Design Parameters of a Double-Slope Solar Still: Modelling, Sensitivity Analysis, and Optimization
Abstract
1. Introduction
2. Mathematical Modelling of a Double-Slope Solar Still
2.1. Overview of the Model and Assumptions
2.2. The General Model for the Input Energy to a Double-Slope Solar Still
2.3. Geometrical Parameters for Designing a Double-Slope Solar Still
2.3.1. Definition of Surface Tilt and Azimuth Angles
2.3.2. Calculation of the Glasses’ Dimensions
2.3.3. Calculation of the Glasses’ Tilt and Azimuth Angles
2.4. Model Summary
- Glass covers’ surface area; as given in Equations (11), (12) and (14), the glass covers’ surface area can be calculated by using the basin width and length, and the glass covers’ inclination angles, i.e., four of the main design parameters.
- Glass covers’ tilt angle: Equations (30) and (31) show that by using the solar still tilt angle and the glass covers’ inclination angle, i.e., two of the main design parameters, the tilt angle of the covers No. 1 and No. 2 are obtainable. The discussion above Equation (36) also reveals how the tilt angle of the other two surfaces can be obtained just by using the solar still tilt angle, which is one of the main design parameters.
- Glass covers’ azimuth angle: according to Equations (34) and (35), the azimuth angles of covers No. 1 and No. 2 are obtainable by using the solar still azimuth and tilt angles and the glass covers’ inclination angles, i.e., four of the main design parameters. Again, the discussion above Equation (36) shows how the azimuth angle for the two other glass covers can be found just by using the solar still azimuth angle.
3. The Optimization Method
- Basin width ()
- Basin length ()
- Basin azimuth () and tilt () angles
- Inclination angles of the glass covers ( and ).
- Maximum annual energy input to the solar still
- Maximum annual energy input per total glass surface area
- Negative basin width or length might result in optimum values of the optimization functions but are physically impossible. Very small dimensions might also be able to satisfy the optimization problem, but in practice will not have enough capacity for the brine water that needs to be put inside the solar still. Very large dimensions can also be hard to manufacture, operate and maintain. With this regard, for the optimization problem a size limit of 0.2–2 m is considered for the basin length and width.
- In practice, the solar still cannot be tilted too much as the brine water inside it will get separated from the absorber surfaces and spill over the glass covers which will interrupt the desalination operation. Hence, a maximum basin tilt angle of 60° is considered for the optimization problem. The minimum value would be 0° indicating a horizontally placed solar still.
- Although each of the glass covers can have an inclination angle of between 0° and 90°, in practice, they both cannot be of 90° inclination angle simultaneously. Similarly, high inclination angles for both glass covers can create weird designs with very large glass covers. Hence, instead of limiting the covers’ inclination angles, the summation of both inclination angles is limited. With this regard, each cover can have an inclination angle of 0–90°, but the summation of these angles is considered to be between 0° and 150°. The value of 0° indicates one glass cover parallel to the basin bottom surface. The upper limit means that the angle at the intersection of the two covers has a minimum value of 30°.
4. Results and Discussion
4.1. Validating the Presented Modelling and Optimization Methods
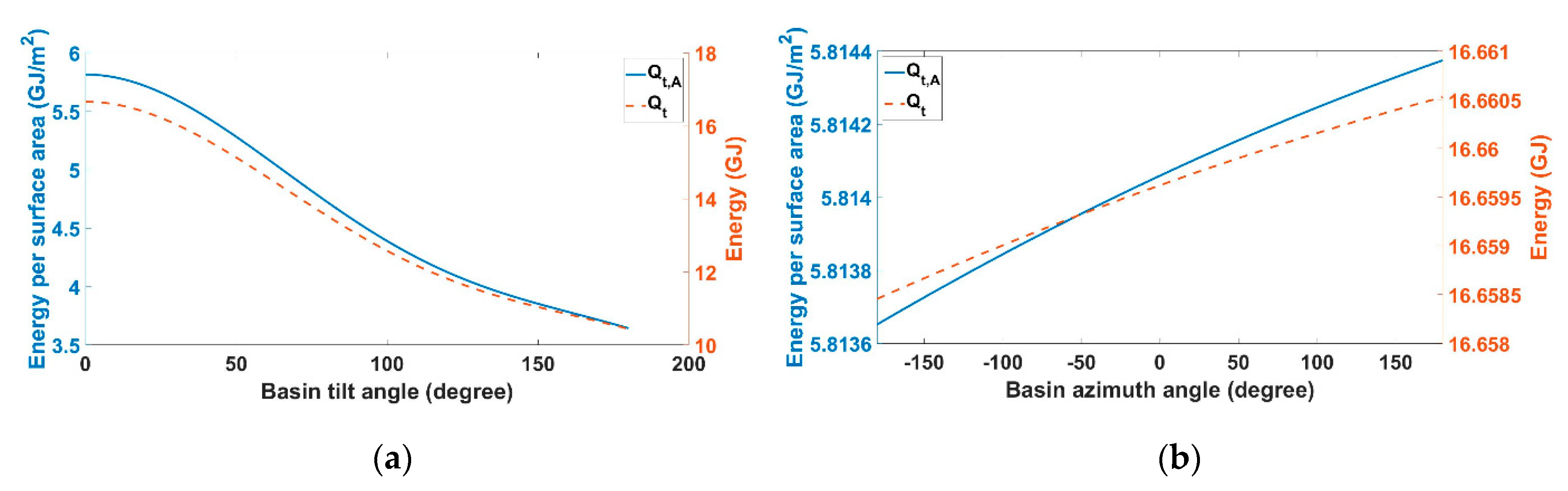
4.2. Sensitivity Analysis
4.3. Optimization Results
5. Conclusions
- Solar still: width: 2 m, length: 2 m, tilt angle: 8°, and azimuth angle: 180°
- Glass covers: inclination angle of the glass cover No. 1: 80°, and inclination angle of the glass cover No. 2: 67°
Author Contributions
Funding
Institutional Review Board Statement
Informed Consent Statement
Data Availability Statement
Conflicts of Interest
References
- Lacroix, C.; Perier-Muzet, M.; Stitou, D. Dynamic Modeling and Preliminary Performance Analysis of a New Solar Thermal Reverse Osmosis Desalination Process. Energies 2019, 12, 4015. [Google Scholar] [CrossRef]
- Liponi, A.; Tempesti, C.; Baccioli, A.; Ferrari, L. Small-Scale Desalination Plant Driven by Solar Energy for Isolated Communities. Energies 2020, 13, 3864. [Google Scholar] [CrossRef]
- Akrami, M.; Alsari, H.; Javadi, A.A.; Dibaj, M.; Farmani, R.; Fath, H.E.S.; Salah, A.H.; Negm, A. Analysing the Material Suitability and Concentration Ratio of a Solar-Powered Parabolic trough Collector (PTC) Using Computational Fluid Dynamics. Energies 2020, 13, 5479. [Google Scholar] [CrossRef]
- Tabasi, S.; Aslani, A.; Naaranoja, M.; Yousefi, H. Analysis of energy consumption in Finland based on the selected economics indicators. Int. J. Ambient Energy 2018, 39, 127–131. [Google Scholar] [CrossRef]
- Aramesh, M.; Kasaeian, A.; Pourfayaz, F.; Ahmadi, M.H. A Detailed Investigation of the Walls Shading Effect on the Performance of Solar Ponds. Environ. Prog. Sustain. Energy 2019, 38, e13014. [Google Scholar] [CrossRef]
- Tabasi, S.; Yousefi, H.; Noorollahi, Y.; Aramesh, M. A detailed investigation and performance optimization of a photovoltaic panel integrated with a reflecting mirror. Appl. Therm. Eng. 2019, 160, 114074. [Google Scholar] [CrossRef]
- Aramesh, M.; Shabani, B. On the integration of phase change materials with evacuated tube solar thermal collectors. Renew. Sustain. Energy Rev. 2020, 132, 110135. [Google Scholar] [CrossRef]
- Ghalandari, M.; Maleki, A.; Haghighi, A.; Safdari Shadloo, M.; Alhuyi Nazari, M.; Tlili, I. Applications of nanofluids containing carbon nanotubes in solar energy systems: A review. J. Mol. Liq. 2020, 313, 113476. [Google Scholar] [CrossRef]
- Kasaeian, A.; Tabasi, S.; Ghaderian, J.; Yousefi, H. A review on parabolic trough/Fresnel based photovoltaic thermal systems. Renew. Sustain. Energy Rev. 2018, 91, 193–204. [Google Scholar] [CrossRef]
- Aramesh, M.; Pourfayaz, F.; Haghir, M.; Kasaeian, A.; Ahmadi, M.H. Investigating the effect of using nanofluids on the performance of a double-effect absorption refrigeration cycle combined with a solar collector. Proc. Inst. Mech. Eng. Part A J. Power Energy 2019, 234, 981–993. [Google Scholar] [CrossRef]
- Ullah, I.; Rasul, M. Recent Developments in Solar Thermal Desalination Technologies: A Review. Energies 2018, 12, 119. [Google Scholar] [CrossRef]
- Velázquez-Limón, N.; López-Zavala, R.; Hernández-Callejo, L.; Aguilar-Jiménez, J.A.; Ojeda-Benítez, S.; Ríos-Arriola, J. Study of a Hybrid Solar Absorption-Cooling and Flash-Desalination System. Energies 2020, 13, 3943. [Google Scholar] [CrossRef]
- Sharshir, S.W.; Kandeal, A.W.; Ismail, M.; Abdelaziz, G.B.; Kabeel, A.E.; Yang, N. Augmentation of a pyramid solar still performance using evacuated tubes and nanofluid: Experimental approach. Appl. Therm. Eng. 2019, 160, 113997. [Google Scholar] [CrossRef]
- Roca, L.; Sánchez, J.; Rodríguez, F.; Bonilla, J.; de la Calle, A.; Berenguel, M. Predictive Control Applied to a Solar Desalination Plant Connected to a Greenhouse with Daily Variation of Irrigation Water Demand. Energies 2016, 9, 194. [Google Scholar] [CrossRef]
- Sharshir, S.W.; Abd Elaziz, M.; Elkadeem, M.R. Enhancing thermal performance and modeling prediction of developed pyramid solar still utilizing a modified random vector functional link. Sol. Energy 2020, 198, 399–409. [Google Scholar] [CrossRef]
- Afrand, M.; Kalbasi, R.; Karimipour, A.; Wongwises, S. Experimental Investigation on a Thermal Model for a Basin Solar Still with an External Reflector. Energies 2016, 10, 18. [Google Scholar] [CrossRef]
- Abdullah, A.S.; Essa, F.A.; Bacha, H.B.; Omara, Z.M. Improving the trays solar still performance using reflectors and phase change material with nanoparticles. J. Energy Storage 2020, 31, 101744. [Google Scholar] [CrossRef]
- Safaei, M.R.; Goshayeshi, H.R.; Chaer, I. Solar Still Efficiency Enhancement by Using Graphene Oxide/Paraffin Nano-PCM. Energies 2019, 12, 2002. [Google Scholar] [CrossRef]
- Parsa, S.M.; Rahbar, A.; Koleini, M.H.; Aberoumand, S.; Afrand, M.; Amidpour, M. A renewable energy-driven thermoelectric-utilized solar still with external condenser loaded by silver/nanofluid for simultaneously water disinfection and desalination. Desalination 2020, 480, 114354. [Google Scholar] [CrossRef]
- Parsa, S.M.; Rahbar, A.; Koleini, M.H.; Davoud Javadi, Y.; Afrand, M.; Rostami, S.; Amidpour, M. First approach on nanofluid-based solar still in high altitude for water desalination and solar water disinfection (SODIS). Desalination 2020, 491. [Google Scholar] [CrossRef]
- Thalib, M.M.; Manokar, A.M.; Essa, F.A.; Vasimalai, N.; Sathyamurthy, R.; Garcia Marquez, F.P. Comparative Study of Tubular Solar Stills with Phase Change Material and Nano-Enhanced Phase Change Material. Energies 2020, 13, 3989. [Google Scholar] [CrossRef]
- Danish, S.; El-Leathy, A.; Alata, M.; Al-Ansary, H. Enhancing Solar Still Performance Using Vacuum Pump and Geothermal Energy. Energies 2019, 12, 539. [Google Scholar] [CrossRef]
- Essa, F.A.; Abd Elaziz, M.; Elsheikh, A.H. An enhanced productivity prediction model of active solar still using artificial neural network and Harris Hawks optimizer. Appl. Therm. Eng. 2020, 170, 115020. [Google Scholar] [CrossRef]
- Pal, P.; Dev, R.; Singh, D.; Ahsan, A. Energy matrices, exergoeconomic and enviroeconomic analysis of modified multi-wick basin type double slope solar still. Desalination 2018, 447, 55–73. [Google Scholar] [CrossRef]
- Rubio, E.; Fernández, J.L.; Porta-Gándara, M.A. Modeling thermal asymmetries in double slope solar stills. Renew. Energy 2004, 29, 895–906. [Google Scholar] [CrossRef]
- Sahota, L.; Tiwari, G.N. Effect of Al2O3 nanoparticles on the performance of passive double slope solar still. Sol. Energy 2016, 130, 260–272. [Google Scholar] [CrossRef]
- Dwivedi, V.K.; Tiwari, G.N. Experimental validation of thermal model of a double slope active solar still under natural circulation mode. Desalination 2010, 250, 49–55. [Google Scholar] [CrossRef]
- El-Maghlany, W.M. An approach to optimization of double slope solar still geometry for maximum collected solar energy. Alex. Eng. J. 2015, 54, 823–828. [Google Scholar] [CrossRef]
- Gaur, M.; Tiwari, G. Optimization of number of collectors for integrated PV/T hybrid active solar still. Appl. Energy 2010, 87, 1763–1772. [Google Scholar] [CrossRef]
- Rashidi, S.; Bovand, M.; Rahbar, N.; Esfahani, J.A. Steps optimization and productivity enhancement in a nanofluid cascade solar still. Renew. Energy 2018, 118, 536–545. [Google Scholar] [CrossRef]
- Ahmed, A.M.; Ahmed, A.H.; Daoud, R.W.; Ahmed, O.K. Optimization of Simple Solar Still Performance Using Fuzzy Logic Control. In Proceedings of the 2020 6th International Engineering Conference “Sustainable Technology and Developmen (IEC)”, Erbil, Iraq, 26–27 February 2020; pp. 205–210. [Google Scholar]
- Peter, J.N.; Kanyarusoke, K.E. Design optimisation of pillar-mounted sun tracking solar-water purifiers for large households. In Proceedings of the 2019 International Conference on the Domestic Use of Energy (DUE), Wellington, South Africa, 25–27 March 2019; pp. 169–175. [Google Scholar]
- Altarawneh, I.; Rawadieh, S.; Batiha, M.; Al-Makhadmeh, L.; Alrowwad, S.; Tarawneh, M. Experimental and numerical performance analysis and optimization of single slope, double slope and pyramidal shaped solar stills. Desalination 2017, 423, 124–134. [Google Scholar] [CrossRef]
- Rehman, N.U. Optical-irradiance ray-tracing model for the performance analysis and optimization of a single slope solar still. Desalination 2019, 457, 22–31. [Google Scholar] [CrossRef]
- Khanmohammadi, S.; Khanmohammadi, S. Energy, exergy and exergo-environment analyses, and tri-objective optimization of a solar still desalination with different insulations. Energy 2019, 187, 115988. [Google Scholar] [CrossRef]
- Malik, M.Z.; Musharavati, F.; Khanmohammadi, S.; Khanmohammadi, S.; Nguyen, D.D. Solar still desalination system equipped with paraffin as phase change material: Exergoeconomic analysis and multi-objective optimization. Environ. Sci. Pollut. Res. 2020, 28, 220–234. [Google Scholar] [CrossRef] [PubMed]
- El-Sebaey, M.S.; Ellman, A.; Hegazy, A.; Ghonim, T. Experimental Analysis and CFD Modeling for Conventional Basin-Type Solar Still. Energies 2020, 13, 5734. [CrossRef]
- Kabeel, A.E.; Sathyamurthy, R.; Sharshir, S.W.; Muthumanokar, A.; Panchal, H.; Prakash, N.; Prasad, C.; Nandakumar, S.; El Kady, M.S. Effect of water depth on a novel absorber plate of pyramid solar still coated with TiO2 nano black paint. J. Clean. Prod. 2019, 213, 185–191. [Google Scholar] [CrossRef]
- Samuel Hansen, R.; Kalidasa Murugavel, K. Enhancement of integrated solar still using different new absorber configurations: An experimental approach. Desalination 2017, 422, 59–67. [Google Scholar] [CrossRef]
- Murugavel, K.K.; Srithar, K. Performance study on basin type double slope solar still with different wick materials and minimum mass of water. Renew. Energy 2011, 36, 612–620. [Google Scholar] [CrossRef]
- Kalogirou, S.A. Solar Energy Engineering: Processes and Systems; Elsevier Science: Amsterdam, The Netherlands, 2013. [Google Scholar]
- John, A.; Duffie, W.A.B. Solar Engineering of Thermal Processes, 4th ed.; Wiley: New York, NY, USA, 2013; p. 936. [Google Scholar]
- Aramesh, M.; Kasaeian, A.; Pourfayaz, F.; Wen, D. Energy analysis and shadow modeling of a rectangular type salt gradient solar pond. Sol. Energy 2017, 146, 161–171. [Google Scholar] [CrossRef]
- Nazari, M.A.; Haj Assad, M.E.; Haghighat, S.; Maleki, A. Applying TOPSIS Method for Wind Farm Site Selection in Iran. In Proceedings of the 2020 Advances in Science and Engineering Technology International Conferences (ASET), Dubai, UAE, 4 February–9 April 2020; pp. 1–4. [Google Scholar]
- Mirjalili, S. Genetic algorithm. In Evolutionary Algorithms and Neural Networks; Springer: Berlin/Heidelberg, Germany, 2019; pp. 43–55. [Google Scholar]
- Welikala, S.; Cassandras, C.G. Distributed Non-Convex Optimization of Multi-Agent Systems Using Boosting Functions to Escape Local Optima. IEEE Trans. Autom. Control 2020, 1. [Google Scholar] [CrossRef]















| Ref. | Solar Still Type | Solar Input Model | Considered Geometrical Parameters | Outcomes |
|---|---|---|---|---|
| [30] | Cascade single-slope | Simulation software | Cascade steps length and height | Optimized freshwater output |
| [35] | Cascade single-slope | Irradiance times surface area | The distance between the absorber plate and the cover | Optimized costs and exergy |
| [36] | Cascade single-slope | Irradiance times surface area | The distance between the absorber plate and the cover | Optimized costs and exergy |
| [37] | Single-slope | Irradiance times surface area | Simulation of a specific design | Simulation of temperature profile inside solar still |
| [32] | Single-slope | Irradiance times surface area | No geometrical parameters, employed a tracking system | Optimized freshwater output |
| [29] | Single-slope | Irradiance times surface area | No geometrical parameters | Optimized freshwater output |
| [31] | Single-slope | Irradiance times surface area | No geometrical parameters | Optimized freshwater output |
| [33] | single-slope, double-slope, and pyramidal | Irradiance times surface area | No geometrical parameters | Optimized freshwater output |
| [34] | Single-slope | Derived relations | Glass cover angle and the ratio of basin area to the cover angle | Optimized solar energy input |
| [28] | Double-slope | Derived relations | Glass covers’ angle | New modelling method for and optimization of solar energy input |
| Present study | Double-slope | Derived relations | All the individually effective geometrical parameters | New modelling method and optimized solar energy input |
| Parameter | Value |
|---|---|
| Basin tilt angle () | 0° |
| Glass No. 1 azimuth angle () | 0°, 45°, and 90° |
| Glass No. 2 azimuth angle () | 180°, −135°, and −90° |
| Latitude | 24° |
| Design Conditions | |||
|---|---|---|---|
| Optimum (ref. [28]) | 25 | 10 | 20 |
| Optimum (model) | 26.11 | 10.28 | 19.13 |
| Model error for | 4.44% | 2.80% | 4.35% |
| Optimum (ref. [28]) | 10 | 10 | 10 |
| Optimum (model) | 10.38 | 10.31 | 10.42 |
| Model error for | 3.80% | 3.10% | 4.2% |
| Optimum energy input (ref. [28]) | 6.21 GJ/m2 | 6.49 GJ/m2 | 6.30 GJ/m2 |
| Optimum energy input (model) | 6.28 GJ/m2 | 6.41 GJ/m2 | 6.32 GJ/m2 |
| Model error for input energy | 1.01% | 1.38% | 3.66% |
| Parameter | Value |
|---|---|
| Basin width () | 1 m |
| Basin length () | 2 m |
| Basin tilt angle () | 0° |
| Basin azimuth angle () | 90° |
| Inclination angle of the glass cover No. 1 () | 30° |
| Inclination angle of the glass cover No. 2 () | 45° |
| Parameter | Value |
|---|---|
| Basin width (W) | 2 m |
| Basin length () | 2 m |
| Basin tilt angle () | 8.44° |
| Basin azimuth angle () | 180° |
| Inclination angle of the glass cover No. 1 () | 80° |
| Inclination angle of the glass cover No. 2 () | 66.75° |
| Total annual input energy () | 97.67 GJ |
| Total annual input energy per total glass cover surface area () | 4.77 GJ/m2 |
Publisher’s Note: MDPI stays neutral with regard to jurisdictional claims in published maps and institutional affiliations. |
© 2021 by the authors. Licensee MDPI, Basel, Switzerland. This article is an open access article distributed under the terms and conditions of the Creative Commons Attribution (CC BY) license (http://creativecommons.org/licenses/by/4.0/).
Share and Cite
Yousefi, H.; Aramesh, M.; Shabani, B. Design Parameters of a Double-Slope Solar Still: Modelling, Sensitivity Analysis, and Optimization. Energies 2021, 14, 480. https://doi.org/10.3390/en14020480
Yousefi H, Aramesh M, Shabani B. Design Parameters of a Double-Slope Solar Still: Modelling, Sensitivity Analysis, and Optimization. Energies. 2021; 14(2):480. https://doi.org/10.3390/en14020480
Chicago/Turabian StyleYousefi, Hossein, Mohamad Aramesh, and Bahman Shabani. 2021. "Design Parameters of a Double-Slope Solar Still: Modelling, Sensitivity Analysis, and Optimization" Energies 14, no. 2: 480. https://doi.org/10.3390/en14020480
APA StyleYousefi, H., Aramesh, M., & Shabani, B. (2021). Design Parameters of a Double-Slope Solar Still: Modelling, Sensitivity Analysis, and Optimization. Energies, 14(2), 480. https://doi.org/10.3390/en14020480
