Comprehensive Risk Management in Passive Buildings Projects
Abstract
:1. Introduction
1.1. Principles of Passive Buildings
- The compactness of the building and very good thermal insulation resulting in achieving low heat transfer coefficient values of all elements of the building envelope (typical U values 0.6–0.15 W/m2K),
- Minimisation of “thermal bridges”,
- High airtightness of the construction (airflow ≤0.6 air changes per hour at a pressure difference of 50 Pa),
- Effective mechanical ventilation with heat recovery (heat recovery efficiency above 80%),
- Southern orientation of windows, use of solar energy, and internal gains including shading issues to avoid overheating (the frequency of excessive temperatures exceeding 25 °C cannot exceed 10%),
- Energy-saving, certified passive windows (glazing and window frames): windows (glazing and frames) should have U coefficients below 0.80 W/(m2K), with g window coefficients having to be around 50%,
- Use of renewable energy sources,
- Use of energy-saving household appliances.
1.2. Risk, Challenges and Troubleshooting Solutions in Passive Buildings Projects—Literature Review
1.3. Contribution of the Proposed Approach
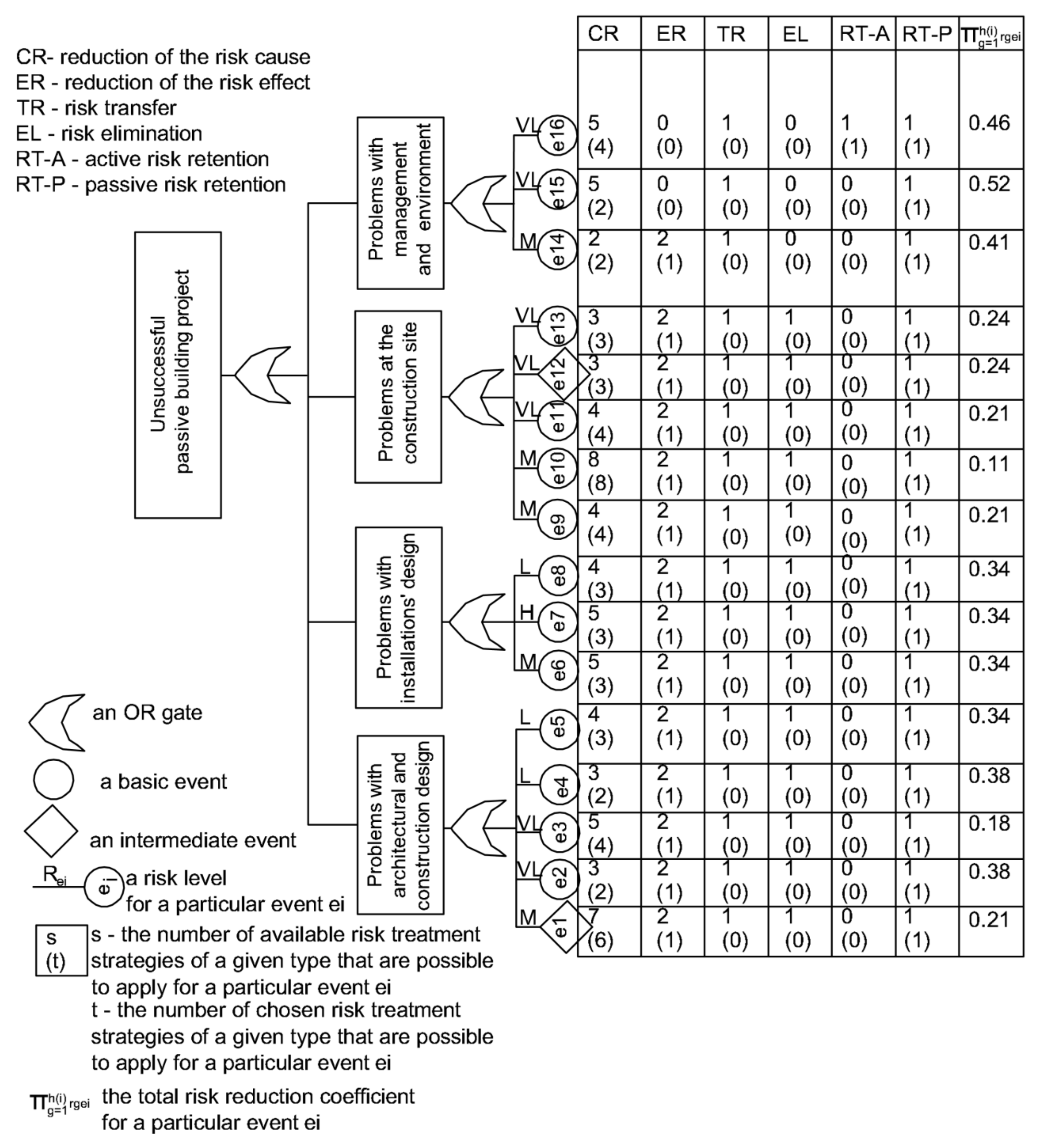
- Identification of 16 basic events (BE) and underdeveloped events (UE) in passive buildings projects with factors determining risk level,
- Identification of the top event (TE),
- Development of a fault tree integrated with risk management matrix,
- Decreasing the uncertainty, imprecision, and the problems connected with getting the crisp values of the BEs/UEs probability of occurrence from the experts assessing them thanks to using fuzzy sets theory in the proposed model,
- Taking into account the specificity and dynamics of risk in passive buildings projects and its dependence on several parameters: the unwanted event, probability of occurrence, its consequences, risk reduction for the chosen risk treatment strategies, the experience of the project team in introducing the risk management strategy,
- Proposing 171 risk remediation strategies for passive buildings projects with risk reduction coefficients proposed for each action.
2. The Proposed Approach
2.1. Risk Assessment
2.1.1. Risk Identification
2.1.2. Risk Analysis
2.1.3. Risk Evaluation
2.2. Risk Treatment
3. Example of Application
4. Discussion of the Results
5. Conclusions
Author Contributions
Funding
Institutional Review Board Statement
Informed Consent Statement
Data Availability Statement
Conflicts of Interest
References
- What is a Passive House? Available online: https://passipedia.org/ (accessed on 14 September 2021).
- Passive House Institute. Criteria for the Passive House, EnerPHit and PHI Low Energy Building Standard (Version 9f); The Passive House Institute: Darmstadt, Germany, 2016; pp. 1–27. [Google Scholar]
- Feist, W. Gestaltungsgrundlagen Passivhäuser; Passive House Institute: Darmstadt, Germany, 2001. [Google Scholar]
- Passive House Database. Available online: https://passivehouse-database.org/# (accessed on 14 September 2021).
- Sadineni, S.B.; Madala, S.; Boehm, R.F. Passive building energy savings: A review of buildings envelope components. Renew. Sustain. Energy Rev. 2012, 15, 3617–3631. [Google Scholar] [CrossRef]
- European Green Deal. Available online: https://ec.europa.eu/clima/eu-action/european-green-deal_en (accessed on 12 October 2021).
- Figueiredo, A.; Rebelo, F.; Castanho, R.A.; Oliveira, R.; Lousada, S.; Vicente, R.; Ferreira, V.M. Implementation and Challenges of the Passive House Concept in Portugal: Lessons Learnt from Successful Experience. Sustainability 2020, 12, 8761. [Google Scholar] [CrossRef]
- The European Parliament and the Council of the European Union. Directive (EU) 2018/844 of the European Parliament and of the Council of 30 May 2018 Amending Directive 2010/31/EU on the Energy Performance of Buildings and Directive 2012/27/EU on Energy Efficiency; The European Parliament and the Council of the European Union: Brussels, Belgium, 2018. [Google Scholar]
- Wąs, K.; Radoń, J.; Sadłowska-Sałęga, A. Maintenance of Passive House Standard in the Light of Long-Term Study on Energy Use in a Prefabricated Lightweight Passive House in Central Europe. Energies 2020, 13, 2801. [Google Scholar] [CrossRef]
- Lang, A. Defining the Nearly Zero Energy Building, Passive House Institute. Available online: https://passreg.eu/upload/PassREg_International_EN/Flipbook.pdf (accessed on 12 October 2021).
- Niskanen, J.; Rohracher, H. Passive houses as affiliative objects: Investment calculations, energy modelling, and collaboration strategies of Swedish housing companies. Energy Res. Soc. Sci. 2020, 70, 101643. [Google Scholar] [CrossRef]
- Lee, J.; Shepley, M.M.; Choi, J. Exploring the localization process of low energy residential buildings: A case study of Korean passive houses. J. Build. Eng. 2020, 30, 101290. [Google Scholar] [CrossRef]
- Schnieders, J.; Feist, W.; Rongen, L. Passive Houses for different climate zones. Energy Build. 2015, 105, 71–87. [Google Scholar] [CrossRef]
- Bomberg, M.; Wojcik, R.; Piotrowski, J.Z. A concept of integrated environmental approach, Part 2: Integrated approach to rehabilitation. J. Build. Phys. 2016, 39, 482–502. [Google Scholar] [CrossRef]
- Chwieduk, D. Towards modern options of energy conservation in buildings. Renew. Energ. 2017, 101, 1194–1202. [Google Scholar] [CrossRef]
- Wimmers, G.; Veitch, C.; Silverio, R.; Stern, R.; Aravind, A. Research-Practice Gap in Passive House Standard. In Proceedings of the 2018 IEEE 9th Annual Information Technology, Electronics and Mobile, Vancouver, BC, Canada, 1–3 November 2018. [Google Scholar]
- Krechowicz, M. Qualitative Risk Assessment of Passive House Design and Construction Processes. In Proceedings of the 5th World Multidisciplinary Civil Engineering-Architecture-Urban Planning Symposium—WMCAUS, Prague, Czech Republic, 15–19 June 2020; IOP Publishing: Bristol, UK, 2020; p. 042068. [Google Scholar] [CrossRef]
- Güler, K. Contemporary Issues in Housing Design; Cambridge Scholars Publishing: Newcastle, UK, 2018; p. 192. [Google Scholar]
- Jochem, E. Improving the Efficiency of R&D and the Market Diffusion of Energy Technologies; Physica Verlag: Heidelberg, Germany, 2009; p. 137. [Google Scholar]
- Piraccini, S.; Fabbri, K. Building a Passive House: The Architect’s Logbook; Springer: Berlin/Heidelberg, Germany, 2018. [Google Scholar]
- Pitts, A. Passive House and Low Energy Buildings: Barriers and Opportunities for Future Development within UK Practice. Sustainability 2017, 9, 272. [Google Scholar] [CrossRef] [Green Version]
- Zender-Świercz, E. Improving the indoor air quality using the individual air supply system. Int. J. Environ. Sci. Technol. 2018, 15, 89–696. [Google Scholar] [CrossRef] [Green Version]
- Zender-Świercz, E. Analysis of the impact of the parameters of outside air on the condition of indoor air. Int. J. Environ. Sci. Technol. 2017, 14, 1583–1590. [Google Scholar] [CrossRef] [Green Version]
- Hasselaar, E. Health risk associated with passive houses: An exploration. Proc. Indoor Air 2008, 2008, 17–22. [Google Scholar]
- Cholewa, T.; Balen, I.; Siuta-Olcha, A. On the influence of local and zonal hydraulic balancing of heating system on energy savings in existing buildings–Long term experimental research. Energy Build. 2018, 179, 156–164. [Google Scholar] [CrossRef]
- Cholewa, T.; Siuta-Olcha, A.; Anasiewicz, R. On the possibilities to increase energy efficiency of domestic hot water preparation systems in existing buildings–Long term field research. J. Clean. Prod. 2019, 217, 194–203. [Google Scholar] [CrossRef]
- Cholewa, T.; Balaras, C.A.; Nižetić, S.; Siuta-Olcha, A. On calculated and actual energy savings from thermal building renovations–Long term field evaluation of multifamily buildings. Energy Build. 2020, 223, 110145. [Google Scholar] [CrossRef]
- Zender-Świercz, E. Improvement of indoor air quality by way of using decentralised ventilation. J. Build. Eng. 2020, 32, 101663. [Google Scholar] [CrossRef]
- Polo López, C.S.; Lucchi, E.; Leonardi, E.; Durante, A.; Schmidt, A.; Curtis, R. Risk-Benefit Assessment Scheme for Renewable Solar Solutions in Traditional and Historic Buildings. Sustainability 2021, 13, 5246. [Google Scholar] [CrossRef]
- Janson, U. Passive Houses in Sweden. From Design to Evaluation of Four Demonstration Projects; Lund University: Lund, Sweden, 2010. [Google Scholar]
- Larsen, T.S.; Jensen, R.L. Comparison of measured and calculated values for the indoor environment in one of the first Danish passive houses. In Proceedings of the Building Simulation 2011: 12th Conference of International Building Performance Simulation Association, Sydney, Australia, 14–16 November 2011; pp. 1414–1421. [Google Scholar]
- Schnieders, J. A First Guess Passive Home in Southern France. Passive-on Project Report. Available online: www.maison-passive-nice.fr/documents/FirstGuess_Marseille.pdf2005 (accessed on 14 September 2021).
- Schnieders, J. Passiv Houses in South West Europe: A Quantitative Investigation of Some Passive and Active Space Conditioning Techniques for Highly Energy Efficient Dwellings in the South West European Region; Passivhaus Inst.: Wuppertal, Germany, 2009. [Google Scholar]
- Goncalves, V.; Ogunjimi, Y.; Heo, Y. Scrutinizing modeling and analysis methods for evaluating overheating risks in passive houses. Energy Build. 2021, 234, 110701. [Google Scholar] [CrossRef]
- Dudzińska, A.; Kisilewicz, T. Alternative Ways of Cooling a Passive School Building in Order to Maintain Thermal Comfort in Summer. Energies 2021, 14, 70. [Google Scholar] [CrossRef]
- Winkler, M.; Antretter, F.; Radon, J. Critical discussion of a shading calculation method for low energy building and passive house design. Energy Procedia 2017, 132, 33–38. [Google Scholar] [CrossRef]
- Wang, W.; Zmeureanu, R.; Rivard, H. Applying multi-objective genetic algorithms in green building design optimization. Build. Environ. 2005, 40, 1512–1525. [Google Scholar] [CrossRef]
- Crawley, D.B.; Hand, J.W.; Kummert, M.; Griffith, B.T. Contrasting the capabilities of building energy performance simulation programs. Build. Environ. 2008, 43, 661–673. [Google Scholar] [CrossRef] [Green Version]
- Oliveira, R.; Figueiredo, A.; Vicente, R.; Almeida, R.M.S.F. Multi-Objective Optimisation of the Energy Performance of Lightweight Constructions Combining Evolutionary Algorithms and Life Cycle Cost. Energies 2018, 11, 1863. [Google Scholar] [CrossRef] [Green Version]
- Kämpf, J.H.; Robinson, D. A simplified thermal model to support analysis of urban resource flows. Energy Build. 2007, 39, 445–453. [Google Scholar] [CrossRef]
- Figueiredo, A.; Kämpf, J.; Vicente, R. Passive house optimization for Portugal: Overheating evaluation and energy performance. Energy Build. 2016, 118, 181–196. [Google Scholar] [CrossRef]
- Wang, R.; Lu, S.; Feng, W. A three-stage optimization methodology for envelope design of passive house considering energy demand, thermal comfort and cost. Energy 2020, 192, 116723. [Google Scholar] [CrossRef]
- Magnier, L.; Haghighat, F. Multiobjective optimization of building design using TRNSYS simulations, genetic algorithm, and Artificial Neural Network. Build. Environ. 2010, 45, 739–746. [Google Scholar] [CrossRef]
- Piotrowski, J.Z.; Orman, L.J.; Lucas, X.; Zender-Świercz, E.; Telejko, M.; Koruba, D. Tests of thermal resistance of simulated walls with the reflective insulation, EFM13-EXPERIMENTAL FLUID MECHANICS 2013. EPJ Web Conf. 2014, 67, 02095. [Google Scholar] [CrossRef] [Green Version]
- Musiał, M.; Lichołaj, L. The Impact of a Mobile Shading System and a Phase-Change Heat Store on the Thermal Functioning of a Transparent Building Partition. Materials 2021, 14, 2512. [Google Scholar] [CrossRef]
- Chwieduk, B.; Chwieduk, D. Analysis of operation and energy performance of a heat pump driven by a PV system for space heating of a single family house in polish Conditions. Renew. Energy 2021, 165, 117e126. [Google Scholar] [CrossRef]
- Dębska, B.; Lichołai, L. The selected mechanical properties of epoxy mortar containing PET waste. Constr. Build. Mater. 2015, 94, 579–588. [Google Scholar] [CrossRef]
- Koniorczyk, M.; Grymin, W.; Zygmunt, M.; Gawin, D. Novel stochastic approach to predict the energy demand and thermal comfort in the office buildings considering materials and human-related Gaussian uncertainties. J. Build. Eng. 2021, 42, 102831. [Google Scholar] [CrossRef]
- Koniorczyk, M.; Grymin, W.; Zygmunt, M.; Bednarska, D.; Wieczorek, A.; Gawin, D. Stochastic energy-demand analyses with random input parameters for the single-family house. Build. Simul. 2021, 1–19. [Google Scholar] [CrossRef]
- Cholewa, T.; Siuta-Olcha, A.; Smolarz, A.; Muryjas, P.; Wolszczak, P.; Anasiewicz, R.; Balaras, C.A. A simple building energy model in form of an equivalent outdoor temperature. Energy Build. 2021, 236, 110766. [Google Scholar] [CrossRef]
- Cholewa, T.; Siuta-Olcha, A.; Smolarz, A.; Muryjas, P.; Wolszczak, P.; Guz, Ł.; Balaras, C.A. On the short term forecasting of heat power for heating of building. J. Clean. Prod. 2021, 307, 127232. [Google Scholar] [CrossRef]
- Cholewa, T.; Malec, A.; Siuta-Olcha, A.; Smolarz, A.; Muryjas, P.; Wolszczak, P.; Guz, Ł.; Dudzińska, M.R.; Łygas, K. On the Influence of Solar Radiation on Heat Delivered to Buildings for Heating. Energies 2021, 14, 851. [Google Scholar] [CrossRef]
- Firląg, S.; Zawada, B. Impacts of airflows, internal heat and moisture gains on accuracy of modeling energy consumption and indoor parameters in passive building. Energy Build. 2013, 64, 372–383. [Google Scholar] [CrossRef]
- Olenets, M.O.; Piotrowski, J.Z. A model of heat and air transfer in a ventilated, rectangular space. J. Build. Phys. 2017, 40, 334–345. [Google Scholar] [CrossRef]
- Krechowicz, M. Effective Risk Management in Innovative Projects: A Case Study of the Construction of Energy efficient, Sustainable Building of the Laboratory of Intelligent Building in Cracow. IOP Conf. Ser. Mater. Sci. Eng. 2017, 245, 062006. [Google Scholar] [CrossRef] [Green Version]
- Krechowicz, M. Risk Management in Complex Construction Projects that Apply Renewable Energy Sources: A Case Study of the Realization Phase of the Energis Educational and Research Intelligent Building. IOP Conf. Ser. Mater. Sci. Eng. 2017, 245, 062007. [Google Scholar] [CrossRef]
- Krechowicz, M. Comprehensive Risk Management in Horizontal Directional Drilling Projects. J. Constr. Eng. Manag. 2020, 146, 1–11. [Google Scholar] [CrossRef]
- Krechowicz (née Gierczak), M. The hybrid Fuzzy Faultand Event Tree analysis in the geotechnical risk management in HDD projects. Georisk Assess. Manag. Risk Eng. Syst. Geohazards 2021, 15, 12–26. [Google Scholar] [CrossRef]
- Krechowicz, M.; Krechowicz, A. Risk Assessment in Energy Infrastructure Installations by Horizontal Directional Drilling Using Machine Learning. Energies 2021, 14, 289. [Google Scholar] [CrossRef]
- NASA. Fault Tree Handbook with Aerospace Applications; NASA Office of Safety and Mission Assurance; NASA Headquarters: Washington, DC, USA, 2002.
- Wang, P. Preliminary System Safety Assessment, in Civil Aircraft Electrical Power System Safety Assessment; Butterworth-Heinemann: Oxford, UK, 2017. [Google Scholar]
- Kritzinger, D. Aircraft System Safety; Woodhead Publishing: Sawstone, UK, 2017. [Google Scholar]
- Zadeh, L.A. Fuzzy sets. Inf. Control 1965, 8, 338–353. [Google Scholar] [CrossRef] [Green Version]
- Abdelgawad, M.; Fayek, A.R. Fuzzy reliability analyzer: Quantitative assessment of risk events in the construction industry using fuzzy fault-tree analysis. J. Constr. Eng. Manag. 2011, 137, 294–302. [Google Scholar] [CrossRef]
- Abdelgawad, M.; Fayek, A.R. Comprehensive hybrid framework for risk analysis in the construction industry using combined failure mode and effect analysis, fault trees, event trees, and fuzzy logic. J. Constr. Eng. Manag. 2012, 138, 642–651. [Google Scholar] [CrossRef]
- Shoar, S.; Nasirzadeh, F.; Zarandi, H.R. Quantitative assessment of risks on construction projects using fault tree analysis with hybrid uncertainties. Constr. Innov. 2019, 48–70. [Google Scholar] [CrossRef]
- Skorupka, D.; Kuchta, D. Using fuzzy numbers for construction projects monitoring and control. Proc. AIP Conf. Proc. 2016, 1738, 200009. [Google Scholar] [CrossRef]
- Gierczak, M. The quantitative risk assessment of MINI, MIDI and MAXI Horizontal Directional Drilling Projects applying Fuzzy Fault Tree Analysis. Tunn. Undergr. Space Technol. 2014, 43, 67–77. [Google Scholar] [CrossRef]
- PHPP—Passive House Planning Package. Available online: https://passipedia.org/planning/calculating_energy_efficiency/phpp_-_the_passive_house_planning_package (accessed on 13 October 2021).
- EnergyPlus. Available online: https://energyplus.net/ (accessed on 13 October 2021).
- DesignBuilder. Available online: https://designbuilder.co.uk/ (accessed on 13 October 2021).
- TRNSYS. Available online: http://www.trnsys.com/ (accessed on 13 October 2021).
- Matlab Central. Available online: https://www.mathworks.com/matlabcentral/ (accessed on 13 October 2021).
- PVSyst. Available online: https://www.pvsyst.com/ (accessed on 13 October 2021).
- PVsol. Available online: https://valentin-software.com/en/products/pvsol-premium/ (accessed on 13 October 2021).
- Photovoltaic Geographical Information System. Available online: https://re.jrc.ec.europa.eu/pvg_tools/en/#PVP (accessed on 13 October 2021).
- Hallager, P.; Hald, G. Partnering in NO-DIG Projects–Reducing the Impact of Risks and Uncertainties; Proceedings NASTT NO-DIG. 2009, pp. 1–8. Available online: https://member.nastt.org/products/product/2009-f-4-05.pdf (accessed on 14 September 2021).
- Francom, T.; El Asmar, M.; Ariaratnam, S. Performance Analysis of Construction Manager at Risk on Pipeline Engineering and Construction Projects. J. Manag. Eng. 2016, 32, 6. [Google Scholar] [CrossRef]




| Symbol | Event Name |
|---|---|
| e1 | Taking erroneous assumptions |
| e2 | Leakages in the building’s envelope due to the inappropriate location of the installations |
| e3 | Leakages in the building’s envelope due to recommending improper materials or systems in the design |
| e4 | Leakages through gaps in the building’s envelope due to omitting critical points in the design |
| e5 | Designing a building with undesirable structural thermal bridges |
| e6 | Mistakes in the design of noise protection of the ventilation installation |
| e7 | Mistakes in the installations’ design |
| e8 | Incorrectly designed insulation of the installations |
| e9 | Selecting the improper window installation technique or mistakes in windows’ and doors assembly process |
| e10 | Leakages in the building’s envelope caused by the improper assembly |
| e11 | Lack of quality control of the embedded materials |
| e12 | Inappropriate interpretation of correct drawings and details received from the designer |
| e13 | Conscious assembly inconsistent with the project |
| e14 | Problems with inter-branch coordination and information for the building’s user |
| e15 | Incorrect cost calculations |
| e16 | Unfavorable external conditions (weather, legal) |
| Symbol | Risk Description |
|---|---|
| e1 | Making wrong assumptions (improper climate zone, improper methodology of carrying out calculations, incorrect modeling of individual thermal bridges, improper parameters of doors and windows, incorrect location of doors and windows, choosing low-quality materials, complicated building shape leading to not meeting a form factor requirement A/V, inadequate placement of thebuilding on the plot, improper orientation of rooms, inappropriately planned room layout or sunlight control) |
| e2 | Designing unnecessary breakthroughs through the building’s envelope, lack of the installation layer in the case of the frame building structure |
| e3 | Selection of materials that do not provide airtightness of the building envelope, such as: wood wool and softwood fiber building boards, unplastered masonry wall structure, hard foam polystyrene boards, perforated foils, tongue and groove system, designing application of short-life joints, such as wrapping adhesive tape, seals made of silicone, polyurethane assembly foam |
| e4 | Leakages in the building’s envelope due to omitting sensitive points in the design (e.g., lack of detailed production drawings and clues for the contractor such as: plastering required on internal walls to bottom of the wall, air seals needed at the roof and wall interface, plastering required under the installations in front of the wall, sealed strip near the windows needed, tighting electrical sockets needed |
| e5 | Thermal bridges at the connections between the roof and external walls and the balcony with the ceiling, inadequate insulation of basement walls, crowns (including the ceiling above the basement) and lintels, thermal bridges at connection of the garage with the building’s wall, connection of the balcony slab with the building structure; thermal bridges in the roller shutter box insulation, thermal bridges at joins in the roof structure; thermal bridges at the rims at the gable wall |
| e6 | Lack of silencers or their improper placement, designing long pipe sections while the shortest should be preferred, lack of noise protection with flexible connectors at the air handling unit, lack of silencers between rooms or in front of the air handling unit |
| e7 | Incorrectly selected filter in front of the air handling unit or the filter missing; revision missing, no inspection of the intake vent, improperly designed protection of the plate heat exchanger against freezing (if the exchanger is chosen to be applied in the design), selection of a low-quality air handling unit (minimum efficiency required of 75%, electrical efficiency max. 0.45 Wh/m3, no planned condensate drain for the sewage system for the ventilation unit, no use of a double siphon, or a ball siphon (when a typical siphon dries out unpleasant odors arise), frost protection of heat or electric heater missing (if they are applied); mistakes in calculating the minimum required air changes, improper specification of supply and exhaust zones;flow holes under the door missing; air intake protection without protection against rain and snow, incorrect coupling of the Building Management System with the building installations arranging no fire protection (lack of fire dampers, smoke dampers) in buildings where it is require, designing a fireplace with too much power without encapsulating it with a storage mass (risk of overheating the room), insufficient renewable energy sources to ensure thermal comfort of the building users; when choosing a fireplace a failure to take into account the risk of negative pressure in the building resulting from a leaky chimney system, which sucks flue gases into the room with a clogged filter; not including in the design documentation about the need to reprogram the air handling unit to use a fireplace; lack of the designed vacuum sensor in the case of a fireplace design; no designed carbon monoxide sensor in the case of a fireplace design; in the case of multi-family housing no main emergency fire switch provided in the design; in the case of single-family houses no smoke detector provided in the design at the place of air intake with an emergency switch ventilation system; no fire dampers with thermal release mechanism (if required); no designed protection against cold smoke (e.g., no smoke detector in the supply and exhaust duct or a sensor installed in the ceiling of the room) |
| e8 | Improperly designed insulation of ventilation and heating pipes, domestic hot water and circulation pipes in the building: vapor barrier missing, incorrectly arranged heating pipes’ insulation outside the building’s thermal coating, locating the recuperator without considering conditionsfor insulation in the warm zone and cold zone, unsolved thermal bridges at pipe connections with fittings, |
| e9 | “Warm installation method” not used, windows installed behind the insulation layer (in the wall), improperly fixing of the jamb surface withoutusing a primer, insulating tapes missing, a vapor barrier film missing; too few anchors, improper intervals when spacing anchors; metal elements (anchors, mounting rails, support blocks) with unreliable isolation |
| e10 | Execution errors apart from errors in the installation of window and door, gaps in the mortar, sticking sealing tapes to uncleaned, dusty or wet surfaces, breakage of the vapor barrier caused by improper sealing of punctures in the airtight layer of the building, leaky electrical sockets, no plastering of the walls under the installations, no sealing with swelling or gypsum mortar the breakages in the airtight layer of the building caused by the installation pipes, no sealing of the sewage system penetrations in the floor on the ground, not plastering the walls at the foot, inaccurate plastering, wrong order of execution of works (e.g., placing connecting foil after fixing the roof structure above the attic wall is incorrect), tapes glued on an unprimed wall structure, too dry or wet concrete, |
| e11 | Lack of careful quality control of the covered elements, e.g., the method of installing windows; improper location of the vapor barrier, no quality control of the laying of thermal insulation boards (gaps or no laying of the boards “staggered”), no control of the accuracy of plastering internal surfaces (e.g.,unplastered frames, plaster not led to the foot of the wall), no control of the order of execution of works (e.g., no laying of the foil) connecting before installing the roof structure over the attic wall) |
| e12 | Incorrect interpretation of properly prepared drawings in the project caused by the contractor’s lack of knowledge |
| e13 | Conscious execution inconsistent with the design in order to simplify the work and speed up the execution of works |
| e14 | Lack of knowledge of the architect of the basic principles of the installation to be used in the building, uncoordinated routes of installation affecting the technique and possibilities of installation, lack of coordination of works between the contractor of construction works and the contractor of installation works, resulting in the need to disassemble the installed elements or breaking the airtight coating of the building, failure to carry out identification collisions in a cross-industry project |
| e15 | Incorrect cost calculation (underestimation or overestimation), failure to take into account some important costs in the costing (material costs, execution costs, certification costs, costs of several tightness tests during the works), not including costs in the so-called risk pool, errors in the take-off of works |
| e16 | Unfavorable weather conditions preventing further progress of works, inability to commence or continue works due to the lack of permits or legal conditions, problems resulting from claims related to nuisance noise emissions and the destruction of existing elements of ground and underground infrastructure |
| Symbol | Factors Determining Risk Level |
|---|---|
| e1–e9 |
|
| e10, e11, e12, e13 |
|
| e14 |
|
| Risk Management Strategy | Approach | Description |
|---|---|---|
| Risk reduction | Holistic | Removing causes of risk, consequences of the risks, or reducing both of them |
| Risk elimination | Holistic | Taking actions intended to exclude risk (e.g., stopping the investment, choosing another project solution) |
| Passive Risk retention | Fatalistic | Accepting the risk’s consequences, documenting the risk appearance |
| Active risk retention | Fatalistic | Accepting the risk’s consequences, recording the risk existence combined with preparing rescue plans |
| Risk transfer | Fatalistic | Sharing or carrying out by someone other than an owner consequences of risk |
| Symbol | Risk Treatment | rgei |
|---|---|---|
| CR(e1–e8)a | Choosing a certified passive house designer or consultant by Passivhaus Institute | 0.60 |
| CR(e1–e8)b | Using the double-checking rule by a certified passive house consultant or designer recognized by Passivhaus Institute | 0.70 |
| CR(e1–e8)c | Checking the project by a specialist in the field of passive buildings other than certified | 0.90 |
| CR(e1)d | Using the designer’s checklist regarding the orientation of rooms (places prone to overheating such as the kitchen—from the south, living rooms—from the south, bedrooms, children’s rooms, and study rooms—from the east, west, or north) | 0.90 |
| CR(e1)e | Checking the form factor of the building (surface to volume requirement for a passive house A/V≤ 0.7 1/m), inspecting if obtuse angles were selected | 0.90 |
| CR(e1)f | Applying recognized software dedicated for passive buildings a (e.g., PHPP [69], EnergyPlus [70], DesignBuilder [71], TRNSYS [72], MATLAB [73] and optimization algorithms, e.g., [37,39,41,42,43] | 0.70–0.85 |
| CR(e1)g | Conducting an on-site visit | 0.80 |
| ER(e1–e14)a | Contractual penalties (psychological effect) | 0.90 |
| ER(e1–e14)b | Warranty deposit as a means of securing the owner against detecting any irregularities in the project, which can be detected during the airtightness test and examination with a thermal imaging camera | 0.80 |
| EL(e1–e13)a | Choosing a different construction type (less problematic from the point of view of passive building design or execution) | 0.80 |
| TR(e1–e16)a | Risk transfer on the insurance company (risk policy) | 0.90 |
| CR(e2)d | Checking if the installations are designed in an installation layer of the building (only for skeletal constructions) | 0.80 |
| CR(e3)d | Checking if the materials recommended by a designer are certified and dedicated for applications in passive buildings (e.g., are awarded with Passive House Institute Component Certification) | 0.60 |
| CR(e3)e | Selection of proven material suppliers with references from similar passive buildings constructions | 0.80 |
| CR(e5)d | Use of the designer’s checklist for structural thermal bridges | 0.90 |
| CR(e6)d | Using a checklist: checking silencers were designed (e.g., in front of the air handling unit or between rooms), checking the correctness of location of silencers, checking if the shortest pipe sections were designed, checking if noise protection using flexible connectors was designed at the air handling unit | 0.90 |
| CR(e7)d | Using a checklist to find mistakes in the design, such as an incorrect specification of supply and exhaust zones; mistakes in calculating the minimum required air exchange, flow holes under the door missing;lack of revision, lack or inadequate filter in front of the air handling unit, improperly designed air intake protection against rain and snow, lack of frost protection of heat exchanger or electric heater (if applied), fire and smoke dampers missing in objects where they were obligatory | 0.90 |
| CR(e7)e | Application of computer aided design, simulation and optimization of installations with the use of recognized software, e.g., PHPP [69], EnergyPlus [70], DesignBuilder [71], TRNSYS [72], MATLAB [73], PVSYST [74], PVSOL [75], PVGIS [76] and optimization algorithms, e.g., [37,39,41,42,43] a | 0.70–0.85 |
| CR(e8)d | Using a checklist to identify mistakes that could occur on the building site: unreasonably long sections of circulation pipes, insufficient insulation thickness of domestic hot water and circulation pipes, not taking into account the recuperator’s location (guidelines for insulation vary for the cold and warm zone), vapor barrier missing, incorrectly designed heating pipes’ insulation outside the building’s thermal coating, unsolved thermal bridges at pipe connections to fittings | 0.90 |
| CR(e9–e13)a | Selection of a certified contractor with experience and references from similar projects (Certified Passive House Builder) | 0.70 |
| CR(e9–e13)b | Carrying out specialist passive construction training on the construction site | 0.70 |
| CR(e9–e13)c | Specialist supervision and consulting on the construction site, employing an air-tightness specialist to supervise and inspect the design and building site | 0.60 |
| CR(e9)d | Using the checklist to identify mistakes which would be likely to occur: positioning the window behind thermal insulation line; using not enough anchors or placing them at the wrong intervals; lack of isolation of anchors, mounting rails, and support blocks; improper preparation of the jamb surface without using a primer, failure to apply a vapor barrier film; failure to apply insulating tapes | 0.90 |
| CR(e10)d | Taking regular temperature and humidity readings on the building site, as a number of seals, tapes and membranes do not seal effectively in high humidity if the atmospheric relative humidity is above 80%. | 0.90 |
| CR(e10)e | Consultations with the sealing products’ manufacturers to get information about the proper way of their applications and conditions | 0.90 |
| CR(e10)f | Use of advanced weather forecasts and anemometers on the day of testing to confirm that weather conditions are suitable for testing in advance of issuing a final test confirmation | 0.90 |
| CR(e10)g | Use of designer’s checklist: Using a checklist to make sure that the system flanges, cuff seals, and careful wrapping of installation passages through partitions were introduced | 0.90 |
| CR(e10)h | Leakages identification during the three air pressure tests (when the air barrier is complete, but any services and/or appliances have not been fitted; when services have been installed, but fixtures and fittings such as shower trays, baths, kitchen units have not been put in place when all works have been completed). Applying thermal imaging to identify thermal bridges and leaks (the moving air cools down the surfaces that are very well visible in infrared photos). Leakages identification thanks to smoke puffers and pencils application for determining draughts at specific locations. Using a low flow thermal anemometer after locating the leak to visualize its size. Carrying out remedial sealing works. | 0.70–0.90 |
| CR(e11)d | Preparation of photographic documentation of the covered elements | 0.90 |
| ER(e1–14)b | Contractual penalties (psychological effect) | 0.90 |
| CR(e14)a | Using Building Information Modeling (BIM) software to find out inconsistencies and collisions in the inter-branch design, as well as in the passive building’s operation and maintenance | 0.65 |
| CR(e14)b | Carrying out mandatory consultations of the design with a competent contractor with many years of experience in passive houses constructions | 0.70 |
| CR(e15)a | Applying Building Information Modeling (BIM) software for accurate bills of quantities and detailed costing | 0.65 |
| CR(e15)b | Choosing the right type of contract b | 0.80 |
| CR(e15)c | Risk-sharing between the investor, contractor, designer and consultant | 0.70 |
| CR(e15)d | Partnering | 0.60 |
| CR(e15)i | Using Alternative Project Delivery Methods (APDM), e.g., construction manager at risk (CMAR) c | 0.70–0.90 |
| CR(e16)a | Preparation of photographic documentation of the existing infrastructure elements | 0.90 |
| CR(e16)b | Carrying out works not in the bird-breeding season (in the case of the construction of tall buildings and their location near areas with special environmental values) | 0.90 |
| CR(e16)c | Obtaining the required permits prior to the commencement of works | 0.80 |
| CR(e16)d | Checking precise weather forecasts and warnings of the national weather services | 0.80 |
| CR(e16)e | Early preparation of equipment and protection of equipment against weather conditions | 0.80 |
| RT-P(e1–e16)a | Documentation of the risk existence | 1.00 |
| RT-A(e16)a | Contingency Plans—An inclement weather evacuation plan | 1.00 |
| Parameter | Description |
|---|---|
| Building type | A single-family building |
| Usable area | 175.16 m2 |
| Foundation structure | A single reinforced concrete foundation slab, thermally insulated with 20–35 cm Styrodur, U ≤ 0.14 W/(m2K) |
| Wall structure | Large size prefabricated polygon reinforced concrete elements of thickness 15 cm, insulated with Styrofoam of thickness 25 cm, covered with external silicate plaster, U ≤ 0.1 W/(m2K) |
| Roof and gable walls structure | Gable roof with a slope of 45°, wooden frame construction, insulation made of mineral wool (30 cm thick), U ≤ 0.1 W/(m2K) |
| Doors and windows | Wooden, airtight balcony windows and doors, U ≤ 0.80 W/(m2K), g = 50%, thermal bridged free assembly |
| Shading | Automatic shading blinds in all windows |
| Installations | Hot water installation, sanitary installation, mechanical supply-exhaust ventilation with recuperation with a set of max. airstream 330 m3/h, active summer throttle, electric heater, hybrid PVT cells placed on the southern roof’ sside, a fireplace with a water jacket, floor heating, a wind turbine with a vertical axis of nominal power 2 kW, ground heat storage tank, a high-temperature vacuum collector, a heat accumulator with a capacity of 700 dm3, a water–water heat exchanger |
| Alternative | The Chosen Risk Remediation Strategies |
|---|---|
| Alternative 1 | RT-P(e1–16)a |
| Alternative 2 | CR(e1)a,b,d,e,f,g, ER(e1–e14)aCR(e2)a,b, CR(e3)a,b,d,e, CR(e4)a,b, CR(e5)a,b,d, CR(e6)a,b,d, CR(e7)a,b,d, CR(e8)a,b,d, CR(e9)a,b,c,d, CR(e10)a,b,c,d,e,f,g,h, CR(e11)a,b,c,d, CR(e12)a,b,c, CR(e3)a,b,c, CR(e14)a,b, CR(e15)a,b, RT-P(e1–16)a, CR(e16)a,c,d,e, RT-A(e16)a |
| The Membership Grade (αjk) | The Fuzzy Risk of the Basic Event Occurrence (%) | |||||||
|---|---|---|---|---|---|---|---|---|
| e2, e3, e11–e13, e15, e16 | e4, e5, e8 | e1, e6, e9, e10, e14 | e7 | |||||
| 0.00 | 0.00 | 4.00 | 2.00 | 8.00 | 6.00 | 30.00 | 23.00 | 69.00 |
| 0.05 | 0.00 | 3.90 | 2.10 | 7.90 | 6.10 | 29.65 | 23.35 | 68.55 |
| 0.10 | 0.00 | 3.80 | 2.20 | 7.80 | 6.20 | 29.30 | 23.70 | 68.10 |
| 0.15 | 0.00 | 3.70 | 2.30 | 7.70 | 6.30 | 28.95 | 24.05 | 67.65 |
| 0.20 | 0.00 | 3.60 | 2.40 | 7.60 | 6.40 | 28.60 | 24.40 | 67.20 |
| 0.25 | 0.00 | 3.50 | 2.50 | 7.50 | 6.50 | 28.25 | 24.75 | 66.75 |
| 0.30 | 0.00 | 3.40 | 2.60 | 7.40 | 6.60 | 27.90 | 25.10 | 66.30 |
| 0.35 | 0.00 | 3.30 | 2.70 | 7.30 | 6.70 | 27.55 | 25.45 | 65.85 |
| 0.40 | 0.00 | 3.20 | 2.80 | 7.20 | 6.80 | 27.20 | 25.80 | 65.40 |
| 0.45 | 0.00 | 3.10 | 2.90 | 7.10 | 6.90 | 26.85 | 26.15 | 64.95 |
| 0.50 | 0.00 | 3.00 | 3.00 | 7.00 | 7.00 | 26.50 | 26.50 | 64.50 |
| 0.55 | 0.00 | 2.90 | 3.10 | 6.90 | 7.10 | 26.15 | 26.85 | 64.05 |
| 0.60 | 0.00 | 2.80 | 3.20 | 6.80 | 7.20 | 25.80 | 27.20 | 63.60 |
| 0.65 | 0.00 | 2.70 | 3.30 | 6.70 | 7.30 | 25.45 | 27.55 | 63.15 |
| 0.70 | 0.00 | 2.60 | 3.40 | 6.60 | 7.40 | 25.10 | 27.90 | 62.70 |
| 0.75 | 0.00 | 2.50 | 3.50 | 6.50 | 7.50 | 24.75 | 28.25 | 62.25 |
| 0.80 | 0.00 | 2.40 | 3.60 | 6.40 | 7.60 | 24.40 | 28.60 | 61.80 |
| 0.85 | 0.00 | 2.30 | 3.70 | 6.30 | 7.70 | 24.05 | 28.95 | 61.35 |
| 0.90 | 0.00 | 2.20 | 3.80 | 6.20 | 7.80 | 23.70 | 29.30 | 60.90 |
| 0.95 | 0.00 | 2.10 | 3.90 | 6.10 | 7.90 | 23.35 | 29.65 | 60.45 |
| 1.00 | 0.00 | 2.00 | 4.00 | 6.00 | 8.00 | 23.00 | 30.00 | 60.00 |
| Alternative 1 | |
|---|---|
| Event | |
| e2, e3, e11–e13, e15, e16 | 0.01 |
| e4, e5, e8 | 0.98 |
| e1, e6, e9, e10, e14 | 2.76 |
| e7 | 13.53 |
Publisher’s Note: MDPI stays neutral with regard to jurisdictional claims in published maps and institutional affiliations. |
© 2021 by the authors. Licensee MDPI, Basel, Switzerland. This article is an open access article distributed under the terms and conditions of the Creative Commons Attribution (CC BY) license (https://creativecommons.org/licenses/by/4.0/).
Share and Cite
Krechowicz, M.; Piotrowski, J.Z. Comprehensive Risk Management in Passive Buildings Projects. Energies 2021, 14, 6830. https://doi.org/10.3390/en14206830
Krechowicz M, Piotrowski JZ. Comprehensive Risk Management in Passive Buildings Projects. Energies. 2021; 14(20):6830. https://doi.org/10.3390/en14206830
Chicago/Turabian StyleKrechowicz, Maria, and Jerzy Zbigniew Piotrowski. 2021. "Comprehensive Risk Management in Passive Buildings Projects" Energies 14, no. 20: 6830. https://doi.org/10.3390/en14206830
APA StyleKrechowicz, M., & Piotrowski, J. Z. (2021). Comprehensive Risk Management in Passive Buildings Projects. Energies, 14(20), 6830. https://doi.org/10.3390/en14206830
