRef]
- Wang, J.; Li, J.; Gurgenci, H.; Veeraragavan, A.; Kang, X.; Hooman, K. Computational investigations on convective flow and heat transfer of turbulent supercritical CO2 cooled in large inclined tubes. Appl. Therm. Eng. 2019, 159, 113922. [Google Scholar] [CrossRef]
- Tian, R.; Wei, M.; Dai, X.; Song, P.; Shi, L. Buoyancy effect on the mixed convection flow and heat transfer of supercritical R134a in heated horizontal tubes. Int. J. Heat Mass Transf. 2019, 144, 118607. [Google Scholar] [CrossRef]
- Yu, Q.; Song, W.; Al-Duri, B.; Zhang, Y.; Xie, D.; Ding, Y.; Li, Y. Theoretical analysis for heat exchange performance of transcritical nitrogen evaporator used for liquid air energy storage. Appl. Therm. Eng. 2018, 141, 844–857. [Google Scholar] [CrossRef]
- Dimitrov, D.; Zahariev, A.; Kovachev, V.; Wawryk, R. Forced convective heat transfer to supercritical nitrogen in a vertical tube. Int. J. Heat Fluid Flow 1989, 10, 278–280. [Google Scholar] [CrossRef]
- Negoescu, C.C.; Li, Y.L.; Al-Duri, B.; Ding, Y.L. Heat transfer behaviour of supercritical nitrogen in the large specific heat region flowing in a vertical tube. Energy 2017, 134, 1096–1106. [Google Scholar] [CrossRef] [Green Version]
- Zhang, P.; Huang, Y.; Shen, B.; Wang, R.Z. Flow and heat transfer characteristics of supercritical nitrogen in a vertical mini-tube. Int. J. Therm. Sci. 2011, 50, 287–295. [Google Scholar] [CrossRef]
- Zhu, X.; Lyu, Z.; Yu, X.; Li, Q.; Cao, M.; Ren, Y. Heat Transfer Enhancement of Supercritical Nitrogen Flowing Downward in a Small Vertical Tube: Evaluation of System Parameter Effects. J. Therm. Sci. 2020, 29, 1487–1503. [Google Scholar] [CrossRef]
- Wang, Y.; Lu, T.; Drögemüller, P.; Yu, Q.; Ding, Y.; Li, Y. Enhancing deteriorated heat transfer of supercritical nitrogen in a vertical tube with wire matrix insert. Int. J. Heat Mass Transf. 2020, 162, 120358. [Google Scholar] [CrossRef]
- Nouri-Borujerdi, A.; Nakhchi, M.E. Experimental study of convective heat transfer in the entrance region of an annulus with an external grooved surface. Exp. Therm. Fluid Sci. 2018, 98, 557–562. [Google Scholar] [CrossRef]
- He, S.; Jiang, P.-X.; Xu, Y.-J.; Shi, R.-F.; Kim, W.S.; Jackson, J.D. A computational study of convection heat transfer to CO2 at supercritical pressures in a vertical mini tube. Int. J. Therm. Sci. 2005, 44, 521–530. [Google Scholar] [CrossRef]
- ANSYS. ANSYS Fluent Theory Guide; ANSYS, Inc.: Canonsburg, PA, USA, 2013. [Google Scholar]
- Huang, D.; Li, W. A brief review on the buoyancy criteria for supercritical fluids. Appl. Therm. Eng. 2018, 131, 977–987. [Google Scholar] [CrossRef]
- Sahu, S.; Vaidya, A.M. Numerical study of enhanced and deteriorated heat transfer phenomenon in supercritical pipe flow. Ann. Nucl. Eng. 2020, 135, 106966. [Google Scholar] [CrossRef]
- Launder, B.E.; Spalding, D.B. The numerical computation of turbulent flows. Comput. Methods Appl. Mech. Eng. 1974, 3, 269–289. [Google Scholar] [CrossRef]
- Tang, G.; Shi, H.; Wu, Y.; Lu, J.; Li, Z.; Liu, Q.; Zhang, H. A variable turbulent Prandtl number model for simulating supercritical pressure CO2 heat transfer. Int. J. Heat Mass Transf. 2016, 102, 1082–1092. [Google Scholar] [CrossRef]












| Measured Parameter | Uncertainty | Instruments | Specifications |
|---|---|---|---|
| Power | ±1 W | Digital Bench Power Supply, EA-PS 9080-120 2U, Elektro-Automatik Analogue, Viersen, Germany | <0.1% of read value <0.002 Volt <0.08 Ampere |
| Flow rate | ±0.3 L/min | Omega FMA-A2323 digital flowmeter, OMEGA Engineering Inc., Norwalk, CT, USA | ±1% of full scale ±0.3 SLM |
| Temperature | ±0.5 °C | Type-T thermocouple, Thermon Ltd., London, UK | ±0.5 °C |
| Pressure | ±0.05 bar | Alicat Scientific pressure measuring and controller, PCH-1000PSIA-D-PCA14, Alicat Scientific, Tucson, AZ, USA | ±0.125% of read value |
| Length | ±1 mm | ±1 mm of length | |
| Diameter | ±0.1 mm | ±0.1 mm of diameter |
| Number of grids | 150,000 | 300,000 | 600,000 | 1200,000 |
| Average wall temperatures | 160.25 K | 161.12 K | 161.61 K | 161.93 K |
Publisher’s Note: MDPI stays neutral with regard to jurisdictional claims in published maps and institutional affiliations. |
© 2021 by the authors. Licensee MDPI, Basel, Switzerland. This article is an open access article distributed under the terms and conditions of the Creative Commons Attribution (CC BY) license (https://creativecommons.org/licenses/by/4.0/).
Share and Cite
Yu, Q.; Peng, Y.; Negoescu, C.C.; Wang, Y.; Li, Y. Study on Convective Heat Transfer of Supercritical Nitrogen in a Vertical Tube for Liquid Air Energy Storage. Energies 2021, 14, 7773. https://doi.org/10.3390/en14227773
Yu Q, Peng Y, Negoescu CC, Wang Y, Li Y. Study on Convective Heat Transfer of Supercritical Nitrogen in a Vertical Tube for Liquid Air Energy Storage. Energies. 2021; 14(22):7773. https://doi.org/10.3390/en14227773
Chicago/Turabian StyleYu, Qinghua, Yuxiang Peng, Ciprian Constantin Negoescu, Yi Wang, and Yongliang Li. 2021. "Study on Convective Heat Transfer of Supercritical Nitrogen in a Vertical Tube for Liquid Air Energy Storage" Energies 14, no. 22: 7773. https://doi.org/10.3390/en14227773
APA StyleYu, Q., Peng, Y., Negoescu, C. C., Wang, Y., & Li, Y. (2021). Study on Convective Heat Transfer of Supercritical Nitrogen in a Vertical Tube for Liquid Air Energy Storage. Energies, 14(22), 7773. https://doi.org/10.3390/en14227773

