Research on Heat Exchange Law and Structural Design Optimization of Deep Buried Pipe Energy Piles
Abstract
:1. Introduction
2. Test Overview
2.1. Project Overview
2.2. Test Plan
3. Finite Element Numerical Simulation
3.1. Basic Assumptions
- (1)
- The fluid, heat exchange tube, concrete and soil are homogeneous, and their thermal performance is independent of temperature.
- (2)
- The self-weight of the fluid, the contact thermal resistance between the U-shaped pipe wall and pile foundation, the pile foundation and the surrounding soil are not considered.
- (3)
- Assuming that the initial temperatures of the soil and pile foundation are the same, the temperature at the far boundary of the soil remains unchanged.
- (4)
- The influence of groundwater on the heat exchange of energy pile is ignored.
- (5)
- The change of soil temperature along the depth direction is ignored.
- (6)
- The influence of environmental factors on shallow soil temperature is ignored.
3.2. Basic Assumptions
4. Result Analysis and Discussion
4.1. Well Depth
4.2. Pile Length
4.3. Inlet Water Temperature
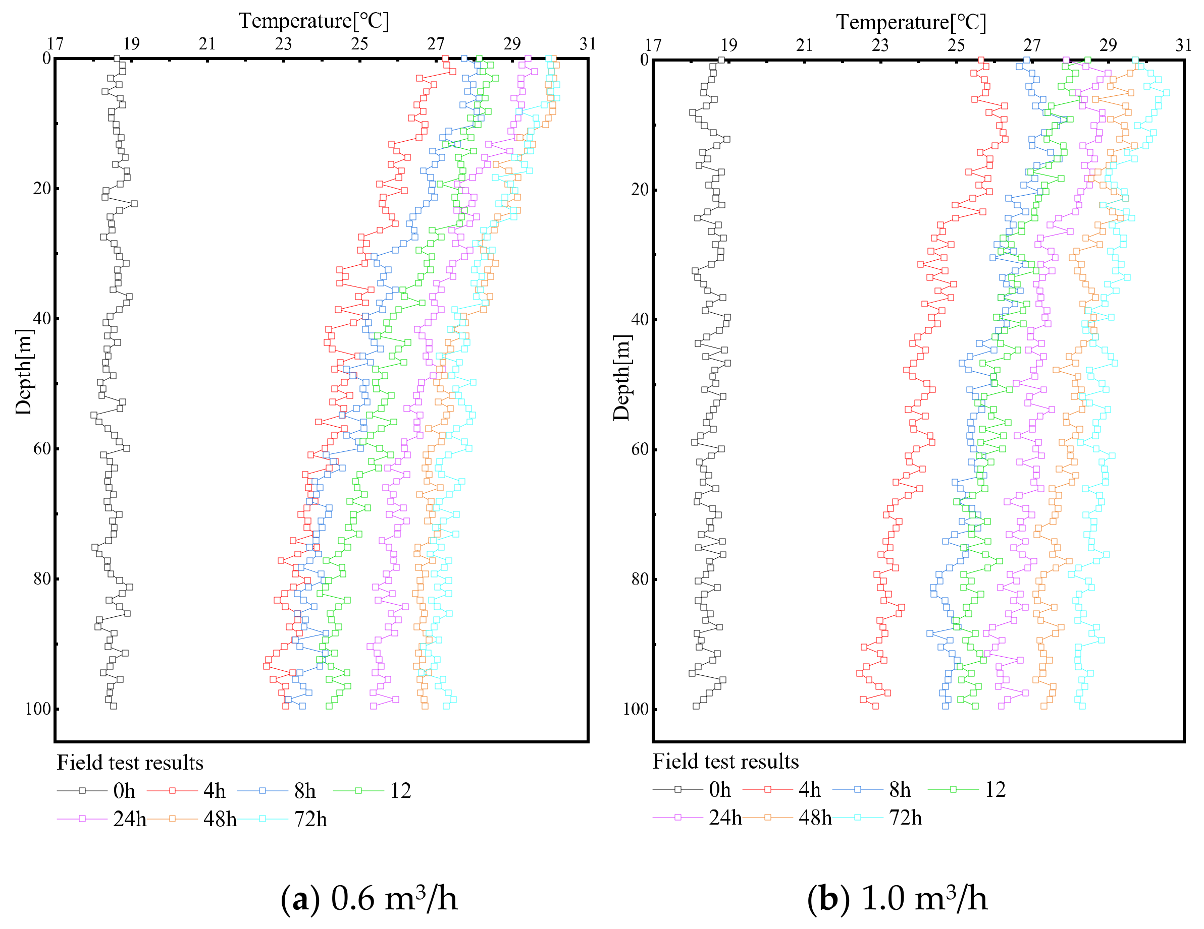
4.4. Flow Rate
4.5. Comparison and Optimization
5. Conclusions
- (1)
- An increase in well depth can weaken the influence of pile length on the heat exchange effect of energy piles, so the pile well ratio is an important factor affecting the heat exchange effect of energy piles. Through analysis, it is found that the best benefit can be obtained when the pile-to-well ratio is approximately 0.3–0.4.
- (2)
- The inlet water temperature is the most significant factor affecting the heat exchange effect of energy piles. When the inlet water temperature is low, the heat exchange tube temperature rises evenly, and the time to reach the stable state is short. When the inlet water temperature is high, it shows the opposite trend; at the same time, the change in inlet water temperature has little effect on the heat exchange radius of the energy pile.
- (3)
- The flow rate has a significant impact on the heat exchange effect of the energy pile, but the pile-to-well ratio should be given priority when determining the operating parameters of the energy pile, and then the flow should be set reasonably. If only the lower outlet water temperature is considered in summer, the pile-to-well ratio can be reduced.
- (4)
- By exploring the heat exchange effect of deep buried pipe energy piles under different influencing factors, it is found that the influence of inlet water temperature, well depth, flow and pile length on the heat exchange efficiency of energy piles gradually weakens.
- (5)
- The long length of deep well and the spacing of heat exchange tubes will aggravate the thermal interference of pile foundation and the upper part of deep well, based on the pile well ratio and the selection of backfill materials, the thermal interference phenomenon can be appropriately reduced.
Author Contributions
Funding
Conflicts of Interest
References
- Hamada, Y.; Saitoh, H.; Nakamura, M.; Kubota, H.; Ochifuji, K. Field performance of an energy pile system for space heating. Energy Build. 2007, 39, 517–524. [Google Scholar] [CrossRef]
- Brandl, H. Energy foundations and other thermo-active ground structures. Géotechnique 2006, 56, 81–122. [Google Scholar] [CrossRef]
- Mao, J.F.; Pan, D.; Geng, S.B.; Chen, S.Y. Research on Application of GSHP in Underground Engineering and Its Prospects. Chin. J. Undergr. Space Eng. 2015, 11, 252–256. [Google Scholar]
- Zhang, L.; Chen, S.; Zhang, C. Geothermal power generation in China: Status and prospects. Energy Sci. Eng. 2019, 7, 1428–1450. [Google Scholar] [CrossRef] [Green Version]
- Xu, Y.S.; Wang, X.W.; Shen, S.L.; Zhou, A.N. Distribution characteristics and utilization of shallow geothermal energy in China. Energy Build. 2020, 229, 110479. [Google Scholar] [CrossRef]
- Liu, Y.; Zhao, J.; Li, Y. Effect of drilling depth on performance of ground source heat pump system. Acta Energ. Sol. Sin. 2015, 36, 2584–2589. [Google Scholar]
- Wu, D.; Kong, G.Q.; Liu, H.L.; Jiang, Q.; Yang, Q.; Kong, L. Performance of a full-scale energy pile for underground solar energy storage. Case Stud. Therm. Eng. 2021, 27, 101313. [Google Scholar] [CrossRef]
- Lee, S.; Park, S.; Kim, D.; Ahn, D.; Choi, H. Dual performance of novel steel pipe heat exchangers equipped in cast-in-place energy pile. Energy Build. 2021, 234, 110725. [Google Scholar] [CrossRef]
- Xiao, H.L.; Chen, Z.; Xiao, Y.; Ma, Q.; Que, M.K. Back-Drilling Deeply Buried Pipe Type Pouring Type Energy Pile Heat Exchange System and Construction Method. Patent CN108444121A, 24 August 2018. [Google Scholar]
- Gao, J.; Zhang, X.; Liu, J.; Li, K.S.; Yang, J. Numerical and experimental assessment of thermal performance of vertical energy piles: An application. Appl. Energy 2008, 85, 901–910. [Google Scholar] [CrossRef]
- Du, T.; Li, Y.B.; Bao, X.H.; Tang, W.C.; Cui, H.Z. Thermo-Mechanical Performance of a Phase Change Energy Pile in Saturated Sand. Symmetry 2020, 12, 1781. [Google Scholar] [CrossRef]
- Mandal, M.; Bag, R. Effect of pile and heat exchanger properties on total heat extraction of an energy pile—A numerical study. In Proceedings of the 2nd International Conference on Energy Geotechnics (ICEGT 2020), La Jolla, CA, USA, 20–23 September 2020; Volume 205, p. 05024. [Google Scholar] [CrossRef]
- Jalaluddin; Miyara, A.; Tsubaki, K.; Inoue, S.; Yoshida, K. Experimental study of several types of ground heat exchanger using a steel pile foundation. Renew. Energy 2011, 36, 764–771. [Google Scholar] [CrossRef]
- You, T.; Li, X.T.; Cao, S.L.; Yang, H.X. Soil thermal imbalance of ground source heat pump systems with spiral-coil energy pile groups under seepage conditions and various influential factors. Energy Convers. Manag. 2018, 178, 123–136. [Google Scholar] [CrossRef]
- Carotenuto, A.; Marotta, P.; Massarotti, N.; Mauro, A.; Normino, G. Energy piles for ground source heat pump applications: Comparison of heat transfer performance for different design and operating parameters. Appl. Therm. Eng. 2017, 124, 1492–1504. [Google Scholar] [CrossRef]
- Park, H.; Lee, S.R.; Yoon, S.; Choi, J.C. Evaluation of thermal response and performance of PHC energy pile: Field experiments and numerical simulation. Appl. Energy 2013, 103, 12–24. [Google Scholar] [CrossRef]
- Liu, H.L.; Wu, D.; Kong, G.Q.; Wang, C.L.; Wu, H.W. Study on heat transfer characteristics of embedded and bundled energy piles. Rock Soil Mech. 2017, 38, 333–340. [Google Scholar]
- You, S.; Cheng, X.H.; Guo, H.X.; Yao, Z.Q. In-situ experimental study of heat exchange capacity of CFG pile geothermal exchangers. Energy Build. 2014, 79, 23–31. [Google Scholar] [CrossRef]
- Qi, H.; Zhou, Z.H.; Wang, B.; Zhang, Y.; Cui, H.Z.; Wang, X. Heat Transfer Performance in Energy Piles in Urban Areas: Case Studies for Lambeth College and Shell Centre UK. Appl. Sci. 2020, 10, 5974. [Google Scholar] [CrossRef]
- Chen, Z.; Sun, Y.; Xiao, H.L.; Ma, Q.; Zhang, L.G. In-Situ Thermomechanical Response Test of an Energy Pile Under Temperature Loading. Arab. J. Sci. Eng. 2021. [Google Scholar] [CrossRef]
- Chen, Z.; Yao, J.W.; Pan, P.; Xiao, H.L.; Ma, Q. Research on the heat exchange characteristics of the deeply buried pipe type of energy pile. Case Stud. Therm. Eng. 2021, 27, 101268. [Google Scholar] [CrossRef]
- Zhao, H.F.; Tang, R.B.; Gui, S.Q.; Luo, J.; Jia, J. Experimental study on temperature field distribution characteristics of soil around double U type buried pipe energy piles. J. Civil. Environ. Eng. 2016, 38, 157–163. [Google Scholar]
- Wang, D.H.; Zhao, H.F.; Gui, S.Q. In situ test and theoretical applicability analysis of buried tube heat exchanger based on Double U piles. Bull. Geol. Sci. Technol. 2016, 35, 226–230. [Google Scholar]
- Lyu, W.D.; Pu, H.F.; Chen, J.N. Thermal Performance of an Energy Pile Group with a Deeply Penetrating U-Shaped Heat Exchanger. Energies 2020, 13, 5822. [Google Scholar] [CrossRef]
- Li, X.Y.; Guo, H.X.; Cheng, X.H. Experimental and numerical study on temperature distribution of energy pile. China Civil. Eng. J. 2016, 49, 102–110. [Google Scholar] [CrossRef]
- Zhao, H.F.; Gui, S.Q.; Li, Q.; Jia, J. Analysis of temperature field distribution characteristics and influencing factors of spiral type buried pipe energy pile. J. Yangtze River Sci. Res. Inst. 2017, 34, 153–158. [Google Scholar]
- Mehrizi, A.A.; Porkhial, S.; Bezyan, B.; Lotfizadeh, H. Energy pile foundation simulation for different configurations of ground source heat exchanger. Int. Commun. Heat Mass Transf. 2016, 70, 105–114. [Google Scholar] [CrossRef]
- Sani, A.K.; Singh, R.K. Response of unsaturated soils to heating of geothermal energy pile. Renew. Energy 2020, 147, 2618–2632. [Google Scholar] [CrossRef]
- Sani, A.K.; Singh, R.M.; Tsuha, C.D.H.C.; Cavarretta, I. Pipe–pipe thermal interaction in a geothermal energy pile. Geothermics 2019, 81, 209–223. [Google Scholar] [CrossRef]
- Cui, P.; Jia, L.R.; Zhou, X.L.; Yang, W.B.; Zhang, W.K. Heat transfer analysis of energy piles with parallel U-Tubes. Renew. Energy 2020, 161, 1046–1058. [Google Scholar] [CrossRef]


















| Test Number | Pile Length (m) | Drilling Depth (m) | Heating Power (kW) | Flow Velocity (m3/h) |
|---|---|---|---|---|
| 1 | 23 | 100 | 3.5 | 1.0 |
| 2 | 5.5 | 1.0 | ||
| 3 | 5.5 | 0.6 | ||
| 4 | 18 | 100 | 5.5 | 1.0 |
| 5 | 0.6 |
| Material | Thermal Conductivity (W/(m·°C)) | Thermal Capacity (J/(kg·°C)) | Density (kg/m3) |
|---|---|---|---|
| Heat exchange pipe | 0.45 | 2300 | 950 |
| Concrete | 2.2 | 970 | 2500 |
| Rock-soil mass | 1.98 | 2240 | 1970 |
| Circulation medium | 0.6 | 4200 | 998 |
| Backfill material | 0.58 | 966 | 2650 |
| Test Number | Pile Length (m) | Drilling Depth (m) | Heating Power (kW) | Flow Velocity (m3/h) |
|---|---|---|---|---|
| 6 | 23 | 50 | 30.2 | 1.0 |
| 7 | 75 | |||
| 8 | 100 | |||
| 9 | 125 | |||
| 10 | 50 | 27.2 | 1.0 | |
| 11 | 75 | |||
| 12 | 100 | |||
| 13 | 125 | |||
| 14 | 18 | 50 | 30.3 | 1.0 |
| 15 | 75 | |||
| 16 | 100 | |||
| 17 | 125 | |||
| 18 | 50 | 30.2 | 0.6 | |
| 19 | 75 | |||
| 20 | 100 | |||
| 21 | 125 |
Publisher’s Note: MDPI stays neutral with regard to jurisdictional claims in published maps and institutional affiliations. |
© 2021 by the authors. Licensee MDPI, Basel, Switzerland. This article is an open access article distributed under the terms and conditions of the Creative Commons Attribution (CC BY) license (https://creativecommons.org/licenses/by/4.0/).
Share and Cite
Chen, Z.; Wang, B.; Zheng, L.; Xiao, H.; Wang, J. Research on Heat Exchange Law and Structural Design Optimization of Deep Buried Pipe Energy Piles. Energies 2021, 14, 6449. https://doi.org/10.3390/en14206449
Chen Z, Wang B, Zheng L, Xiao H, Wang J. Research on Heat Exchange Law and Structural Design Optimization of Deep Buried Pipe Energy Piles. Energies. 2021; 14(20):6449. https://doi.org/10.3390/en14206449
Chicago/Turabian StyleChen, Zhi, Bo Wang, Lifei Zheng, Henglin Xiao, and Jingquan Wang. 2021. "Research on Heat Exchange Law and Structural Design Optimization of Deep Buried Pipe Energy Piles" Energies 14, no. 20: 6449. https://doi.org/10.3390/en14206449
APA StyleChen, Z., Wang, B., Zheng, L., Xiao, H., & Wang, J. (2021). Research on Heat Exchange Law and Structural Design Optimization of Deep Buried Pipe Energy Piles. Energies, 14(20), 6449. https://doi.org/10.3390/en14206449
