Annual Thermal Performance of an Industrial Hybrid Direct–Indirect Solar Air Heating System for Drying Applications in Morelos-México
Abstract
1. Introduction
2. Materials and Methods
2.1. Location and Solar Heater Description
2.2. Experimental Setup
2.3. Adjustment of the Simulator
2.4. Theoretical Model
2.5. Simulation Program
2.6. Simulator Validation
3. Results and Discussion
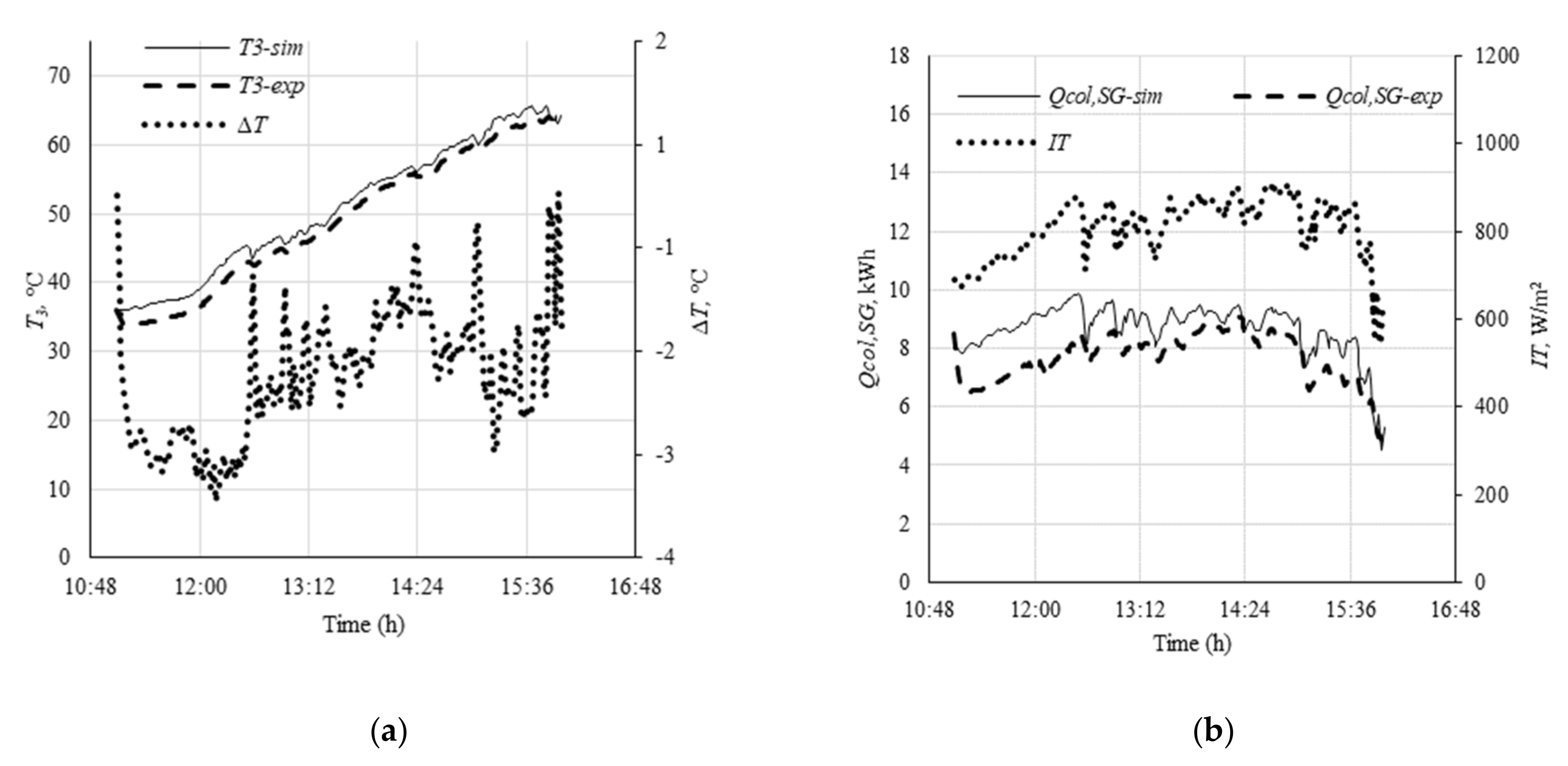
3.1. Adjustment and Validation Simulator
3.2. Thermal Performance Assessment
3.2.1. Simulation Description
3.2.2. Thermal Performance
3.2.3. Sensitivity Analysis
3.2.4. Hybrid Mode Parametric Study
4. Conclusions
Author Contributions
Funding
Institutional Review Board Statement
Informed Consent Statement
Data Availability Statement
Acknowledgments
Conflicts of Interest
Nomenclature
| a0 | First-term solar collector thermal efficiency equation (-) |
| a1 | Second-term solar collector thermal efficiency equation, W/m2K |
| a2 | Third-term solar collector thermal efficiency equation, W/m2 K2 |
| AST | Storage tank area, m2 |
| Awt,DG | Double-glazed solar collector area, m2 |
| Awt,SG | Single-glazed solar collector area, m2 |
| Car | Thermal capacitance of air, kJ/K |
| Cp,ar | Specific heat of air, kJ/kgK |
| Cp,wt | Specific heat of water, kJ/kgK |
| LMTD | Log mean temperature difference, K |
| IT | Solar irradiance on tilt surface W/m2 |
| Q | Energy, kWh |
| Qax | Auxiliary heat, kWh |
| Qcol,DG | Double-glazed solar collectors useful energy, kWh |
| Qcol,SG | Single-glazed solar collectors useful energy, kWh |
| Qs,ar | Solar energy incident on DAH, kWh |
| Qs,DG | Solar energy incident on double-glazed collectors, kWh |
| Qs,SG | Solar energy incident on single-glazed collectors, kWh |
| Qtk | Storage tank useful energy, kWh |
| Qu | Useful energy, kWh |
| RMSE | Root-mean-square error (-) |
| SF | Solar fraction (-) |
| t1 | Initial time, minutes |
| t2 | Final time, minutes |
| Ta | Ambient temperature, °C |
| ULtk | Tank loss coefficient, W/ m2K |
| Greek letters | |
| ε | Heat exchanger effectiveness (-) |
| Thermal efficiency (-) | |
| Overall efficiency (-) | |
| Subscripts | |
| DAH | Direct air heating |
| DAHS | Direct air heating system |
| HAH | Hybrid air heating |
| IAH | Indirect air heating |
| IAHS | Indirect air heating systems |
References
- U.S. Energy Information Administration. International Energy Outlook 2019 with Projections to 2050; U.S. Energy Information Administration: Washington, DC, USA, 2019.
- Sharma, A.K.; Sharma, C.; Mullick, S.C.; Kandpal, T.C. Solar Industrial Process Heating: A Review. Renew. Sustain. Energy Rev. 2017, 78, 124–137. [Google Scholar] [CrossRef]
- Solar Payback. Available online: https://www.solar-payback.com/wp-content/uploads/2018/06/Solar-Payback_Calor-Solar-para-la-Industria_Mexico.pdf (accessed on 15 January 2021).
- Inventario Nacional de Emisiones de Gases y Compuestos de Efecto Invernadero. Available online: https://www.gob.mx/inecc/acciones-y-programas/inventario-nacional-de-emisiones-de-gases-y-compuestos-de-efecto-invernadero (accessed on 22 January 2021).
- Sarafraz, M.M.; Safaei, M.R.; Leon, A.S.; Tlili, I.; Alkanhal, T.A.; Tian, Z.; Goodarzi, M.; Arjomandi, M. Experimental Investigation on Thermal Performance of a PV/T-PCM (Photovoltaic/Thermal) System Cooling with a PCM and Nanofluid. Energies 2019, 12, 2572. [Google Scholar] [CrossRef]
- International Renewable Energy Agency. Solar Heat for Industrial Processes. In Technology Brief; International Renewable Energy Agency: Abu Dhabi, United Arab Emirates, 2015. [Google Scholar]
- Jos, F.; Montero, I.; Arranz, I.; Lozano, F.J.; Matamoros, M.; Rodr, P. Analysis of Potential Use of Linear Fresnel Collector for Direct Steam Generation in Industries of the Southwest of Europe. Energies 2019, 12, 4049. [Google Scholar] [CrossRef]
- Motevali, A.; Chayjan, R.A. Effect of Various Drying Bed on Thermodynamic Characteristics. Case Stud. Therm. Eng. 2017, 10, 399–406. [Google Scholar] [CrossRef]
- Das Purkayastha, M.; Nath, A.; Chandra Deka, B.; Lata Mahanta, C. Thin Layer Drying of Tomato Slices. J. Food Sci. Technol. 2011, 50, 654. [Google Scholar] [CrossRef] [PubMed][Green Version]
- Khanlari, A.; Ozge, H.; Doğuş Tuncer, A.; Şirin, C.; Bilge, Y.; Yilmaz, Y.; Güngör, A. Experimental and Numerical Study of the Effect of Integrating plus- Shaped Perforated Baffles to Solar Air Collector in Drying Application. Renew. Energy 2020, 145, 1677–1692. [Google Scholar] [CrossRef]
- Ekechukwu, O.V.; Norton, B. Review of Solar-Energy Drying Systems III: Low Temperature Air-Heating Solar Collectors for Crop Drying Applications. Energy Convers. Manag. 1999, 40, 657–667. [Google Scholar] [CrossRef]
- Pérez-Espinosa, R.; García-Valladares, O.; Pilatowsky, I. Numerical Modeling and Experimental Validation of Back-Pass Rectangular Ducts Solar Air Heaters. Appl. Therm. Eng. 2020, 171, 115018. [Google Scholar] [CrossRef]
- El Manssouri, O.; Hajji, B.; Tina, G.M.; Gagliano, A.; Aneli, S. Electrical and Thermal Performances of Bi-Fluid PV/Thermal Collectors. Energies 2021, 14, 1633. [Google Scholar] [CrossRef]
- Nabnean, S.; Janjai, S.; Thepa, S.; Sudaprasert, K.; Songprakorp, R.; Bala, B.K. Experimental Performance of a New Design of Solar Dryer for Drying Osmotically Dehydrated Cherry Tomatoes. Renew. Energy 2016, 94, 147–156. [Google Scholar] [CrossRef]
- Boughali, S.; Benmoussa, H.; Bouchekima, B.; Mennouche, D.; Bouguettaia, H.; Bechki, D. Crop Drying by Indirect Active Hybrid Solar—Electrical Dryer in the Eastern Algerian Septentrional Sahara. Sol. Energy 2009, 83, 2223–2232. [Google Scholar] [CrossRef]
- Čipliene, A.; Novošinskas, H.; Raila, A.; Zvicevičius, E. Usage of Hybrid Solar Collector System in Drying Technologies of Medical Plants. Energy Convers. Manag. 2015, 93, 399–405. [Google Scholar] [CrossRef]
- López-Vidaña, E.C.; Méndez-Lagunas, L.L.; Rodríguez-Ramírez, J. Efficiency of a Hybrid Solar-Gas Dryer. Sol. Energy 2013, 93, 23–31. [Google Scholar] [CrossRef]
- Montero, I.; Miranda, M.T.; Sepúlveda, F.J.; Arranz, J.I.; Rojas, C.V.; Nogales, S. Solar Dryer Application for Olive Oil Mill Wastes. Energies 2015, 8, 14049–14063. [Google Scholar] [CrossRef]
- Arkian, A.H.; Najafi, G.; Gorjian, S.; Loni, R.; Bellos, E.; Yusaf, T. Performance Assessment of a Solar Dryer System Using Small Parabolic Dish and Alumina/Oil Nanofluid: Simulation and Experimental Study. Energies 2019, 12, 4747. [Google Scholar] [CrossRef]
- Yassen, T.A.; Al-Kayiem, H.H. Experimental Investigation and Evaluation of Hybrid Solar/thermal Dryer Combined with Supplementary Recovery Dryer. Sol. Energy 2016, 134, 284–293. [Google Scholar] [CrossRef]
- Hao, W.; Liu, S.; Mi, B.; Lai, Y. Mathematical Modeling and Performance Analysis of a New Hybrid Solar Dryer of Lemon Slices for. Energies 2020, 13, 350. [Google Scholar] [CrossRef]
- Tiwari, S.; Tiwari, G. Exergoeconomic analysis of photovoltaic-thermal (PVT) mixed mode greenhouse solar dryer. Energy 2016, 114, 155–164. [Google Scholar] [CrossRef]
- Tiwari, S.; Bhatti, J.; Tiwari, G.; Al-Helal, I. Thermal modelling of photovoltaic thermal (PVT) integrated greenhouse system for biogas heating. Sol. Energy 2016, 136, 639–649. [Google Scholar] [CrossRef]
- Janjai, S. A Greenhouse Type Solar Dryer for Small-Scale Dried Food Industries: Development and Dissemination. Int. J. Energy Environ. 2012, 3, 383–398. [Google Scholar]
- Condorí, M.; Duran, G.; Echazú, R.; Altobelli, F. Semi-Industrial Drying of Vegetables Using an Array of Large Solar Air Collectors. Energy Sustain. Dev. 2017, 37, 1–9. [Google Scholar] [CrossRef]
- García-Valladares, O.; Ortiz, N.M.; Menchaca, A.C.; Pilatowsky, I. Solar Thermal Drying Plant for Agricultural Porducts. Part 1: Direct Air Heating System. Renew. Energy 2019, 148, 1302–1320. [Google Scholar] [CrossRef]
- Ortiz-Rodríguez, N.M.; García-Valladares, O.; Pilatowsky-Figueroa, I.; Menchaca-Valdez, A.C. Solar-LP Gas Hybrid Plant for Dehydration of Food. Appl. Therm. Eng. 2020, 177, 115496. [Google Scholar] [CrossRef]
- El Mkadmi, C.; Wahed, A. Optimization of a Solar Thermal System for Low Temperature Industrial Heating Process. In Proceedings of the 2016 International Renewable and Sustainable Energy Conference, Marrakech, Morocco, 14–17 November 2016; pp. 313–319. [Google Scholar] [CrossRef]
- Vargas-Bautista, J.P.; García-Cuéllar, A.J.; Pérez-García, S.L.; Rivera-Solorio, C.I. Transient Simulation of a Solar Heating System for a Small-Scale Ethanol-Water Distillation Plant: Thermal, Environmental and Economic Performance. Energy Convers. Manag. 2017, 134, 347–360. [Google Scholar] [CrossRef]
- Allouhi, A.; Agrouaz, Y.; Benzakour Amine, M.; Rehman, S.; Buker, M.S.; Kousksou, T.; Jamil, A.; Benbassou, A. Design Optimization of a Multi-Temperature Solar Thermal Heating System for an Industrial Process. Appl. Energy 2017, 206, 382–392. [Google Scholar] [CrossRef]
- Bolognese, M.; Viesi, D.; Bartali, R.; Crema, L. Modeling Study for Low-Carbon Industrial Processes Integrating Solar Thermal Technologies. A Case Study in the Italian Alps: The Felicetti Pasta Factory. Sol. Energy 2020, 208, 548–558. [Google Scholar] [CrossRef]
- Lugo, S.; Octavio, G.; Best, R.; Hernández, J.; Hernández, F. Numerical Simulation and Experimental Validation of an Evacuated Solar Collector Heating System with Gas Boiler Backup for Industrial Process Heating in Warm Climates. Renew. Energy 2019, 139, 1120–1132. [Google Scholar] [CrossRef]
- Montoya-Márquez, O.; Flores-Prieto, J.J. Heat Removal Factor in Flat Plate Solar Collectors: Indoor Test Method. Energies 2018, 11, 2783. [Google Scholar] [CrossRef]
















| Parameter | Value | Parameter | Value |
|---|---|---|---|
| Air solar collector | Double-glazed solar water collector | ||
| Number of air collectors | 16 | Number of collectors | 8 |
| Cpar, kJ/kg K | 1.01 | Cpwt, kJ/kg K | 4.19 |
| Aar, m2 | 2.326 | Awt,DG m2 | 2.326 |
| a0 (-) | 0.5421 | a0 (-) | 0.6738 |
| a1, W/m2K | 5.1838 | a1, W/m2K | 2.0513 |
| a2, W/m2K | 0.0011 | a2, W/m2K | 0.0010 |
| Single-glazed solar water collector | Storage tank | ||
| Number of collectors | 8 | Height, m | 1.60 |
| a0 (-) | 0.7468 | Diameter, m | 1.55 |
| a1, W/m2K | 3.42 | Storage volume, m3 | 2.0 |
| a2, W/m2K | 0.013 | Average boiler efficiency | 0.91 |
| Azimuth, ° | 0.0 | ||
| Title, ° | 18.0 |
| Day | Ta, °C | IT, W/m2 | RH, % |
|---|---|---|---|
| 22 April 2020 | 30.9–35.9 | 311–981 | 37.2–48.9 |
| 13 July 2020 | 25.1–29.4 | 683–935 | 45.0–63.9 |
| 14 July 2020 | 25.3–30.7 | 544–908 | 503.0–65.0 |
| 15 July 2020 | 24.2–30.8 | 722–912 | 49.1–57.9 |
| 17 July 2020 | 25.6–31.3 | 664–901 | 36.7–54.1 |
| 21 August 2020 | 26.5–33.1 | 102–682 | 52.9–58.0 |
Publisher’s Note: MDPI stays neutral with regard to jurisdictional claims in published maps and institutional affiliations. |
© 2021 by the authors. Licensee MDPI, Basel, Switzerland. This article is an open access article distributed under the terms and conditions of the Creative Commons Attribution (CC BY) license (https://creativecommons.org/licenses/by/4.0/).
Share and Cite
Álvarez-Sánchez, F.; Flores-Prieto, J.; García-Valladares, O. Annual Thermal Performance of an Industrial Hybrid Direct–Indirect Solar Air Heating System for Drying Applications in Morelos-México. Energies 2021, 14, 5417. https://doi.org/10.3390/en14175417
Álvarez-Sánchez F, Flores-Prieto J, García-Valladares O. Annual Thermal Performance of an Industrial Hybrid Direct–Indirect Solar Air Heating System for Drying Applications in Morelos-México. Energies. 2021; 14(17):5417. https://doi.org/10.3390/en14175417
Chicago/Turabian StyleÁlvarez-Sánchez, Francisco, Jassón Flores-Prieto, and Octavio García-Valladares. 2021. "Annual Thermal Performance of an Industrial Hybrid Direct–Indirect Solar Air Heating System for Drying Applications in Morelos-México" Energies 14, no. 17: 5417. https://doi.org/10.3390/en14175417
APA StyleÁlvarez-Sánchez, F., Flores-Prieto, J., & García-Valladares, O. (2021). Annual Thermal Performance of an Industrial Hybrid Direct–Indirect Solar Air Heating System for Drying Applications in Morelos-México. Energies, 14(17), 5417. https://doi.org/10.3390/en14175417
