Variation and Prediction Methods of the Explosion Characteristic Parameters of Coal Dust/Gas Mixtures
Abstract
1. Introduction
2. Experimental Equipment and Materials
2.1. Experimental Equipment
- For hybrid mixture of coal dust and gas: in order to accomplish the hybrid mixture explosion experiments, after the coal dust was first placed in the 0.6 L container the premixed gas/air mixture at 2 MPa pressure was added using the partial pressure method. The coal dust was then dispersed through a rebound nozzle into the vacuum chamber at −0.6 bar via the premixed gas/air mixture.
- For coal dust: when conducting the coal dust explosion experiments, the coal dust was first placed in the 0.6 L dust container, followed by the addition of the compressed air at 2 Mpa pressure. The coal dust was then dispersed into the vacuum chamber at −0.6 bar by the compressed air.
- For gas: when conducting the gas explosion experiments, the premixed gas/air mixture was prepared at 2 Mpa pressure in the 0.6 L dust container via the partial pressure method, with the mixture then injected into the vacuum chamber at −0.6 bar without coal dust.
2.2. Materials
3. Experimental Results and Discussion
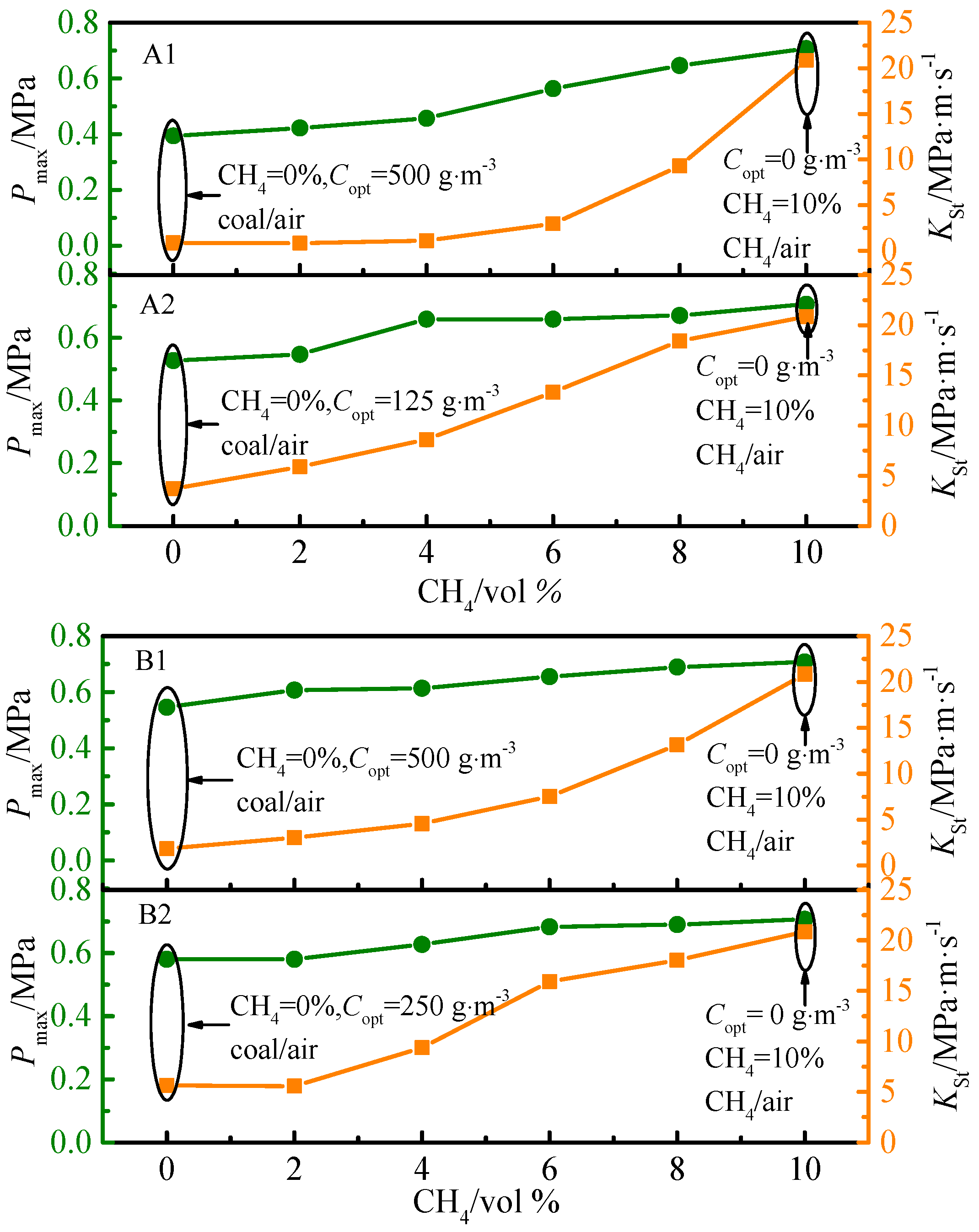
3.1. Analysis of Maximum Explosion Pressure and Explosion Index Variation Law of Hybrid Mixture of Coal Dust and Gas
3.2. Analysis of the Change Law of the Lower Explosion Limit of Hybrid Mixture of Coal Dust and Gas
3.3. Methods for Predicting Maximum Explosion Pressure and Explosion Index of Hybrid Mxiture of Coal Dust and Gas
3.4. Prediction Method of Lower Explosion Limit of Hybrid Mixture Coal Dust and Gas
4. Conclusions
- (1)
- The addition of gas has a more obvious effect on the maximum explosion pressure and explosion index of coal dust with low volatile content. After the addition of gas, the increase in the explosion of coal dust is more significant than that in the maximum explosion pressure, indicating that the effect of gas on the explosion index of coal dust is more obvious.
- (2)
- As the gas equivalent ratio in the hybrid mixture of coal dust and gas increases, the maximum explosion pressure of the hybrid mixture increases linearly, and the explosion index increases quadratically. However, at any gas concentration, the maximum explosion pressure and explosion index of coal dust and gas mixtures are lower than single-phase gas but higher than single-phase coal dust.
- (3)
- The addition of gas can lead to a significant reduction in the lower explosion limit of the coal dust, and the reduction is affected by the volatile content of the coal dust. The lower the volatile content of the coal dust, the greater the reduction.
- (4)
- Methods were established for predicting the maximum explosion pressure, explosion index, and lower explosion limit of coal dust and gas mixtures. The prediction results obtained by the maximum explosion pressure and explosion index prediction methods have relatively small errors and are suitable for a hybrid mixture of coal dust and gas. The Bartknecht model has a certain applicability to the hybrid mixture of coal dust and gas and is more suitable for the hybrid mixture containing low volatile coal dust.
- (5)
- In further research, the effects of particle size, ignition energy, initial turbulence, initial temperature, initial pressure on the explosion characteristic of the hybrid mixture of coal dust and gas will be taken into account, aiming to establish more accurate methods for predicting the explosion characteristic parameters.
Author Contributions
Funding
Institutional Review Board Statement
Informed Consent Statement
Data Availability Statement
Conflicts of Interest
References
- Ji, W.T.; Yu, J.L.; Yu, X.Z. Explosion venting of hybrid mixtures: A comparison of standards NFPA 68 and EN 14491. J. Loss Prev. Process Ind. 2018, 54, 325–332. [Google Scholar] [CrossRef]
- Bartknecht, W. Explosions: Course, Prevention, Protection; Springer Science & Business Media: Berlin, Germany, 2012. [Google Scholar]
- Song, S.X.; Cheng, Y.F.; Meng, X.R. Hybrid CH4/coal dust explosions in a 20-L spherical vessel. Process Saf. Environ. Prot. 2019, 122, 281–287. [Google Scholar] [CrossRef]
- Kundu, S.K.; Zanganeh, J.; Eschebach, D. Explosion severity of methane-coal dust hybrid mixtures in a ducted spherical vessel. Powder Technol. 2018, 323, 95–102. [Google Scholar] [CrossRef]
- Zhao, P.; Tan, X.; Schmidt, M. Minimum explosion concentration of coal dusts in air with small amount of CH4/H2/CO under 10-kJ ignition energy conditions. Fuel 2020, 260, 116401. [Google Scholar] [CrossRef]
- Norman, F.; Berghmans, J.; Verplaetsen, F. The Dust Explosion Characteristics of Coal Dust in an Oxygen Enriched Atmosphere. Procedia Eng. 2012, 45, 399–402. [Google Scholar] [CrossRef][Green Version]
- Pwael, K.; Roy, N.; Vijayshankar, A. Explosions of carbon black and propane hybrid mixtures. J. Loss Prev. Process Ind. 2013, 26, 45–51. [Google Scholar]
- Cao, W.G.; Xu, S.; Liang, J.Y. Characteristics of flame propagation during coal dust cloud explosion. Explos. Shock Waves 2014, 34, 586–593. [Google Scholar]
- Cao, W.G.; Huang, L.Y.; Zhang, J.X. Research on Characteristic Parameters of Coal-dust Explosion. Procedia Eng. 2012, 45, 442–447. [Google Scholar] [CrossRef]
- Addai, E.K.; Clouthier, M.; Amyotte, P. Experimental investigation of limiting oxygen concentration of hybrid mixtures. J. Loss Prev. Process Ind. 2019, 57, 120–130. [Google Scholar] [CrossRef]
- Mittal, M. Limiting oxygen concentration for coal dusts for explosion hazard analysis and safety. J. Loss Prev. Process Ind. 2013, 26, 1106–1112. [Google Scholar] [CrossRef]
- He, C.Y. Study on the Explosion Risk under the Coexistence of Gas and Coal Dust. Saf. Coal Mine. 1996, 12, 22. [Google Scholar]
- Bi, M.S.; Li, J.B. Flame propagation of methane-coal dust explosion in closed vessel. Meitan Xuebao 2010, 35, 1298–1302. [Google Scholar]
- Jing, G.X.; Liu, C.; Duan, X.W. Experimental study on gas-coal dust coupling explosion in semi-closed pipeline. Meitan Xuebao 2019, 44, 157–163. [Google Scholar]
- Guo, C.W.; Shao, H.; Jiang, S.G. Effect of low-concentration coal dust on gas explosion propagation law. Powder Technol. 2020, 367, 243–252. [Google Scholar] [CrossRef]
- Niu, Y.H.; Zhang, L.L.; Shi, B.M. Experimental study on the explosion-propagation law of coal dust with different moisture contents induced by methane explosion. Powder Technol. 2020, 361, 507–511. [Google Scholar] [CrossRef]
- Cashdollar, K.L.; Hertzberg, M. 20L explosibility test chamber for dusts and gases. Rev. Sci. Instrum. 1985, 56, 596–602. [Google Scholar] [CrossRef]
- Ji, W.T. Investigation on the Explosibility and Explosion Venting Characteristics of Hybrid Mixtures; Dalian University of Technology: Dalian, China, 2018. [Google Scholar]
- Addai, E.K.; Gabel, D.; Krause, U. Lower explosion limit of hybrid mixtures of burnable gas and dust. J. Loss Prev. Process Ind. 2015, 36, 497–504. [Google Scholar] [CrossRef]
- Khalili, I.; Dufaud, O.; Poupeau, M. Ignition sensitivity of gas–vapor/dust hybrid mixtures. Powder Technol. 2012, 217, 199–206. [Google Scholar] [CrossRef]
- Sanchirico, R.; Russo, P.; Di, S.V. On the explosion and flammability behavior of mixtures of combustible dusts. Process Saf. Environ. Prot. 2015, 94, 410–419. [Google Scholar] [CrossRef]
- EN14034–2006. Determination of Explosion Characteristics of Dust Clouds; European Committee for Standardisation (CEN): Brussels, Belgium, 2004.
- Ji, W.T.; Xing, Q.Y.; Sun, H.L. Comparative analysis of the explosibility of several different hybrid mixtures. Powder Technol. 2018, 325, 42–48. [Google Scholar] [CrossRef]
- Ji, W.T.; Yu, J.L.; Yu, X.Z. Experimental investigation into the vented hybrid mixture explosions of lycopodium dust and methane. J. Loss Prev. Process Ind. 2017, 51, 102–111. [Google Scholar] [CrossRef]
- Dufaud, O.; Paula, P. CFD-DPM and experimental study of the dynamics of wheat starch powder/pyrolysis gases hybrid mixtures in the 20-L Sphere. Powder Technol. 2020, 372, 638–658. [Google Scholar]
- Addai, E.K.; Ali, A.; Zaheer, A. Investigation of the explosion severity of multiphase hybrid mixtures. Process Saf. 2020, e12139. [Google Scholar] [CrossRef]
- Song, L.; Zheng, T.L. Flammability and Explosion Risk of Post-explosion CH4 /air and CH4 /coal dust/air Mixtures. Combust. Sci. Technol. 2019. [Google Scholar] [CrossRef]
- Sanchirico, R.; Benedetto, A.D.; Garcia-Agreda, A. Study of the severity of hybrid mixture explosions and comparison to pure dust–air and vapour–air explosions. J. Loss Prev. Process Ind. 2011, 24, 64–655. [Google Scholar] [CrossRef]
- Garcia-Agreda, A.; Benedetto, A.D.; Russo, P. Dust/gas mixtures explosion regimes. Powder Technol. 2011, 205, 81–86. [Google Scholar] [CrossRef]
- Bartknecht, W. Explosions; Springer: New York, NY, USA, 1981. [Google Scholar]
- Ramalho, E.; Pinho, C. Explosibility of cork dust in methane/air mixtures. J. Loss Prev. Process Ind. 2006, 19, 17–23. [Google Scholar]
- Denkevits, A. Explosibility of hydrogen–graphite dust hybrid mixtures. J. Loss Prev. Process Ind. 2007, 20, 698–707. [Google Scholar] [CrossRef]
- Ajrash, M.J.; Zanganeh, J.; Moghtaderi, B. Effects of ignition energy on fire and explosion characteristics of dilute hybrid fuel in ventilation air methane. J. Loss Prev. Process Ind. 2016, 40, 207–216. [Google Scholar] [CrossRef]
- Jiang, J.J.; Liu, Y.; Mashuga, C.V. Validation of a new formula for predicting the lower flammability limit of hybrid mixtures. J. Loss Prev. Process. Ind. 2015, 35, 52–58. [Google Scholar] [CrossRef]










| Parameters | Symbol | Maximum Error | Symbol | Value of Measurement |
|---|---|---|---|---|
| mass measurement | Δ m | 0.05 g | m | 15 g |
| gas concentration | Δ Cg | 0.1 vol% | Cg | 10% |
| dust dispersion pressure | Δ Pd | 0.001 MPa | Pd | 2 MPa |
| pressure sensor reading | Δ Pr | 0.001 MPa | Pr | 0.5 MPa |
| Dust Sample | Fixed Carbon Content | Volatile Content | Moisture Content | Ash Content |
|---|---|---|---|---|
| A1 | 60.58 | 2.25 | 0.43 | 36.74 |
| A2 | 51.44 | 25.01 | 9.73 | 13.82 |
| B1 | 61 | 13.9 | 4.5 | 20.6 |
| B2 | 56.94 | 30.33 | 3.88 | 8.85 |
Publisher’s Note: MDPI stays neutral with regard to jurisdictional claims in published maps and institutional affiliations. |
© 2021 by the authors. Licensee MDPI, Basel, Switzerland. This article is an open access article distributed under the terms and conditions of the Creative Commons Attribution (CC BY) license (http://creativecommons.org/licenses/by/4.0/).
Share and Cite
Qi, Y.; Gan, X.; Li, Z.; Li, L.; Wang, Y.; Ji, W. Variation and Prediction Methods of the Explosion Characteristic Parameters of Coal Dust/Gas Mixtures. Energies 2021, 14, 264. https://doi.org/10.3390/en14020264
Qi Y, Gan X, Li Z, Li L, Wang Y, Ji W. Variation and Prediction Methods of the Explosion Characteristic Parameters of Coal Dust/Gas Mixtures. Energies. 2021; 14(2):264. https://doi.org/10.3390/en14020264
Chicago/Turabian StyleQi, Yingquan, Xiangyang Gan, Zhong Li, Lu Li, Yan Wang, and Wentao Ji. 2021. "Variation and Prediction Methods of the Explosion Characteristic Parameters of Coal Dust/Gas Mixtures" Energies 14, no. 2: 264. https://doi.org/10.3390/en14020264
APA StyleQi, Y., Gan, X., Li, Z., Li, L., Wang, Y., & Ji, W. (2021). Variation and Prediction Methods of the Explosion Characteristic Parameters of Coal Dust/Gas Mixtures. Energies, 14(2), 264. https://doi.org/10.3390/en14020264

