Ray Effects and False Scattering in Improved Discrete Ordinates Method
Abstract
:1. Introduction
2. The Improved Discrete Ordinates Method
2.1. Conventional Discrete Ordinates Method
2.2. Improved Discrete Ordinates Method
2.3. Accuracy Analysis of IDOM
3. Results and Discussion
3.1. Model Description
3.2. Ray Effects in IDOM
3.3. False Scattering in IDOM
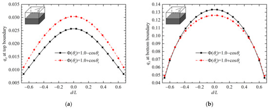
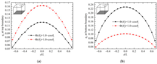
3.4. Effect of Scattering Phase Functions on Radiative Transfer
3.5. Computation Cost Comparison
4. Conclusions
Author Contributions
Funding
Institutional Review Board Statement
Informed Consent Statement
Data Availability Statement
Conflicts of Interest
References
- Howell, J.R.; Siegel, R.; Mengüç, M.P. Thermal Radiation Heat Transfer, 5th ed.; CRC Press: Boca Raton, FL, USA, 2011. [Google Scholar]
- Modest, M.F. Radiative Heat Transfer, 3rd ed.; Academic Press: San Diego, CA, USA, 2013. [Google Scholar]
- Chai, J.C.; Lee, H.S.; Patankar, S.V. Ray effect and false scattering in the discrete ordinates method. Numer. Heat Transf. Part B Fundam. 1993, 24, 373–389. [Google Scholar] [CrossRef]
- Tan, H.-P.; Zhang, H.-C.; Zhen, B. Estimation of ray effect and false scattering in approximate solution method for thermal radiative transfer equation. Numer. Heat Transf. Part A Appl. 2004, 46, 807–829. [Google Scholar] [CrossRef]
- Hunter, B.; Guo, Z. Numerical smearing, ray effect, and angular false scattering in radiation transfer computation. Int. J. Heat Mass Transf. 2015, 81, 63–74. [Google Scholar] [CrossRef]
- Liu, F.; Becker, H.A.; Pollard, A. Spatial differencing schemes of the discrete-ordinates method. Numer. Heat Transf. Part B Fundam. 1996, 30, 23–43. [Google Scholar] [CrossRef]
- Jessee, J.P.; Fiveland, W.A. Bounded, High-Resolution Differencing Schemes Applied to the Discrete Ordinates Method. J. Thermophys. Heat Transf. 1997, 11, 540–548. [Google Scholar] [CrossRef]
- Coelho, P.J. Bounded Skew High-Order Resolution Schemes for the Discrete Ordinates Method. J. Comput. Phys. 2002, 175, 412–437. [Google Scholar] [CrossRef]
- Li, H.-S.; Gilles, F. Reduction of False Scattering of the Discrete Ordinates Method. J. Heat Transf. 2002, 124, 837–844. [Google Scholar] [CrossRef]
- Li, H.-S. Reduction of false scattering in arbitrarily specified discrete directions of the discrete ordinates method. J. Quant. Spectrosc. Radiat. Transf. 2004, 86, 215–222. [Google Scholar] [CrossRef]
- Li, H.-S.; Flamant, G.; Lu, J.-D. Mitigation of ray effects in the discrete ordinates method. Numer. Heat Transf. Part B Fundam. 2003, 43, 445–466. [Google Scholar] [CrossRef]
- Tencer, J. Ray Effect Mitigation through Reference Frame Rotation. J. Heat Transf. 2016, 138, 112701. [Google Scholar] [CrossRef]
- Camminady, T.; Frank, M.; Küpper, K.; Kusch, J. Ray effect mitigation for the discrete ordinates method through quadrature rotation. J. Comput. Phys. 2019, 382, 105–123. [Google Scholar] [CrossRef] [Green Version]
- Zhang, B.; Zhang, L.; Liu, C.; Chen, Y. Goal-Oriented Regional Angular Adaptive Algorithm for the SN Equations. Nucl. Sci. Eng. 2018, 189, 120–134. [Google Scholar] [CrossRef]
- Dargaville, S.; Smedley-Stevenson, R.P.; Smith, P.N.; Pain, C.C. Goal-based angular adaptivity for Boltzmann transport in the presence of ray-effects. J. Comput. Phys. 2020, 421, 109759. [Google Scholar] [CrossRef]
- Lathrop, K.D. Remedies for Ray Effects. Nucl. Sci. Eng. 1971, 45, 255–268. [Google Scholar] [CrossRef]
- Morel, J.E.; Wareing, T.A.; Lowrie, R.B.; Parsons, D.K. Analysis of Ray-Effect Mitigation Techniques. Nucl. Sci. Eng. 2003, 144, 1–22. [Google Scholar] [CrossRef]
- Frank, M.; Kusch, J.; Camminady, T.; Hauck, C.D. Ray Effect Mitigation for the Discrete Ordinates Method Using Artificial Scattering. Nucl. Sci. Eng. 2020, 194, 971–988. [Google Scholar] [CrossRef] [Green Version]
- Ramankutty, M.A.; Crosbie, A.L. Modified discrete ordinates solution of radiative transfer in two-dimensional rectangular enclosures. J. Quant. Spectrosc. Radiat. Transf. 1997, 57, 107–140. [Google Scholar] [CrossRef]
- Ramankutty, M.A.; Crosbie, A.L. Modified discrete-ordinates solution of radiative transfer in three-dimensional rectangular enclosures. J. Quant. Spectrosc. Radiat. Transf. 1998, 60, 103–134. [Google Scholar]
- Coelho, P.J. The role of ray effects and false scattering on the accuracy of the standard and modified discrete ordinates methods. J. Quant. Spectrosc. Radiat. Transf. 2002, 73, 231–238. [Google Scholar] [CrossRef]
- Tan, Z.-M.; Hsu, P.-F.; Wu, S.-H.; Wu, C.-Y. Modified YIX Method and Pseudoadaptive Angular Quadrature for Ray Effects Mitigation. J. Thermophys. Heat Transf. 2000, 14, 289–296. [Google Scholar] [CrossRef]
- Huang, Z.-F.; Zhou, H.-C.; Hsu, P.-f. Improved Discrete Ordinates Method for Ray Effects Mitigation. J. Heat Transf. 2011, 133, 044502. [Google Scholar] [CrossRef]
- Li, H.-S.; Zhou, H.-C.; Lu, J.-D.; Zheng, C.-G. Computation of 2-D pinhole image-formation process of large-scale furnaces using the discrete ordinates method. J. Quant. Spectrosc. Radiat. Transf. 2003, 78, 437–453. [Google Scholar] [CrossRef]
- Raithby, G.D. Evaluation of discretization errors in finite-volume radiant heat transfer predictions. Numer. Heat Transf. Part B Fundam. 1999, 36, 241–264. [Google Scholar] [CrossRef]
- Coelho, P.J. Advances in the discrete ordinates and finite volume methods for the solution of radiative heat transfer problems in participating media. J. Quant. Spectrosc. Radiat. Transf. 2014, 145, 121–146. [Google Scholar] [CrossRef]
- Lu, X.; Hsu, P.F. Parallel computing of an integral formulation of transient radiation transport. J. Thermophys. Heat Transf. 2003, 17, 425–433. [Google Scholar] [CrossRef]









| Cases | Emissive Power at the Boundary | Emissive Power in the Medium | Scattering Albedo |
|---|---|---|---|
| Case 1 | eb = 1.0, z = 0 | eb = 0 | 1.0 |
| Case 2 | eb = 0 | eb = 1.0, 0 < z < 0.5 L; eb = 0, 0.5 L < z < L | 0.9 |
| Case 3 | eb = 0 | eb = 1.0 | 0.9 |
| Cases | A1 | RMC | DOM S8 | DOM S12 | IDOM S8 + SR10 | IDOM S8 + SR20 |
|---|---|---|---|---|---|---|
| Case 1 | 0 | 41.64 | 1.22 | 5.88 | 1.30 | 1.53 |
| −1 | 42.91 | 1.77 | 7.64 | 1.86 | 2.03 | |
| 1 | 41.86 | 1.53 | 6.61 | 1.63 | 1.78 | |
| Case 2 | 0 | 37.70 | 1.78 | 8.27 | 1.92 | 2.13 |
| −1 | 38.83 | 2.61 | 11.34 | 2.64 | 2.88 | |
| 1 | 38.05 | 2.23 | 9.83 | 2.27 | 2.52 | |
| Case 3 | 0 | 42.48 | 1.98 | 8.47 | 2.03 | 2.20 |
| −1 | 43.30 | 2.78 | 12.13 | 2.84 | 3.02 | |
| 1 | 42.69 | 2.30 | 9.89 | 2.33 | 2.53 |
Publisher’s Note: MDPI stays neutral with regard to jurisdictional claims in published maps and institutional affiliations. |
© 2021 by the authors. Licensee MDPI, Basel, Switzerland. This article is an open access article distributed under the terms and conditions of the Creative Commons Attribution (CC BY) license (https://creativecommons.org/licenses/by/4.0/).
Share and Cite
Cheng, Y.; Yang, S.; Huang, Z. Ray Effects and False Scattering in Improved Discrete Ordinates Method. Energies 2021, 14, 6839. https://doi.org/10.3390/en14206839
Cheng Y, Yang S, Huang Z. Ray Effects and False Scattering in Improved Discrete Ordinates Method. Energies. 2021; 14(20):6839. https://doi.org/10.3390/en14206839
Chicago/Turabian StyleCheng, Yong, Shuihua Yang, and Zhifeng Huang. 2021. "Ray Effects and False Scattering in Improved Discrete Ordinates Method" Energies 14, no. 20: 6839. https://doi.org/10.3390/en14206839
APA StyleCheng, Y., Yang, S., & Huang, Z. (2021). Ray Effects and False Scattering in Improved Discrete Ordinates Method. Energies, 14(20), 6839. https://doi.org/10.3390/en14206839

