Comparative Study on the Cooling Characteristics of Different Fill Layout Patterns on a Single Air Inlet Induced Draft Cooling Tower
Abstract
:1. Introduction
2. Numerical Model
2.1. Geometric Model
2.2. Governing Equations
2.2.1. Governing Equations for Air Flow
2.2.2. Governing Equations for Circulating Water
2.2.3. Heat and Mass Transfer from Water to Air
2.3. Boundary Conditions and Solution Method
2.4. Mesh Scheme
2.5. Validation
3. Results and Discussion
3.1. Ventilation Rate
3.2. Cooling Capacity of SIDCT
3.3. Merkel Number
4. Conclusions
- (1)
- The 3D numerical model for the tower with stepped fill is established and validated. The relative error between measured values and numerical values is no more than 3%.
- (2)
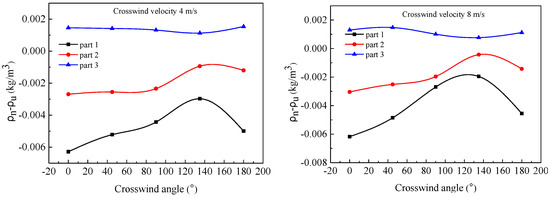
- Compared with uniform fill tower, the total ventilation rate of the stepped fill tower is increased. The stepped fill can increase the ventilation rate in the innermost part of the SIDCT and decrease it around air inlet, not changing in the central part.
- (3)
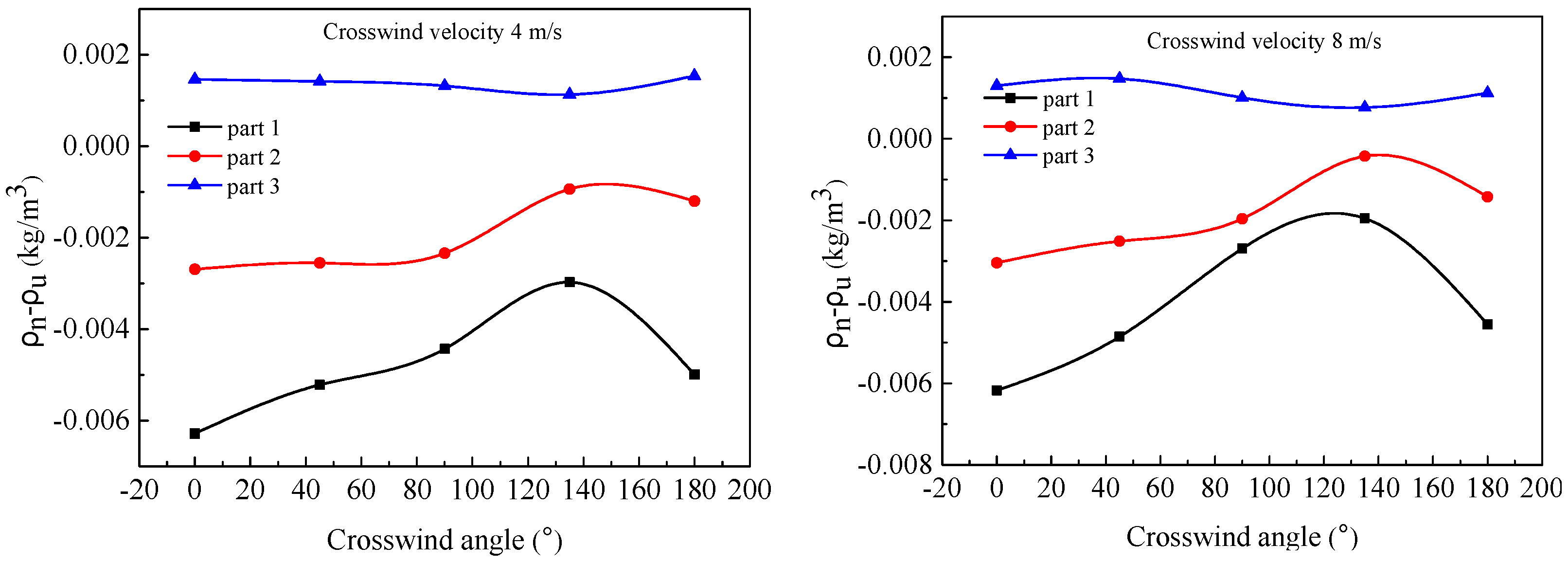
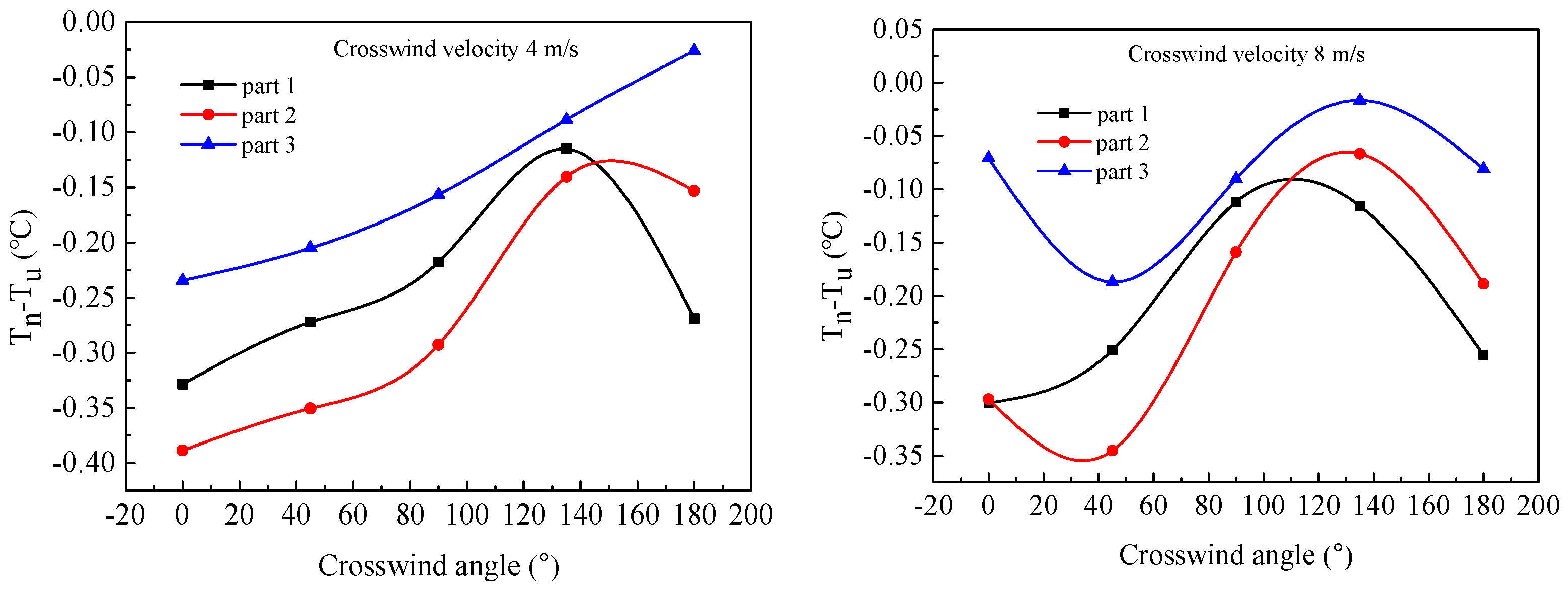
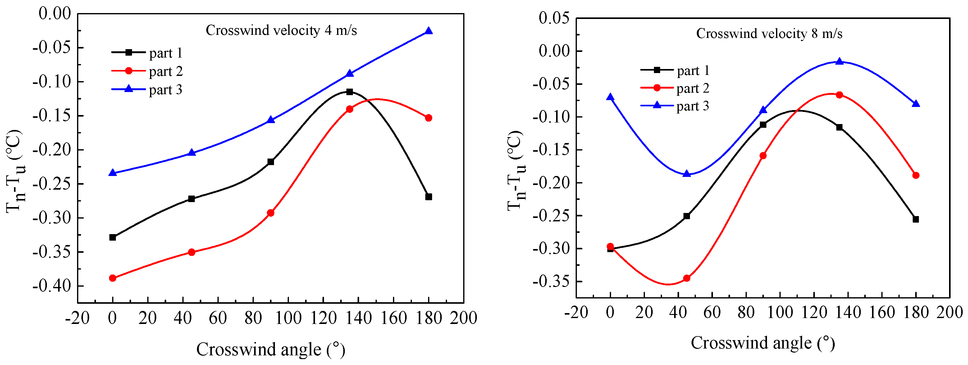
- After using stepped fill, the mean drop of outlet water temperature rises by 0.29 °C, 0.27 °C, 0.17 °C, 0.10 °C, and 0.19 °C, corresponding to crosswind angles from 0° to 180°. The maximum increased value of is 0.65 under the crosswind velocity of 4 m/s and is 0.85 under 8 m/s, and is 0.95 under 12 m/s.
- (4)
- For the stepped fill tower, the increment of cooling capacity is the maximum under the crosswind angles of 0° and 45°, and is the minimum under the crosswind angle of 90° and 135°.
Author Contributions
Funding
Institutional Review Board Statement
Informed Consent Statement
Data Availability Statement
Conflicts of Interest
Nomenclature
| surface area of one droplet, m2 | |
| constant pressure specific heat, kJ/(kg·K) | |
| resistance coefficient | |
| diffusion coefficient | |
| resistance force, N | |
| gravitational body force | |
| gravity acceleration, m/s2 | |
| enthalpy, J/kg | |
| height, m | |
| merkel number | |
| number of water droplets per unit volume | |
| mass transfer coefficient, m2/s | |
| thermal conductivity, W/(m·K) | |
| thermal conductivity coefficient, W/(m2·K) | |
| lewis factor | |
| unit tensor | |
| molecular weight | |
| pressure, Pa | |
| Prandtl number | |
| spray density, kg/(m2·s) | |
| water mass flow rate, kg/h | |
| universal gas constant | |
| latent heat of vaporization, kJ/kg | |
| mass source term, kg/(m3·s) | |
| energy source term, W/m3 | |
| schmidt number | |
| mass fraction | |
| water temperature, ℃ | |
| environment air dry-bulb temperature, ℃ | |
| velocity, m/s | |
| reynolds number | |
| reynolds number of water droplets | |
| mechanical draft cooling tower | |
| forced draft cooling tower | |
| induced draft cooling tower | |
| single air inlet induced draft cooling tower | |
| Greek symbols | |
| density, kg/m3 | |
| viscosity, kg/s | |
| turbulent kinematic dissipation rate, m2/s3 | |
| moisture content of the air, kg/kg | |
| air relative humidity, % | |
| Subscripts | |
| 1 | inlet value |
| 2 | outlet value |
| air | |
| vapor | |
| reference value | |
| water | |
| mass | |
References
- Chen, X.; Sun, F.; Li, X.; Song, H.; Zheng, P.; Lyu, X.; Yan, L. Field measurement on the three-dimensional thermal characteristics of a single air inlet induced draft cooling tower. Appl. Therm. Eng. 2020, 172, 115167. [Google Scholar] [CrossRef]
- Rahmati, M.; Alavi, S.R.; Tavakoli, M.R. Investigation of heat transfer in mechanical draft wet cooling towers using infrared thermal images: An experimental study. Int. J. Refrig.-Rev. Int. Du Froid 2018, 88, 229–238. [Google Scholar] [CrossRef]
- Rahmati, M.; Alavi, S.R.; Tavakoli, M.R. Experimental investigation on performance enhancement of forced draft wet cooling towers with special emphasis on the role of stage numbers. Energy Convers. Manag. 2016, 126, 971–981. [Google Scholar] [CrossRef]
- Naik, B.K.; Muthukumar, P. A novel approach for performance assessment of mechanical draft wet cooling towers. Appl. Therm. Eng. 2017, 121, 14–26. [Google Scholar] [CrossRef]
- Lucas, M.; Martinez, P.J.; Viedma, A. Experimental study on the thermal performance of a mechanical cooling tower with different drift eliminators. Energy Convers. Manag. 2009, 50, 490–497. [Google Scholar] [CrossRef]
- Lucas, M.; Ruiz, J.; Martinez, P.J.; Kaiser, A.S.; Viedma, A.; Zamora, B. Experimental study on the performance of a mechanical cooling tower fitted with different types of water distribution systems and drift eliminators. Appl. Therm. Eng. 2013, 50, 282–292. [Google Scholar] [CrossRef] [Green Version]
- Singh, K.; Das, R. An experimental and multi-objective optimization study of a forced draft cooling tower with different fills. Energy Convers. Manag. 2016, 111, 417–430. [Google Scholar] [CrossRef]
- Singh, K.; Das, R. A feedback model to predict parameters for controlling the performance of a mechanical draft cooling tower. Appl. Therm. Eng. 2016, 105, 519–530. [Google Scholar] [CrossRef]
- Singh, K.; Das, R. Improved Quantification of Exergy Destruction in Mechanical Cooling Tower Considering All Tower Inlet Parameters. J. Heat Transf.-Trans. ASME 2018, 140, 052002. [Google Scholar] [CrossRef]
- Singla, R.K.; Singh, K.; Das, R. Tower characteristics correlation and parameter retrieval in wet-cooling tower with expanded wire mesh packing. Appl. Therm. Eng. 2016, 96, 240–249. [Google Scholar] [CrossRef]
- Muller, C.J.; Craig, I.K. Modelling of a dual circuit induced draft cooling water system for control and optimisation purposes. J. Process. Control. 2015, 25, 105–114. [Google Scholar] [CrossRef] [Green Version]
- Ruiz, J.; Cutillas, C.G.; Kaiser, A.S.; Ballesta, M.; Zamora, B.; Lucas, M. Experimental study of drift deposition from mechanical draft cooling towers in urban environments. Energy Build. 2016, 125, 181–195. [Google Scholar] [CrossRef]
- Viljoen, J.H.; Muller, C.J.; Craig, I.K. Dynamic modelling of induced draft cooling towers with parallel heat exchangers, pumps and cooling water network. J. Process. Control. 2018, 68, 34–51. [Google Scholar] [CrossRef] [Green Version]
- Guo, Y.; Wang, F.; Jia, M.; Zhang, S. Parallel hybrid model for mechanical draft counter flow wet-cooling tower. Appl. Therm. Eng. 2017, 125, 1379–1388. [Google Scholar] [CrossRef]
- Gao, M.; Zou, J.; He, S.; Sun, F. Thermal performance analysis for high level water collecting wet cooling tower under crosswind conditions. Appl. Therm. Eng. 2018, 136, 568–575. [Google Scholar] [CrossRef]
- Chen, X.; Sun, F.; Lyu, D. Field test study on water droplet diameter distribution in the rain zone of a natural draft wet cooling tower. Appl. Therm. Eng. 2019, 162, 114252. [Google Scholar] [CrossRef]
- Dang, Z.; Gao, M.; Long, G.; Zou, J.; He, S.; Sun, F. Crosswind influence on cooling capacity in different zones for high level water collecting wet cooling towers based on field test. J. Wind. Eng. Ind. Aerodyn. 2019, 190, 134–142. [Google Scholar] [CrossRef]
- Zou, J.; He, S.; Long, G.; Sun, F.; Gao, M. Field test on ventilation performance for high level water collecting wet cooling tower under crosswind conditions. Appl. Therm. Eng. 2018, 133, 439–445. [Google Scholar] [CrossRef]
- Zhang, Z.; Gao, M.; Wang, M.; Guan, H.; Dang, Z.; He, S.; Sun, F. Field test study on thermal and ventilation performance for natural draft wet cooling tower after structural improvement. Appl. Therm. Eng. 2019, 155, 305–312. [Google Scholar] [CrossRef]
- Zhang, Z.; Wang, M.; Liu, Y.; Gao, M.; He, S.; Shi, Y. An exploratory research on performance improvement of super-large natural draft wet cooling tower based on the reconstructed dry-wet hybrid rain zone, part 2: Crosswind effects. Int. J. Heat Mass Transf. 2020, 160, 120225. [Google Scholar] [CrossRef]
- Dang, Z.; Zhang, Z.; Gao, M.; He, S. Numerical simulation of thermal performance for super large-scale wet cooling tower equipped with an axial fan. Int. J. Heat Mass Transf. 2019, 135, 220–234. [Google Scholar] [CrossRef]
- Zhou, Y.; Gao, M.; Long, G.; Zhang, Z.; Dang, Z.; He, S.; Sun, F. Experimental study regarding the effects of forced ventilation on the thermal performance for super-large natural draft wet cooling towers. Appl. Therm. Eng. 2019, 155, 40–48. [Google Scholar] [CrossRef]
- Chen, X.; Sun, F.; Chen, Y.; Gao, M. New retrofit method to improve the thermal performance of natural draft wet cooling towers based on the reconstruction of the aerodynamic field. Int. J. Heat Mass Transf. 2019, 132, 671–680. [Google Scholar] [CrossRef]
- Chen, X.; Sun, F.; Chen, Y.; Gao, M. Novel method for improving the cooling performance of natural draft wet cooling towers. Appl. Therm. Eng. 2019, 147, 562–570. [Google Scholar] [CrossRef]
- Zhou, Y.; Wang, K.; Gao, M.; Dang, Z.; He, S.; Sun, F. Experimental study on the drag characteristic and non-uniform fillings for wet cooling towers under thermal performance of crosswind conditions. Appl. Therm. Eng. 2018, 140, 398–405. [Google Scholar] [CrossRef]
- Gao, M.; Guo, C.; Ma, C.; Shi, Y.; Sun, F. Thermal Performance for Wet Cooling Tower with Different Layout Patterns of Fillings under Typical Crosswind Conditions. Energies 2017, 10, 65. [Google Scholar] [CrossRef] [Green Version]
- Lyu, D.; Sun, F.; Zhao, Y. Impact mechanism of different fill layout patterns on the cooling performance of the wet cooling tower with water collecting devices. Appl. Therm. Eng. 2017, 110, 1389–1400. [Google Scholar] [CrossRef]
- Eldredge, T.V.; Benton, D.J.; Hodgson, J.W. An investigation of the effects of flue gas injection on natural draft cooling tower performance. J. Eng. Gas Turbines Power-Trans. ASME 1997, 119, 478–484. [Google Scholar] [CrossRef]
- Han, Q.; Liu, D.Y.; Chen, F.S.; Yang, Z. The energy-saving benefit and economic evaluation analysis of cooling tower with flue gas injection. In Proceedings of the 2009 International Conference on Sustainable Power Generation and Supply, Nanjing, China, 6–7 April 2009; p. 2249. [Google Scholar]
- Harte, R.; Kratzig, W.B. Large-scale cooling towers as part of an efficient and cleaner energy generating technology. Thin-Walled Struct. 2002, 40, 651–664. [Google Scholar] [CrossRef]
- Launder, B.E.; Spalding, D.B. Lectures in Mathematical Models of Turbulence; Academic Press: Cambridge, MA, USA, 1972; pp. 157–162. Available online: https://agris.fao.org/agris-search/search.do?recordID=US201300492578 (accessed on 28 September 2021).
- Williamson, N.; Armfield, S.; Behnia, M. Numerical simulation of flow in a natural draft wet cooling tower The effect of radial thermofluid fields. Appl. Therm. Eng. 2008, 28, 178–189. [Google Scholar] [CrossRef]
- Hall, N.A. Technical thermodynamics: Fran Bonjakovi, Holt, Rinehart and Winston, New York, 1965, 524 pp. Pergamon 1966, 9, 993. Available online: https://www.webofscience.com/wos/alldb/full-record/INSPEC:481758 (accessed on 28 September 2021).
- Zhang, Z.; Gao, M.; Dang, Z.; He, S.; Sun, F. An exploratory research on performance improvement of super-large natural draft wet cooling tower based on the reconstructed dry-wet hybrid rain zone. Int. J. Heat Mass Transf. 2019, 142, 118465. [Google Scholar] [CrossRef]
- Dong, H.; Wan, D.; Liu, M.; Chen, T.; Gao, S.; Zhao, Y. Evaluation of the Hot Air Recirculation Effect and Relevant Empirical Formulae Applicability for Mechanical Draft Wet Cooling Towers. Energies 2020, 13, 3347. [Google Scholar] [CrossRef]
- Zhao, Z. Cooling Tower; Chinese Water and Electricity Press: Beijing, China, 1994. (In Chinese) [Google Scholar]














| Mesh Number | 784,915 | 1,196,816 | 1,488,224 | 1,804,915 |
|---|---|---|---|---|
| Inlet water temperature (°C) | 33.02 | 33.02 | 33.02 | 33.02 |
| Measured outlet water temperature (°C) | 24.26 | 24.26 | 24.26 | 24.26 |
| Numerical outlet water temperature (°C) | 23.63 | 23.89 | 24.08 | 24.10 |
| Error | 0.63 | 0.37 | 0.18 | 0.16 |
| Relative error (%) | 7.20 | 4.22 | 2.05 | 1.71 |
| Monitoring Parameters | Measuring Instrument | Accuracy |
|---|---|---|
| Circulating water flow rate | FLEXIM ultrasonic flow meter | ±0.5% |
| Inlet and outlet water temperature | Platinum resistance thermometer | ±0.1 °C |
| Ambient air dry–wet bulb temperature | Platinum resistance thermometer | ±0.1 °C |
| Atmospheric pressure | DYM3 aneroid barometer | ±0.01 kPa |
| Environmental crosswind velocity | Cup anemometer | ±0.1 m/s |
| Environmental crosswind direction | Anemoscope | ±0.8% |
| Actual Work Conditions | B1 | B2 | B3 | B4 | B5 |
|---|---|---|---|---|---|
| Atmospheric pressure (kPa) | 101.7 | 101.6 | 101.7 | 101.7 | 101.6 |
| Ambient dry-bulb temperature (°C) | 15.1 | 15.3 | 14.9 | 15.1 | 14.8 |
| Ambient wet-bulb temperature (°C) | 10.1 | 10.2 | 10.1 | 10.1 | 9.9 |
| Crosswind angle (±5°) | 0° | 0° | 45° | 90° | 180° |
| Crosswind velocity (m·s−1) | 2.13 | 3.86 | 1.71 | 4.28 | 4.36 |
| Water flow rate (m3·h−1) | 4520 | 4516 | 4532 | 4526 | 4518 |
| Inlet water temperature (°C) | 33.02 | 33.11 | 33.08 | 33.05 | 33.09 |
| Measured outlet water temperature (°C) | 24.26 | 24.04 | 24.63 | 24.81 | 25.03 |
| Numerical outlet water temperature (°C) | 24.08 | 23.78 | 24.44 | 24.65 | 24.85 |
| Error (°C) | 0.18 | 0.26 | 0.19 | 0.16 | 0.18 |
| Relative error (%) | 2.05 | 2.87 | 2.25 | 1.94 | 2.25 |
Publisher’s Note: MDPI stays neutral with regard to jurisdictional claims in published maps and institutional affiliations. |
© 2021 by the authors. Licensee MDPI, Basel, Switzerland. This article is an open access article distributed under the terms and conditions of the Creative Commons Attribution (CC BY) license (https://creativecommons.org/licenses/by/4.0/).
Share and Cite
Deng, W.; Sun, F. Comparative Study on the Cooling Characteristics of Different Fill Layout Patterns on a Single Air Inlet Induced Draft Cooling Tower. Energies 2021, 14, 6303. https://doi.org/10.3390/en14196303
Deng W, Sun F. Comparative Study on the Cooling Characteristics of Different Fill Layout Patterns on a Single Air Inlet Induced Draft Cooling Tower. Energies. 2021; 14(19):6303. https://doi.org/10.3390/en14196303
Chicago/Turabian StyleDeng, Weipeng, and Fengzhong Sun. 2021. "Comparative Study on the Cooling Characteristics of Different Fill Layout Patterns on a Single Air Inlet Induced Draft Cooling Tower" Energies 14, no. 19: 6303. https://doi.org/10.3390/en14196303
APA StyleDeng, W., & Sun, F. (2021). Comparative Study on the Cooling Characteristics of Different Fill Layout Patterns on a Single Air Inlet Induced Draft Cooling Tower. Energies, 14(19), 6303. https://doi.org/10.3390/en14196303
